2021淮南高三下学期4月第二次模拟考试(二模)数学(理)试题含答案
展开这是一份2021淮南高三下学期4月第二次模拟考试(二模)数学(理)试题含答案,文件包含淮南二模2021数学理科答案pdf、2021届安徽省淮南市高三4月第二次模拟考试数学理试题word含答案docx等2份试卷配套教学资源,其中试卷共16页, 欢迎下载使用。
绝密★启封并使用完毕前
淮南市2021届高三第二次模拟考试
数学试题(理)
本试卷分为第I卷(选择题)和第II卷(非选择题)两部分.考试时间120分钟.
第I卷
一、选择题:本题共12小题,每小题5分,共60分.在每小题给出的四个选项中,只有一项
是符合题目要求的。
1.设集合A={(x|x≥1},B=(x|x2+mx+1≤0},且A∩B={x|1≤x≤2},则实数m=
A.- B. C.- D.
2.已知复数z=a+i,其中a∈R,i是虚数单位,若z2=|z|i,则a=
A. 0 B. ±1 C.-1 D.1
3.某校有500人参加某次模拟考试,其中数学考试成绩近似服从正态分布N(105,σ2)(σ>0),试卷满分150分,统计结果显示数学成绩优秀(不低于120分)的人数占总人数的,则此次数学成绩在90分到105分之间的人数约为
A.75 B. 100 C.150 D.200
4.若θ=,sin 2θ=,则sinθ=
A. B. C. D.
5.ΔABC中,D是BC的中点,点E在边AC上,且满足,BE交AD于点F,
则=
A. B. C. D.
6.函数f(x)=xnax,其中a>1,n>1,n为奇数,其图象大致为
7.执行如图所示的程序框图,当输出S=210时,则输入的n值及①处条件为
A.6;n<5?
B.7;n<5?
C.7;n<6?
D.8;n<5?
8.过点P(-2,0)的直线与抛物线x2=2py(p>0)交于A,B,AB的中点在直线x=1上,且AB与圆x2+y2=1相切,则p等于
A. B.2 C.3 D.4
9.正项等比数列{an}满足a1a3=,2a4+a3=a2则
A. B. C. D.
10.已知两数f(x)=Asin(2x+φ)(A>0.| φ|≤)部分图象如图所示,若对
不同的m,n∈[x1,x2],当f(m)=f(n)时,总有f(m+n)=1,则
A.x2-x1=π,φ= B.x2-x1=,φ=
C.x2-x1=π,φ= D.x2-x1=,φ=
11.在棱长为a的正方体ABCD-A1B1C1D1中,点E是棱B1C1的中点,点F是线段CD1,上的
一个动点.现有以下命题:2
①三棱锥B-A1EF的体积是定值;②ΔAB1F的周长的最小值为(+)a;
③直线A1F与平面B1CD1所成的角是定值;④异面直线AC1与B1F所成的角是定值.
其中真命题是
A.①②③ B. ①②④ C.①③④ D. ②③④
12.已知函数f(x)的导函数为f '(x),对任意的实数x都有f '(x)=f(x)-2e-x+2x-x2,f(0)=2,则不等式
f(x-1)<e2+e-2+4的解集是
A.(0,1) B.(-1,1) C.(-1,3) D. (e,3)
第II卷
二、填空题:本大题共4小题,每小题5分,共20分,把答案填写在题中横线上.
13.十二生肖是中国及东亚地区的一些民族用来代表年份的十二种动物.顺序排列为子鼠、丑牛、寅虎、卯兔、辰龙、巳蛇、午马、未羊、申猴、酉鸡、戌狗、亥猪。生肖也称属相,常常用来代表人出生的年号.现有牛、虎、龙、马属相各1人,4人从吉祥物为牛、虎、龙、马、猴的5件饰物中随机选一件,则恰有2人选中与属相对应的饰物的概率为 .
14.已知双曲线C: =1(a>0,b>0)的左、右焦点分别是F1、F2,M是C的渐近线与圆x2+y2=a的一个交点(点M位于第一象限),直线F2M与C在第四象限相交于点N,O是坐标原点,若|MN|=|NF1|-|OF1|,则C的离心率为 .
