初中数学湘教版七年级下册2.1.1同底数幂的乘法优质课教案设计
展开
这是一份初中数学湘教版七年级下册2.1.1同底数幂的乘法优质课教案设计,共6页。教案主要包含了知识与技能,过程与方法,情感态度,教学重点,教学难点,教学说明,归纳结论等内容,欢迎下载使用。
第2章 整式的乘法2.1 整式的乘法2.1.1 同底数幂的乘法
【知识与技能】理解同底数幂的乘法法则,能熟练运用该法则解决与之相关的一些数学问题.【过程与方法】经历探索同底数幂乘法运算法则的过程,培养学生观察、猜想、推理和归纳的能力.【情感态度】通过同底数幂的乘法法则的探索过程使学生感受到由特殊到一般再到特殊的数学思想,通过合作学习激发学生的探索热情,感受到成功的喜悦.【教学重点】同底数幂的乘法法则的探索过程和理解应用.【教学难点】同底数幂的乘法法则的理解.
一、情景导入,初步认知1.乘方:
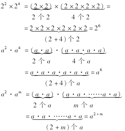
2.光在真空中的速度大约是3×105千米/秒,太阳系以外距离地球最近的恒星是比邻星,它发出的光到达地球大约需要4.22年.一年以3×107秒计算,比邻星与地球的距离约为多少千米?【教学说明】以有趣的天文知识为引例,让学生从中抽象出简单的数学模型,实际在列式计算时遇到了同底数幂相乘的形式,给出问题,启发学生进行独立思考,也可采用小组合作交流的形式,结合学生现有的有关幂的意义的知识,进行推导尝试,力争独立得出结论.二、思考探究,获取新知1.计算下列各式:(1)102×103 (2)105×108你发现了什么?【教学说明】小组合作探究,对于有的同学可能会由上面的分析感觉到了规律的存在,可鼓励他们进行验证.请部分学生代表说出自己小组的观点,其他组同学则进行评价或发表不同的见解.2.讨论交流.
观察上面的式子,你发现上述式子的指数和底数是怎样变化的?
4.引导学生剖析法则.(1)等号左边是什么运算?(2)等号两边的底数有什么关系?(3)等号两边的指数有什么关系?(4)你能总结同底数幂的乘法的法则吗?【教学说明】猜想,交流,验证,口答.【归纳结论】同底数幂的乘法的法则:am·an=am+n(m,n都是正整数)同底数幂相乘,底数不变,指数相加.三、运用新知,深化理解1.见教材P30例1、例2、例3.


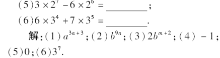
5.计算:(结果可以化成以(a+b)或(a-b)为底时幂的形式).(1)(a-b)2·(a-b)3·(a-b)4= ;(2)(a+b)m+1·(a+b)+(a+b)m·(a+b)2= ;解:(1)(a-b)9; (2)2(a+b)m+2.6.我国自行研制的“神威”计算机的峰值运算速度达到每秒3840亿次.如果按这个速度工作一整天,那么它能运算多少次(结果保留3个有效数字)?提示:3840亿次=3.84×103×108次、24时=24×3.6×103秒.解:(3.84×103×108)×(24×3.6×103)=(3.84×24×3.6)×(103×108×103)=331.776×1014≈3.32×1016(次)答:它能运算约3.32×1016次.【教学说明】给学生充足的思维空间,养成思考习惯,让后进生也能在课堂上体验成功的喜悦;且该教学活动亦能培养学生仔细观察问题的习惯.四、师生互动,课堂小结先小组内交流收获和感想,而后以小组为单位派代表进行总结.教师作以补充.
1.布置作业:教材第30页“练习”.2.完成同步练习册中本课时的练习.
本课我采用探究合作教学法进行教学,充分发挥了学生的主体作用,积极为学生创设一个和谐宽松的情境,学生在自主的空间里自由的奔放地想象思维和学习取得较好的效果.在同底数幂乘法公式推导过程中学生思维经历了猜测、质疑和推理论证的科学发现过程,也渗透了转化和从特殊到一般的数学辩论思想,充分体现了自主探究的学习方式;而在巩固深化环节上精心设计开放式题目.通过学生独立思考,小组合作等手段,让学生个个动手、人人参与,充分调动学生学习数学的积极性,同时也使各层次的学生有不同的收获,特别是当时学生的兴奋与激情完全出乎我的预料.
相关教案
这是一份初中数学湘教版七年级下册2.1.1同底数幂的乘法教学设计及反思,共7页。教案主要包含了知识与技能,过程与方法,情感态度,教学重点,教学难点,教学说明,归纳结论等内容,欢迎下载使用。
这是一份初中数学2.1.1同底数幂的乘法教学设计,共5页。教案主要包含了情景展示,温故导新,教学新知,启智赋能,基础巩固,能力提升,反思总结等内容,欢迎下载使用。
这是一份湘教版七年级下册2.1.3单项式的乘法精品教案,共6页。教案主要包含了知识与技能,过程与方法,情感态度,教学重点,教学难点,教学说明,归纳结论等内容,欢迎下载使用。

