2022-2023学年江苏省南通中学高一下学期开学考试数学试题(解析版)
展开
这是一份2022-2023学年江苏省南通中学高一下学期开学考试数学试题(解析版),共15页。试卷主要包含了单选题,多选题,双空题,填空题,解答题等内容,欢迎下载使用。
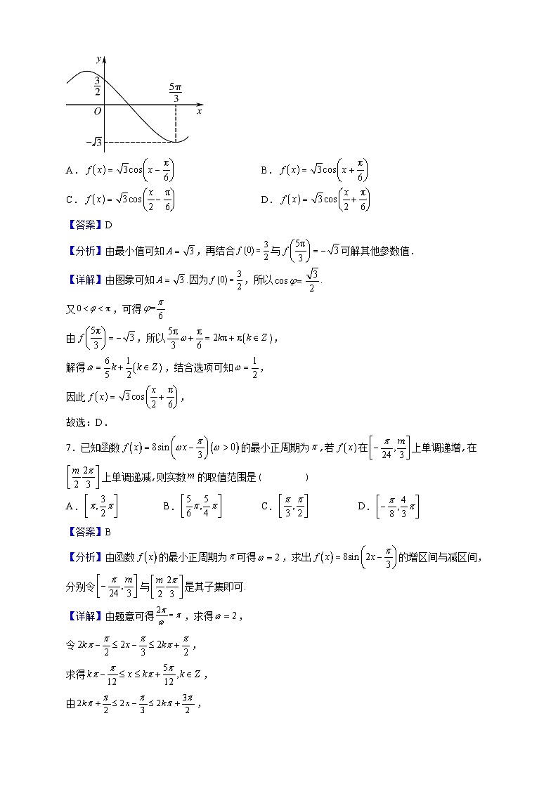
2022-2023学年江苏省南通中学高一下学期开学考试数学试题 一、单选题1.已知某扇形的面积为,若该扇形的半径,弧长满足,则该扇形圆心角大小的弧度数是A. B. C. D.或【答案】D【分析】由扇形的面积公式构造关于,的方程组,解出方程,由圆心角即可算出圆心角大小的弧度数.【详解】据题意,得解得或所以或.故选D.【点睛】本题考查扇形的面积公式以及弧长公式,方程思想,牢记公式是解答本题的关键.2.将函数f(x)=sinx的图象上所有点的横坐标变为原来的(ω>0),纵坐标不变,得到函数g(x)的图象,若函数g(x)的最小正周期为6π,则( )A.ω= B.ω=6 C.ω= D.ω=3【答案】A【分析】由伸缩变换求出的解析式,再由周期公式得出答案.【详解】由题意可知,由,解得故选:A3.已函数,的值域为,则实数a的取值范围是( )A. B. C. D.【答案】D【分析】根据同角三角函数关系,利用换元法,结合二次函数值域,求解三角不等式即可求得结果.【详解】,,令,,,且当时,令得或,由,时,,故当时,,结合题意得.故选:D.【点睛】考查同角三角函数的基本关系、余弦函数的性质、二次函数,属综合中档题.4.已知,则的值为( )A. B. C. D.【答案】B【分析】根据对应法则及诱导公式即可得到结果.【详解】因为,并且,所以.因为,所以,故选:B.5.设函数,则在上的单调递减区间是( )A. B. C. D.【答案】D【解析】求出函数的减区间,再与求交集妈阿中得.【详解】由已知,,,又,∴减区间为.故选:D.6.已知函数的部分图象如图所示,则( )A. B.C. D.【答案】D【分析】由最小值可知,再结合与可解其他参数值.【详解】由图象可知.因为,所以.又,可得由,所以,解得,结合选项可知,因此,故选:D.7.已知函数的最小正周期为,若在上单调递增,在上单调递减,则实数的取值范围是( )A. B. C. D.【答案】B【分析】由函数的最小正周期为可得,求出的增区间与减区间,分别令与是其子集即可.【详解】由题意可得,求得,令,求得,由,求得,因为在上单调递增,在上单调递减,所以,所以实数的取值范围是,故选B.【点睛】函数的单调区间的求法:(1) 代换法:①若,把看作是一个整体,由求得函数的减区间,求得增区间;②若,则利用诱导公式先将的符号化为正,再利用①的方法,或根据复合函数的单调性规律进行求解;(2) 图象法:画出三角函数图象,利用图象求函数的单调区间.8.已知,则( )A. B. C. D.【答案】C【解析】根据诱导公式计算得到,故,解得答案.【详解】解:由诱导公式可知,又得:,所以,.故选:C.【点睛】本题考查了三角恒等变换,意在考查学生的计算能力和转化能力,是中档题. 二、多选题9.已知曲线:,:,则下面结论正确的是( )A.把曲线向左平移个单位长度,再把得到的曲线上各点的横坐标缩短到原来的倍(纵坐标不变),得到曲线B.把曲线向左平移个单位长度,再把得到的曲线上各点的横坐标伸长到原来的2倍(纵坐标不变),得到曲线C.把曲线上各点的横坐标缩短到原来的倍(纵坐标不变),再把得到的曲线向左平移个单位长度,得到曲线D.把曲线上各点的横坐标缩短到原来的倍(纵坐标不变),再把得到的曲线向左平移个单位长度,得到曲线【答案】AD【分析】先利用诱导公式把化简得,,然后利用三角函数图像变换规律求解即可【详解】解:,所以将曲线:向左平移个单位长度,得,再把得到的曲线上各点的横坐标缩短到原来的倍(纵坐标不变),得到曲线;或将曲线:上各点的横坐标缩短到原来的倍(纵坐标不变),得到,再把得到的曲线向左平移个单位长度,得到,故选:AD【点睛】此题考查三角函数图像变换规律的应用,考查诱导公式的应用,属于基础题10.