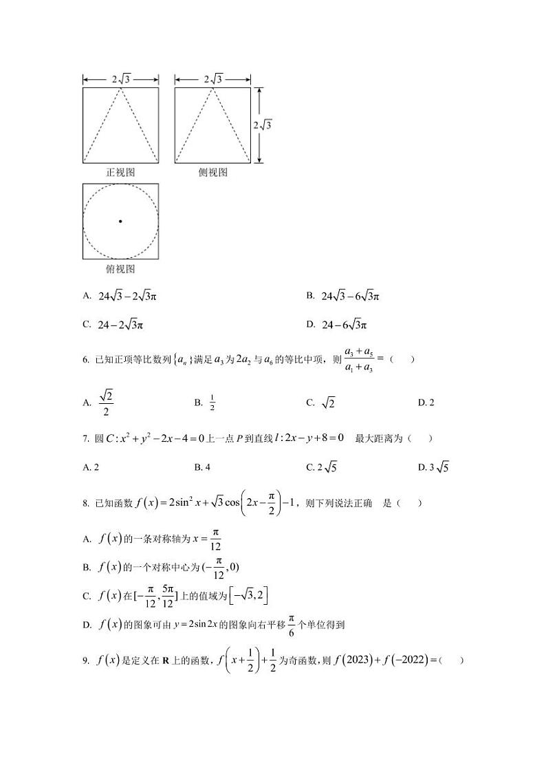
2023届广西玉林、贵港、贺州市高三联合调研考试(一模)数学(文)试题(PDF版含答案)
展开广西玉林、贵港、贺州市2023届高三联合调研考试(一模)数学(文)试卷(含答案): 这是一份广西玉林、贵港、贺州市2023届高三联合调研考试(一模)数学(文)试卷(含答案),共18页。试卷主要包含了选择题,填空题,解答题等内容,欢迎下载使用。
广西玉林、贵港、贺州市2023届高三联合调研考试(一模)数学(理)试题(含答案): 这是一份广西玉林、贵港、贺州市2023届高三联合调研考试(一模)数学(理)试题(含答案),共19页。试卷主要包含了选择题,填空题,解答题等内容,欢迎下载使用。
广西玉林、贵港、贺州市2023届高三联合调研考试(一模)数学(文)试题: 这是一份广西玉林、贵港、贺州市2023届高三联合调研考试(一模)数学(文)试题,文件包含广西玉林贵港贺州市2023届高三联合调研考试一模数学文试题解析版docx、广西玉林贵港贺州市2023届高三联合调研考试一模数学文试题原卷版docx等2份试卷配套教学资源,其中试卷共29页, 欢迎下载使用。

