还剩15页未读,
继续阅读
备战2024高考一轮复习数学(理) 第四章 三角函数与解三角形 第三节 第2课时 简单的三角恒等变换课件PPT
展开
这是一份备战2024高考一轮复习数学(理) 第四章 三角函数与解三角形 第三节 第2课时 简单的三角恒等变换课件PPT,共23页。
[一“点”就过]三角函数式的化简要遵循“三看”原则
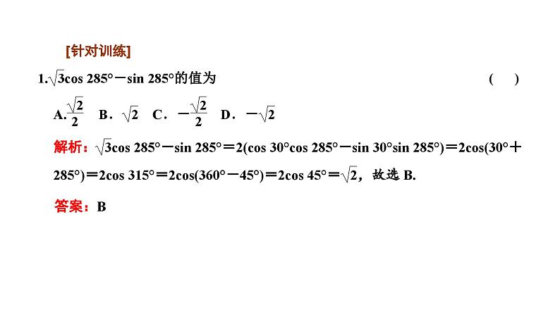
[方法技巧]给角求值问题的解题策略在三角函数的给角求值问题中,已知角常常是非特殊角,但非特殊角与特殊角总有一定关系.其基本思路是观察所给角与特殊角之间的关系,利用和、差、倍角公式等将非特殊角的三角函数值转化为:特殊角的三角函数值;正、负相消的项和特殊角的三角函数值;可约分的项和特殊角的三角函数值等.
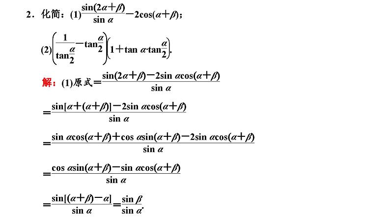
[方法技巧]给值求值问题的求解思路(1)化简所求式子.(2)观察已知条件与所求式子之间的联系(从三角函数名及角入手).(3)将已知条件代入所求式子,化简求值.
“课时验收评价”见“课时验收评价(二十四)” (单击进入电子文档)
相关课件
备战2024高考一轮复习数学(理) 第四章 三角函数与解三角形 习题课——解三角形中的综合问题课件PPT:
这是一份备战2024高考一轮复习数学(理) 第四章 三角函数与解三角形 习题课——解三角形中的综合问题课件PPT,共22页。
备战2024高考一轮复习数学(理) 第四章 三角函数与解三角形 第四节 三角函数的图象与性质课件PPT:
这是一份备战2024高考一轮复习数学(理) 第四章 三角函数与解三角形 第四节 三角函数的图象与性质课件PPT,共40页。PPT课件主要包含了一“点”就过等内容,欢迎下载使用。
备战2024高考一轮复习数学(理) 第四章 三角函数与解三角形 第三节 第1课时 两角和与差的正弦、余弦和正切公式及二倍角公课件PPT:
这是一份备战2024高考一轮复习数学(理) 第四章 三角函数与解三角形 第三节 第1课时 两角和与差的正弦、余弦和正切公式及二倍角公课件PPT,共33页。