函数的最大值为,其图象相邻两条对称轴之间的距离为,且的图象关于点对称,则下列判断正确的是( )A.函数在上单调递增B.函数的图象关于直线对称C.当时,函数的最小值为D.要得到函数的图象,只需要将的图象向右平移个单位【答案】AD【解析】由三角函数的图象与性质可得,再由三角函数的图象与性质可判断A、B、C;由三角函数图象的变换及诱导公式可判断D.【详解】由函数的最大值为2可得,,因为函数的图象相邻两条对称轴之间的距离为,所以函数的最小正周期满足,所以,,又的图象关于点对称,所以即,所以,,当时,,所以函数在上单调递增,故A正确;当时,,所以直线不是函数图象的对称轴,故B错误;当时,,,故C错误;将的图象向右平移个单位可得的函数为:,故D正确.故选:AD.【点睛】关键点点睛:解决本题的关键是熟练掌握三角函数的图象与性质,细心计算即可得解.11.已知函数在上是单调函数,且.则的可能取值为( )A. B. C. D.【答案】AB【分析】分别把选项中的值代入函数表达式,验证函数的性质是否满足,即可判断.【详解】对于A,,若,可取则,在上单减,故A正确.对于B,,若,,此时可以取,使得函数在单减,故B正确.对于C,,若,即, ,故C错误.对于D,,若,, ,故D错误.故选:AB.12.设函数是R上的奇函数,若在区间上单调递减,则的取值可能为( ).A.6 B.4 C. D.【答案】ACD【分析】先利用奇函数的性质求得,得到,然后对于各选择支中的的值,利用换元思想,根据正弦函数的单调性逐一检验.【详解】∵函数是R上的奇函数,∴,∴,∴,令.当时,,在上单调递增,∴单调递减,符合题意,故A正确;当时,,在上单调递减,∴单调递增,不符合题意,故B错误;当时,,在上单调递增,∴单调递减,符合题意,故C正确;当时,,在上单调递增,∴单调递减,符合题意,故D正确;故选:ACD 三、双空题13.已知,则与角终边相同的最小正角为_______,最大负角为________.【答案】 【分析】先将与终边相同的角表示出来,然后对进行赋值,由此求得最小正角和最大负角.【详解】,则与角终边相同的角可以写成的形式.当时,可得与角终边相同的最小正角为;当时,可得与角终边相同的最大负角为.故填:(1);(2).【点睛】本小题主要考查终边相同的角,考查正角、负角的概念,属于基础题. 四、填空题14.设是第一象限角,且,则是第______象限角.【答案】二【分析】利用三角函数的象限符号即可求解.【详解】是第一象限角,,,是第一或第二象限角.又,是第二或第三象限角,是第二象限角.故答案为:二.15.写出一个图象关于直线对称且在上单调递增的偶函数______.【答案】【分析】取,再验证其奇偶性、对称性、单调性即可.【详解】如,,即为偶函数由,当时,关于直线对称由得,则由余弦函数的性质可知,函数在上单调递增故答案为:【点睛】关键点睛:解决本题的关键在于根据我们所学的三角函数的知识,举出,再验证. 五、双空题16.已知函数f(x)=sin+,ω>0,x∈R,且f(α)=-,f(β)=.若|α-β|的最小值为,则=________,函数f(x)的单调递增区间为________.【答案】 ,k∈Z【分析】由题意可确定函数的周期,从而得到ω值,确定出函数解析式,将代入可得结果,利用正弦函数的性质可得单调区间.【详解】函数f(x)=sin+,ω>0,x∈R,由f(α)=-,f(β)=,且|α-β|的最小值为,得=,即T=3π=,所以ω=.所以f(x)=sin+,则=sin+=.由-+2kπ≤x-≤+2kπ,k∈Z,得-+3kπ≤x≤π+3kπ,k∈Z,即函数f(x)的单调递增区间为,k∈Z.故答案为:; k∈Z【点睛】本题考查正弦函数的周期性和单调性,考查特殊角的三角函数值,属于基础题. 六、解答题17.已知角α的终边经过点P.(1)求sinα的值;(2)求的值.【答案】(1);(2).【分析】(1)由正弦函数定义计算;(2)由诱导公式,商数关系变形化简,由余弦函数定义计算代入可得.【详解】(1)因为点P,所以|OP|=1,sinα=.