高中数学人教A版 (2019)必修 第二册6.2 平面向量的运算一等奖ppt课件
展开6.2.4 平面向量的数量积
人教A版2019高一必修2数学
我们一起来看一下物理中功的概念:如果一个物体在力F的作用下产生位移s,那么力F所做的功
思考1:前面我们学习了向量的加、减运算。类比数的运算,那么向量能否相乘?如果能,那么向量的乘法该怎样定义?
由功的概念可知,功是一个标量,它由力和位移两个向量来确定。由此,我们引入“数量积”的概念。
(一):向量的夹角
O
A
B
a
b
已知
特殊情况1
特殊情况3
特殊情况2
注意:计算向量的夹角时,要将两个向量起点放在一起.
规定:零向量与任一向量垂直。
说出下列两个向量 和 的夹角的大小是多少?
(二):数量积的定义
思考:根据功的定义,你能推导出数量积的定义吗?它和向量的加、减以及数乘运算有什么区别?
数量积定义:
规定:零向量与任一向量的数量积为0.
对比向量的线性运算,我们发现,向量线性运算的结果是一个向量,而两个向量的数量积是一个数量,这个数量的大小与两个向量的长度及其夹角有关。
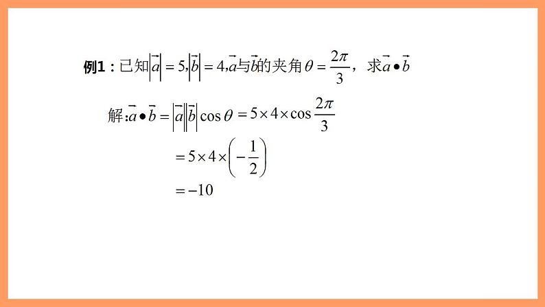
例1:
例2:
(三):投影(或射影)的定义
D
C
A
B
(三):投影(或射影)的定义
O
M
N
思考:
由此可得数量积的几何意义:
如图,在等腰三角形ABC中,AB=AC=2,∠ABC=30°,D为BC的中点.
E
总结:求一个向量在另一个向量上的投影向量时,关键是作出恰当的垂线,根据题意确定向量的模及两向量的夹角.
(四):数量积的性质
思考:
O
M
N
O
M
N
(四):数量积的性质
思考:
O
M
N
(四):数量积的性质
思考:
思考:
思考:
思考:
(五):数量积的运算律
思考:数的乘法有相应的运算律,你能根据向量的线性运算的运算律得到数量积运算的运算律吗?你能证明吗?
数乘运算的运算律
思考:
以此类推,可得数量积运算的运算律如下:
不一定。
左右两边不一定相等,所以不一定成立。
例3:
例4:
向量数量积的求法(1)求两个向量的数量积,首先确定两个向量的模及两个向量的夹角,其中准确求出两个向量的夹角是求数量积的关键.(2)根据数量积的运算律,向量的加、减与数量积的混合运算类似于多项式的乘法运算.
向量的模的计算
方法总结:
例5:
求向量的模的常见思路及方法(1)求模问题一般转化为求模的平方,与向量数量积联系,并灵活应用 ,勿忘记开方.(2) , 可以实现实数运算与向量运算的相互转化.
1、判断下列各题是否正确
(√)
(× )
( ×)
(× )
(√ )
(× )
(√ )
2、如图,边长为1的等边三角形ABC中,求:
A
B
C
课本P23 习题6.2 第10、11、12题
3、投影的定义
2、数量积运算的定义
1、向量的夹角
4、数量积运算性质
5、数量积运算运算律
课本P23 习题6.2 第10、11、12题
1.向量夹角的定义
2.定义
3.投影的定义
例1、2、3、4、5
四、作业布置
三、课堂小结
二、探索新知
一、情境导入
6.2.4 向量的数量积运算
4.性质
5.运算律
课程结束
人教A版2019高一必修2数学
高中数学人教A版 (2019)必修 第二册8.4 空间点、直线、平面之间的位置关系评优课ppt课件: 这是一份高中数学人教A版 (2019)必修 第二册8.4 空间点、直线、平面之间的位置关系评优课ppt课件,文件包含人教A版2019高一必修2数学841平面课件pptx、人教A版2019高一必修2数学841平面教案doc等2份课件配套教学资源,其中PPT共27页, 欢迎下载使用。
高中数学人教A版 (2019)必修 第二册6.2 平面向量的运算课文内容ppt课件: 这是一份高中数学人教A版 (2019)必修 第二册6.2 平面向量的运算课文内容ppt课件,共18页。PPT课件主要包含了教学目标,平面向量的夹角,知三求一,课堂探究·素养培育,a·b0,数量积的性质,例12,投影向量,课本P19,投影OM1等内容,欢迎下载使用。
高中数学人教A版 (2019)必修 第二册6.2 平面向量的运算备课ppt课件: 这是一份高中数学人教A版 (2019)必修 第二册6.2 平面向量的运算备课ppt课件,共17页。PPT课件主要包含了探究新知,向量的夹角,≤θ≤π,课堂练习,注意必须共起点,可以平移实现,②一种新的运算,例题讲解,知三求一,°≤θ<90°等内容,欢迎下载使用。

