人教B版高考数学一轮总复习第8章第8节第3课时定点、定值、探索性问题课件
展开关键能力·研析考点强“四翼”
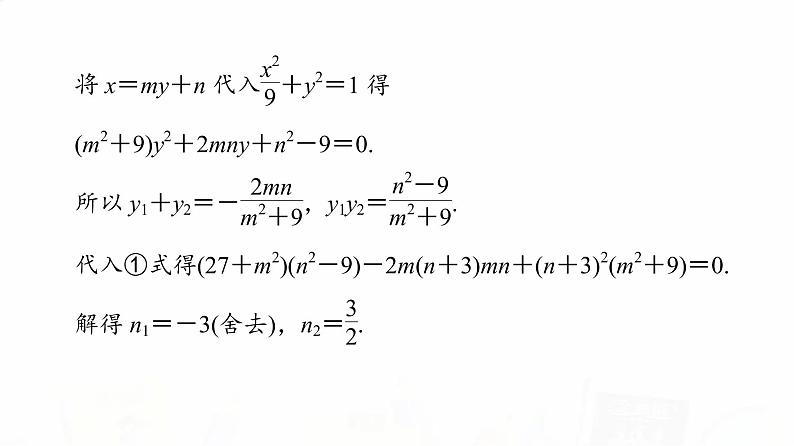
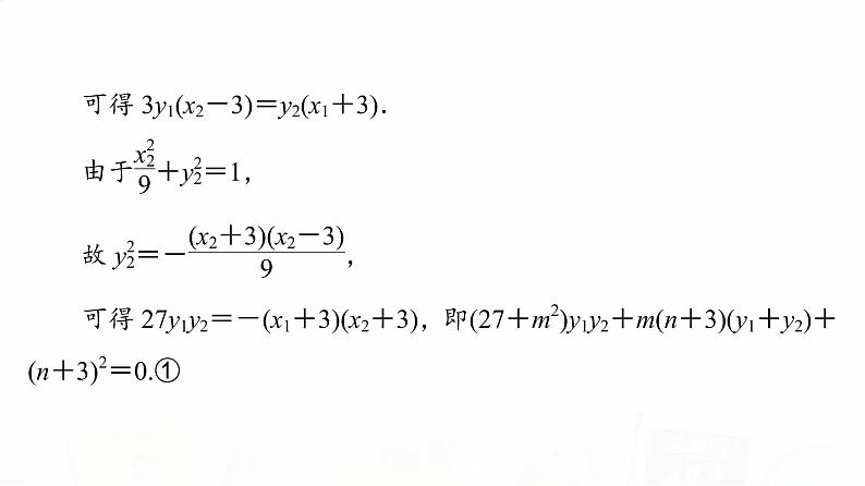
考点1 定点问题——综合性
考点2 定值问题——综合性
考点3 探索性问题——综合性
高考数学一轮复习第8章第8节第3课时定点、定值、探索性问题课件: 这是一份高考数学一轮复习第8章第8节第3课时定点、定值、探索性问题课件,共53页。PPT课件主要包含了考点1考点2考点3等内容,欢迎下载使用。
高考数学(理)一轮复习课件+讲义 第9章 第9讲 第2课时 定点、定值、探索性问题: 这是一份高考数学(理)一轮复习课件+讲义 第9章 第9讲 第2课时 定点、定值、探索性问题,文件包含高考数学理一轮复习课件第9章第9讲第2课时定点定值探索性问题pptx、高考数学理一轮复习讲义第9章第9讲第2课时定点定值探索性问题doc等2份课件配套教学资源,其中PPT共57页, 欢迎下载使用。
中考数学优化探究一轮复习(理数) 第8章 第9节 第3课时 定点、定值、探索性问题课件PPT: 这是一份中考数学优化探究一轮复习(理数) 第8章 第9节 第3课时 定点、定值、探索性问题课件PPT,共28页。