(2)由三角函数定义知cosα=,故所求式子的值为.18.已知函数.(1)化简;(2)若,且,求的值;(3)若,求的值.【答案】(1)(2)(3)【详解】试题分析:(1)利用诱导公式可化简;(2)代入已知,从而得,结合平方关系可求得值;(3)同样由诱导公式化已知为,代入平方关系可求得,也即得的值.试题解析:(1).(2) ,因为,所以,可得,结合,,所以.(3)由(2)得即为,联立,解得,所以.点睛:诱导公式:公式一:,公式二:,公式三:,公式四:,公式五:,公式六:,这六公式可统一写成:,,可归纳为:奇变偶不变,符号看象限.19.已知函数(1)求函数的对称轴,对称中心以及单调减区间;(2)求在上的最值及对应的的值.【答案】(1)对称轴:,对称中心:,减区间:(2)当时,取最大值1;当时,取最小值 【分析】(1)根据正弦函数的性质求解即可;(2)根据三角函数在给定区间上的最值分布求解即可.【详解】(1)由,解得,所以对称轴方程为,由解得,所以对称中心为,由,解得,所以函数的减区间为.(2)因为,所以,所以,所以当,即时,函数有最小值为,当,即时,函数有最大值为.20.如图,摩天轮上一点距离地面的高度关于时间的函数表达式为,,已知摩天轮的半径为50m,其中心点距地面60m,摩天轮以每30分钟转一圈的方式做匀速转动,而点的起始位置在摩天轮的最低点处.(1)根据条件具体写出关于的函数表达式;(2)在摩天轮转动一圈内,点有多长时间距离地面超过85m?【答案】(1);(2)10分钟. 【分析】(1)由中心点到地面距离得值,由摩天轮半径得值,由周期求得,再由初始值求得得表达式;(2)解不等式后可得.【详解】(1)中心点距地面60m,则,摩天轮的半径为50m,即,,,最低点到地面距离为10 m,所以,,又,则,所以所求表达式为;(2),,取一个周期内,有,,.所以在摩天轮转动一圈内,点有10分钟的时间距离地面超过85m.21.函数(其中)的部分图象如图所示,把函数的图像向右平移个单位长度,再向下平移1个单位,得到函数的图像.(1)当时,求的值域(2)令,若对任意都有恒成立,求的最大值【答案】(1)(2)【分析】(1)根据图象的最低点求得的值,根据四分之一周期求得的值,根据点求得的值,由此求得函数的解析式,进而根据图象平移变换求得的解析式,并由此求得时的值域.(2)先求得的值域,由此求得的值域.令对题目所给不等式换元,根据二次函数的性质列不等式组,解不等式组求得的取值范围,由此求得的最大值.【详解】(1)根据图象可知代入得,,把函数的图像向右平移个单位长度,再向下平移1个单位,得到函数,设,则,此时,所以值域为.(2)由(1)可知对任意都有恒成立令,,是关于的二次函数,开口向上则恒成立而的最大值,在或时取到最大值则,,解得所以,则的最大值为.【点睛】本小题主要考查由三角函数图像求三角函数的解析式,考查三角函数图像变换,考查不等式恒成立问题,考查化归与转化的数学思想方法,属于中档题.22.已知,,函数,(1)若,,求的值; (2)若不等式对任意恒成立,求的取值范围.【答案】(1)(2)见解析.【详解】试题分析:(1)利用同角三角函数基本关系式进行求解;(2)作差,分离参数,将问题转化为求函数的最值问题,再利用换元思想进行求解.试题解析:(1)依题意得,,即 ,即由,,得, (2)即不等式对任意恒成立,即 下求函数的最小值令则且 令1°当上单调递增, 2°当,即时, 3°当 4°当 ,所以当时,;当或0<时,
相关试卷
这是一份江苏省南通中学2022-2023学年高一下学期开学考试数学试卷(含答案),共17页。试卷主要包含了选择题,多项选择题,填空题,双空题,解答题等内容,欢迎下载使用。
这是一份2022-2023学年江苏省常州市华罗庚中学高一下学期阶段性质量调研(开学考试)数学试题(解析版),共15页。试卷主要包含了单选题,多选题,填空题,解答题等内容,欢迎下载使用。
这是一份2022-2023学年江苏省南通市通州高级中学高一下学期期中冲刺考试数学试题含解析,共15页。试卷主要包含了单选题,多选题,填空题,解答题等内容,欢迎下载使用。

