2023届广西玉林、贵港、贺州市高三联合调研考试(一模)数学(文)试题(word版)
展开这是一份2023届广西玉林、贵港、贺州市高三联合调研考试(一模)数学(文)试题(word版),文件包含2023届广西玉林贵港贺州市高三联合调研考试一模数学文试题word版doc、2023届广西玉林贵港贺州市高三联合调研考试一模数学文试题pdf等2份试卷配套教学资源,其中试卷共36页, 欢迎下载使用。
2023年高考玉林、贵港、贺州市联合调研考试
数 学(文科)
注意事项
1. 本试卷分选择题和非选择题两部分,满分150分,考试时间120分钟
2. 答题前,考生将自己的姓名、准考证号填写在答题卡指定位置上
3. 选择题必须使用2B铅笔填涂;非选择题必须使用0.5毫米黑色字迹的签字笔书写,字体工整、笔迹清楚.
4. 请按题号顺序在各题目的答题区域内作答,超出答题区域书写的答案无效;在草稿纸、试题卷上答题无效.
一、选择题:本大题共12小题,每小题5分,共60分,在每小题给出的四个选项中,只有一项是符合题目要求的.
1. 已知集合,则( )
A. B.
C. D.
2. 设,则( )
A. B. C. D.
3. 在区间[-2,2]内随机取一个数x,使得不等式成立的概率为( )
A. B. C. D.
4. 已知双曲线的右焦点为,一条渐近线方程为,则C的方程为( )
A. B.
C. D.
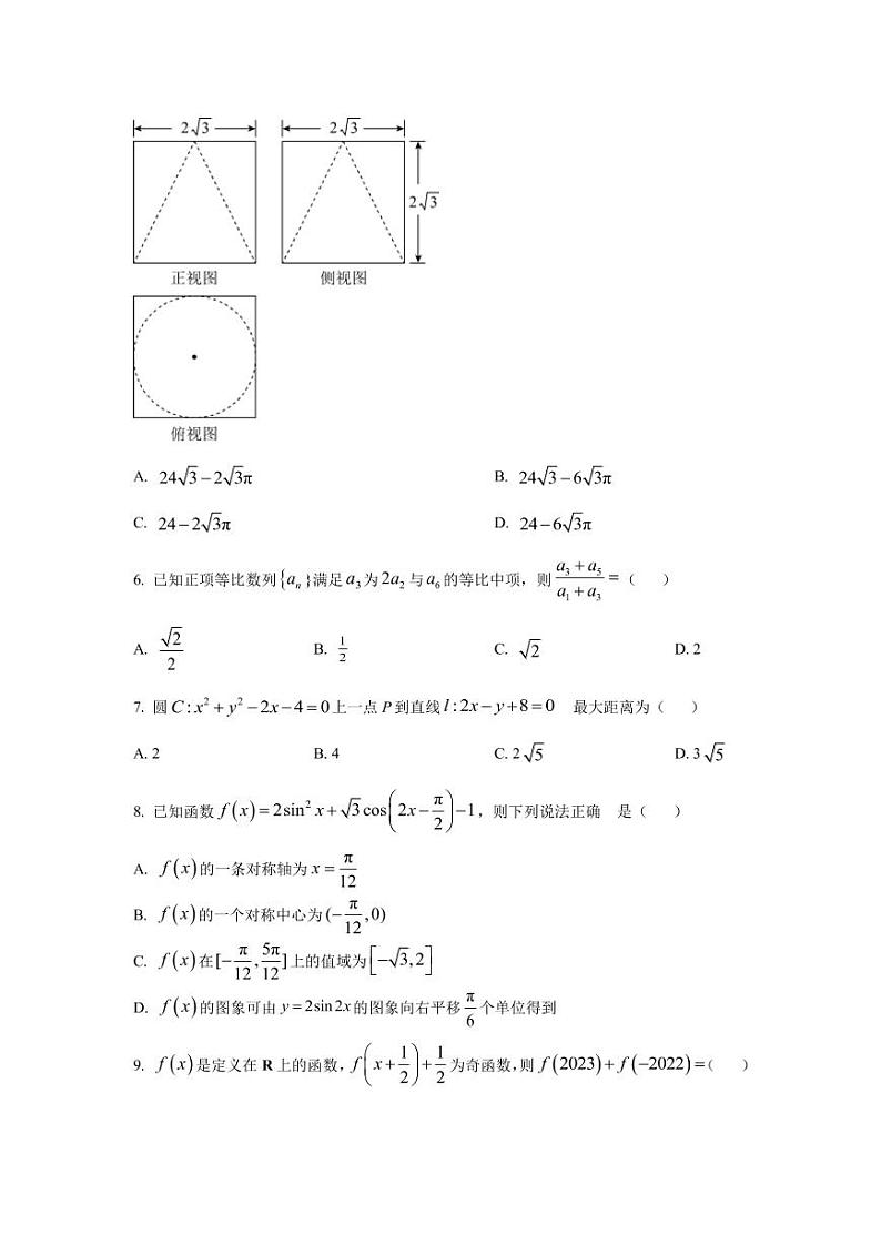
5. 某几何体的三视图如图所示,则该几何体的体积为( )
A. B.
C. D.
6. 已知正项等比数列}满足为与的等比中项,则( )
A. B. C. D. 2
7. 圆上一点P到直线最大距离为( )
A. 2 B. 4 C. 2 D. 3
8. 已知函数,则下列说法正确是( )
A. 的一条对称轴为
B. 的一个对称中心为
C. 在上的值域为