15.已知ΔABC内角A,B,C所对的边分别为a,b,c,面积为S,满足acos B+bcosA=1,且a2+b2=
4S+1,则ΔABC的外接圆半径为 .
16.射线OA,OB,OC的两两夹角为60°,一系列球两两相切,且与平面AOB,平面BOC,平面AOC均相切.若相邻两球的球心为On,On+1,半径为rn, rn+1(rn>rn+1),则rn, rn+1的关系式为 .
三、解答题:共70分.解答应写出文字说明、证明过程或演算步骤.第17-21题为必考题,每个试题考生都必须作答.第22,23题为选考题,考生根据要求作答.
(一)必考题:共60分.
17.(本小题满分12分)
已知数列{an}的各项均为正,其前n项和为Sn,且满足:2Sn=an2+an(n∈N*).
(1)求数列{an}的通项公式;
(2)设bn=an+,若对任意的n∈N*,都有bn≥b3,求实数c的取值范围。
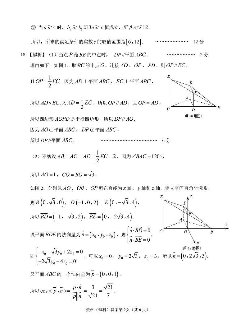
18.(本小题满分12分)
如图,已知AD1平面ABC,BC⊥平面ABC,AB=AC=AD=BC.
(1)设P是直线BE上的点,当点P在何位置时,直线DP//平面ABC?请说明理由;
(2)若∠BAC=120°,求平面BDE与平面ABC所成锐二面角的余弦值。
19.(本小题满分12分)
为了落实“立德树人”的教育理念,丰富学生个性化成长的学习生活。学校有科技创新、健美体育、绿色家园、博雅辩论等四个学生社团计划招募成员。由于报名人数超过计划数,将采用随机抽取的方法确定最终成员。下表记录了四个社团的招募计划数及报名人数。
甲同学报名参加了这四个学生社团,记为甲同学最终被招募的社团个数,已知
P(ξ=0)= ,P(ξ=4)=
(1)求甲同学至多获得三个社团招募的概率;
(2)求m,n的值;
(3)求甲同学最终被招募的社团个数的期望.
20.(本小题满分12分)
已知椭圆C: =1(a>b>0)的右焦点为F,过点F且垂直于x轴的直线被椭圆C截得的线段长为2,圆x2+y2=2经过椭圆C短轴顶点和两个焦点.
(1)求椭圆C的标准方程;
(2)过点F作斜率为-的直线l交椭圆C于M、N两点,点G、H满足:
=0.试问,是否存在点P,使得M、N、G、H四点到点P
的距离均相等?若存在,求点P的坐标;若不存在,请说明理由。
21.(本小题满分12分)
已知函数f(x)=
(1)若f(x)在区间(0,1)上为单调递增函数,求a的取值范围;
(2)若a≤1,证明:f(x)≤x.
(二)选考题:共10分.请考生在第22、23题中任选一题作答,如果多做,则按所做的第一
题计分。
22.[选修4-4:坐标系与参数方程](本小题满分10分)
在平面直角坐标系xOy中,曲线C的参数方程为(α为参数),在以原点为极
点,x轴非负半轴为极轴的极坐标系中,直线l的极坐标方程 (a∈R)
(I)求曲线C的普通方程和直线l的倾斜角;
(II)若l与C相交于A、B两点,且|AB|=,求a的值。
23.[选修4-5:不等式选讲](本小题满分10分)
设函数f(x)=|x-1|-|x+4|
(I)求f(x)的值域;
(II)若不等式m+-f(x)≥0对任意正数m恒成立,求实数x的取值范围。
相关试卷
这是一份2021届安徽省淮南市高三下学期4月第二次模拟考试(二模)数学(理)试题 PDF版,文件包含数学理科答案终pdf、数学理科试题pdf等2份试卷配套教学资源,其中试卷共12页, 欢迎下载使用。
这是一份2021萍乡高三下学期4月第二次模拟考试(二模)数学(理)试题含答案,共11页。
这是一份2021上饶高三下学期3月第二次高考模拟考试(二模)数学(理)试题含答案,文件包含上饶市2021届二模理科数学答案docx、上饶市2021届二模理科数学试卷docx等2份试卷配套教学资源,其中试卷共17页, 欢迎下载使用。

