所属成套资源:湘教版数学七下课件PPT+教案+习题课件+素材全册
- 2.1.1 同底数幂的乘法 课件+教案 课件 0 次下载
- 2.1.2 幂的乘方与积的乘方(2课时)课件+教案 课件 0 次下载
- 2.1.4 多项式的乘法(2课时)课件+教案+习题ppt 课件 0 次下载
- 2.2.1 平方差公式 课件+教案 课件 3 次下载
- 2.2.2 完全平方公式 (2课时)课件+教案 课件 1 次下载
数学七年级下册2.1.3单项式的乘法优秀ppt课件
展开
这是一份数学七年级下册2.1.3单项式的乘法优秀ppt课件,文件包含213单项式的乘法课件pptx、213单项式的乘法教案doc等2份课件配套教学资源,其中PPT共15页, 欢迎下载使用。
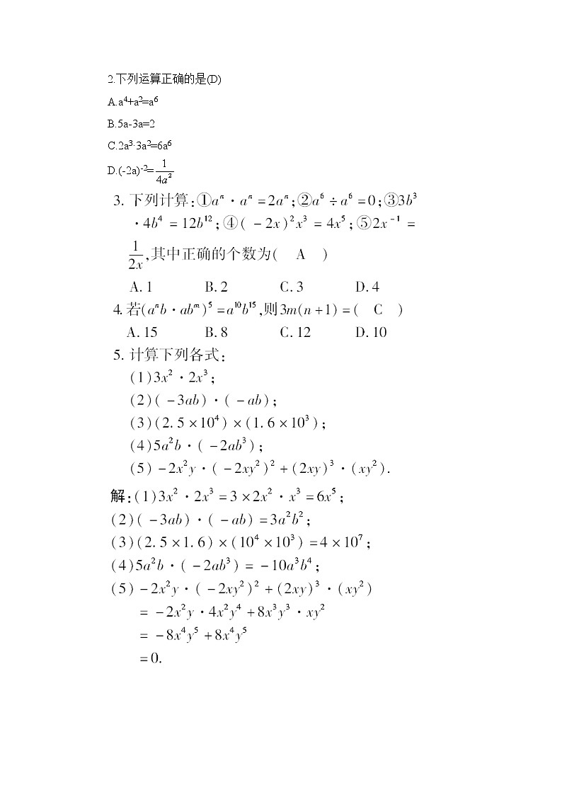
2.1.3 单项式的乘法【知识与技能】使学生理解并掌握单项式与单项式相乘的法则,能够熟练地进行单项式的乘法计算.【过程与方法】通过探究单项式与单项式相乘的法则,培养了学生归纳、概括能力,以及运算能力.【情感态度】通过单项式的乘法法则在生活中的应用培养学生的应用意识.【教学重点】掌握单项式与单项式相乘的法则.【教学难点】分清单项式与单项式相乘中,幂的运算法则.一、情景导入,初步认知1.同底数幂的运算法则是什么?2.幂的乘方的运算法则是什么?3.积的乘方的运算法则是什么?【教学说明】通过对整式乘法的3种运算的复习,为本节课单项式的乘法作铺垫.二、思考探究,获取新知1.探究:怎样计算4xy与-3xy2的乘积?4xy·(-3xy2)=〔4·(-3)〕(x·x)(y·y2)=-12x2y3通过解决上述问题,如何进行单项式与单项式相乘的运算?【教学说明】组织学生先独立思考,再以四人为小组讨论,鼓励学生大胆发表自己的见解,全班共同交流,得出单项式乘法的法则.得出法则后,教师再提出有思维价值的问题,引导学生对探究的过程进行反思,明确算理,体会数学知识之间的联系.【归纳结论】单项式与单项式相乘,把它们的系数、相同字母的幂分别相乘,其余字母连同它的指数不变,作为积的因式.2.在你探索单项式乘法运算法则的过程中,运用了哪些运算律和运算法则?学生回答:运用了乘法的交换律、结合律和同底数幂乘法的运算性质.【教学说明】让学生独立思考自主探究,经历知识形成的过程,在探究中发现和总结出规律,获得体验.教师应鼓励学生灵活运用乘法交换律、结合律和同底数幂的运算性质等知识探索单项式乘单项式的运算法则,并理解算理,在探究的基础上运用自己的语言描述单项式乘法的法则.3.计算.三、运用新知,深化理解1.见教材第35页例9.2.下列运算正确的是(D)A.a4+a2=a6B.5a-3a=2C.2a3·3a2=6a6D.(-2a)-2= 【教学说明】在学习了单项式乘法法则后,及时通过一组习题和练习帮助学生熟悉法则的应用及每一步的算理,教师应引导学生总结出运用单项式相乘的乘法法则时,注意以下几点:(1)进行单项式乘法,应先确定结果的符号,再把同底数幂分别相乘,这时容易出现的错误是将系数相乘与相同字母指数相加混淆;(2)不要遗漏只在一个单项式中出现的字母,要将其连同它的指数作为积的一个因式;(3)单项式乘法法则对于三个以上的单项式相乘同样适用;(4)单项式乘以单项式,结果仍为单项式.四、师生互动,课堂小结先小组内交流收获和感想,而后以小组为单位派代表进行总结.教师作以补充.1.布置作业:教材第40页“习题2.1”中第4、5、6题.2.完成同步练习册中本课时的练习.新课程标准下,数学教育的根本任务是发展学生的思维,教材中的难点往往是数学思维迅速丰富、过程大步跳跃的地方,所以在本节课难点教学中既注意了化难为易的效果,又注意了化难为易的过程,在探究法则的过程中设置循序渐进的问题,不断启迪学生思考,发展学生的思维能力,在应用法则的过程中,又引导学生进行解题后的反思,这些将促使学生知识水平和能力水平同时提高.
相关课件
这是一份数学七年级下册2.1.3单项式的乘法精品ppt课件,文件包含213单项式的乘法课件pptx、213单项式的乘法教案doc等2份课件配套教学资源,其中PPT共15页, 欢迎下载使用。
这是一份数学七年级下册2.1.3单项式的乘法试讲课ppt课件,文件包含教学课件七下·湘教·213单项式的乘法pptx、213单项式的乘法教案docx、213单项式的乘法同步练习docx等3份课件配套教学资源,其中PPT共15页, 欢迎下载使用。
这是一份初中数学湘教版七年级下册2.1.3单项式的乘法图片课件ppt,文件包含213单项式的乘法课件pptx、213单项式的乘法教案doc、213单项式的乘法学案doc、213单项式的乘法练习doc等4份课件配套教学资源,其中PPT共22页, 欢迎下载使用。

