- 七年级数学下册代数计算课件-(北师大) 课件 0 次下载
- 七年级数学下册几何证明课件-(北师大) 课件 0 次下载
- 七年级数学下册期末复习课件-(北师大) 课件 0 次下载
- 七年级数学下册习题课件辅助线作法 课件 0 次下载
- 七年级数学下册习题课件几何计算-(北师大) 课件 0 次下载
七年级数学下册期末复习-(北师大)课件PPT
展开1.已知方程x-2y+3=8,则整式x-2y的值为( ) A.5 B.10 C.12 D.15
2.已知4a+3b=1,则整式8a+6b-3的值为________.
3.已知x=2y+3,则代数式4x-8y+9的值是________.
4.已知a与b互为相反数,m和n互为倒数,则3a+3b-4mn=________.
5.有甲、乙、丙三种货物,若购甲3件,乙2件,丙6件,共需30元;若购甲4件,乙5件,丙1件,共需40元.现在计划购甲、乙、丙各10件,共需________元.
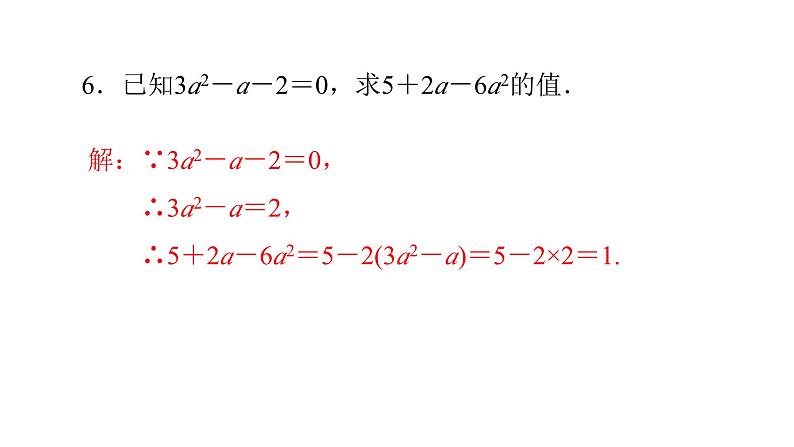
6.已知3a2-a-2=0,求5+2a-6a2的值.
解:∵3a2-a-2=0, ∴3a2-a=2, ∴5+2a-6a2=5-2(3a2-a)=5-2×2=1.
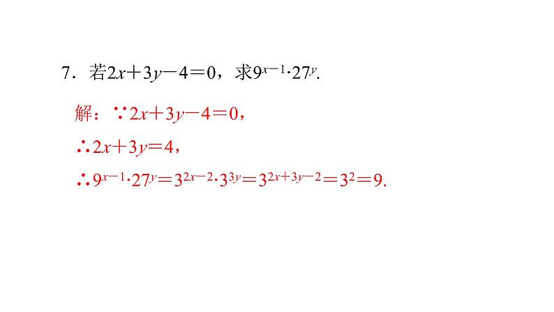
7.若2x+3y-4=0,求9x-1·27y.
解:∵2x+3y-4=0,∴2x+3y=4,∴9x-1·27y=32x-2·33y=32x+3y-2=32=9.
10.已知x2-x-1=0,试求代数式-x3+2x+2 019的值.
解:∵x2-x-1=0,x2=x+1,∴-x3+2x+2 019=-x·x2+2x+2 019=-x(x+1)+2x+2 019=-x2+x+2 019=-x-1+x+2 019=2 018.
11.阅读:求值:1+2+22+23+…+22018+22019.解:设S=1+2+22+23+…+22018+22019,①将等式两边同时乘2得:2S=2+22+23+…+22019+22020,②②-①得:S=22020-1,即1+2+22+23+…+22018+22019=22020-1.解答下列问题:(1)1+2+22+23+…+29+210=________;(2)求1+3+32+33+…+3n-1+3n(n为正整数)的值.
解:(1)设S=1+2+22+23+24+…+210,将等式两边同时乘2得:2S=2+22+23+24+…+210+211,将下式减去上式得:2S-S=211-1,即S=211-1,则1+2+22+23+24+…+210=211-1;故答案为:211-1;
解:设t=2a2-ab,则原式=(1-ab+2a2)(2a2-ab-1)-(2a2-ab+1)2+2(-ab+2a2)=(t+1)(t-1)-(t+1)2+2t=t2-1-(t2+2t+1)+2t=t2-1-t2-2t-1+2t=-2.
九年级数学上册期末复习(北师大版)课件PPT: 这是一份九年级数学上册期末复习(北师大版)课件PPT,共35页。PPT课件主要包含了x≥1,解1列表如下等内容,欢迎下载使用。
七年级下册期末复习课件-(北师大): 这是一份七年级下册期末复习课件-(北师大),共60页。PPT课件主要包含了第一章整式的乘除,第四章三角形,第六章概率初步,一转化思想,图M-2-1,二方程思想,图M-2-2,三数形结合思想,图M-2-3,图M-2-4等内容,欢迎下载使用。
七年级数学下册期末复习课件-(北师大): 这是一份七年级数学下册期末复习课件-(北师大),共31页。PPT课件主要包含了-20a3b3,nn-1,a+8b,y=21x,y=2x+1等内容,欢迎下载使用。