D. 的图象可由的图象向右平移个单位得到
9. 是定义在R上的函数,为奇函数,则( )
A. -1 B. C. D. 1
10. 牛顿冷却定律描述物体在常温环境下的温度变化:如果物体的初始温度为,则经过一定时间t分钟后的温度T满足,称为半衰期,其中是环境温度.若,现有一杯80°C的热水降至75°C大约用时1分钟,那么此杯热水水温从75°C降至45°C大约还需要(参考数据:)( )
A. 10分钟 B. 9分钟 C. 8分钟 D. 7分钟
11. 已知抛物线)的焦点为,准线为l,过的直线与抛物线交于点A、B,与直线l交于点D,若,则p=( )
A. 1 B. C. 2 D. 3
12. 已知,则( )
A. B.
C. D.
二、填空题:本大题共4小题,每小题5分,共20分.
13. 已知向量,若,则m=___________.
14. 近年来,“考研热”持续升温,2022年考研报考人数官方公布数据为457万,相比于2021年增长了80万之多,增长率达到21%以上.考研人数急剧攀升原因较多,其中,本科毕业生人数增多、在职人士考研比例增大,是两大主要因素.据统计,某市各大高校近几年考研报考总人数如下表:
年份 | 2018 | 2019 | 2020 | 2021 | 2022 |
年份序号x | 1 | 2 | 3 | 4 | 5 |
报考人数y(万人) | 1. 1 | 1.6 | 2 | 2.5 | m |
根据表中数据,可求得y关于x的线性回归方程为,则m的值为___________.
15. 记为等差数列的前n项和.若,则=___________.
16. 已知棱长为8正方体中,点E为棱BC上一点,满足,以点E为球心,为半径的球面与对角面的交线长为___________.
三、解答题:共70分.解答应写出文字说明、证明过程或演算步骤.第17~21题为必考题,每个试题考生都必须作答,第22、23题为选考题,考生根据要求作答.
