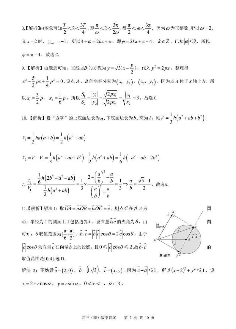
2021年安庆市高三模拟考试(二模)数学试题(理)答案
展开安徽省安庆市2023届高三模拟考试(二模)数学试卷及参考答案: 这是一份安徽省安庆市2023届高三模拟考试(二模)数学试卷及参考答案,共14页。试卷主要包含了选择题,多项选择题,填空题,解答题等内容,欢迎下载使用。
2021年安庆市高三模拟考试(二模)数学试题(理): 这是一份2021年安庆市高三模拟考试(二模)数学试题(理),共6页。
安徽省安庆市2023届高三模拟考试(二模)数学试题及参考答案: 这是一份安徽省安庆市2023届高三模拟考试(二模)数学试题及参考答案,文件包含2023届安庆二模数学答案docx、2023届安庆二模数学试题pdf等2份试卷配套教学资源,其中试卷共17页, 欢迎下载使用。