(一)必考题:共60分
17. 4月23日是“世界读书日”,读书可以陶冶情操,提高人的思想境界,丰富人的精神世界,为了丰富校园生活,展示学生风采,某中学在全校学生中开展了“阅读半马比赛”活动. 活动要求每位学生在规定时间内阅读给定书目,并完成在线阅读检测.通过随机抽样,得到100名学生的检测得分(满分:100分)如下:
| [40,50) | [50,60) | [60,70) | [70,80) | [80,90) | [90,100] |
男生 | 2 | 3 | 5 | 15 | 18 | 12 |
女生 | 0 | 5 | 10 | 10 | 7 | 13 |
(1)若检测得分不低于70分的学生称为“阅读爱好者”,若得分低于70分的学生称为“非阅读爱好者”.根据所给数据
①完成下列列联表
| 阅读爱好者 | 非阅读爱好者 | 总计 |
男生 |
|
|
|
女生 |
|
|
|
总计 |
| "" |
|
②请根据所学知识判断是否有95%的把握认为“阅读爱好者”与性别有关;
(2)若检测得分不低于80分的人称为“阅读达人”.现从这100名学生中的男生“阅读达人”中,按分层抽样的方式抽取5人,再从这5人中随机抽取3人,求这3人中至少有1人得分在[90,100]内的概率.
附:,其中.
0.05 | 0.025 | 0.010 | 0.005 | 0.001 | |
k0 | 3.841 | 5.024 | 6.635 | 7.879 | 10.828 |
18. 记△ABC的内角A,B,C的对边分别为a,b,c,已知.
(1)求.
(2)若点D在边AC上,且,求.
19. 在三棱锥中,底面ABC是边长为2的等边三角形,点P在底面ABC上的射影为棱BC的中点O,且PB与底面ABC所成角为,点M为线段PO上一动点.
(1)证明:;
(2)若,求点M到平面PAB的距离.
20 已知函数.
(1)当时,求函数的最大值;
(2)若关于x的方1有两个不同的实根,求实数a的取值范围.
21. 已知椭圆的离心率为,依次连接椭圆E的四个顶点构成的四边形面积为.
(1)求椭圆E的标准方程;
(2)设点F为E的右焦点,,直线l交E于P,Q(均不与点A重合)两点,直线的斜率分别为,若,求△FPQ的周长
(二)选考题;共10分,请考生在第22、23题中任选一题做答.如果多做,则按所做的第一题计分
【选修4—4;坐标系与参数方程】
22. 在平面直角坐标系xOy中,直线l的参数方程为(t为参数),以坐标原点为极点,x轴的正半轴为极轴建立极坐标系,曲线C的极坐标方程为.
(1)求曲线C的直角坐标方程;
(2)若直线l与曲线C交于A,B两点,求.
【选修;不等式选讲】
23. 已知函数
(1)当时,求的最小值;
(2)若对,不等式恒成立,求a的取值范围.
2023年高考玉林、贵港、贺州市联合调研考试
数 学(文科)
1.【答案】C
2.【答案】B
3.【答案】B
4.【答案】D
5.【答案】A
6.【答案】B
7.【答案】D
8.【答案】C
9.【答案】A
10.【答案】A
11.【答案】D
12.【答案】A
二、填空题:本大题共4小题,每小题5分,共20分.
13.【答案】
14.【答案】2.8
15.【答案】144
16.【答案】
三、解答题:共70分.解答应写出文字说明、证明过程或演算步骤.第17~21题为必考题,每个试题考生都必须作答,第22、23题为选考题,考生根据要求作答.
(一)必考题:共60分
17. 4月23日是“世界读书日”,读书可以陶冶情操,提高人的思想境界,丰富人的精神世界,为了丰富校园生活,展示学生风采,某中学在全校学生中开展了“阅读半马比赛”活动. 活动要求每位学生在规定时间内阅读给定书目,并完成在线阅读检测.通过随机抽样,得到100名学生的检测得分(满分:100分)如下:
| [40,50) | [50,60) | [60,70) | [70,80) | [80,90) | [90,100] |
男生 | 2 | 3 | 5 | 15 | 18 | 12 |
女生 | 0 | 5 | 10 | 10 | 7 | 13 |
(1)若检测得分不低于70分的学生称为“阅读爱好者”,若得分低于70分的学生称为“非阅读爱好者”.根据所给数据
①完成下列列联表
| 阅读爱好者 | 非阅读爱好者 | 总计 |
男生 |
|
|
|
女生 |
|
|
|
总计 |
| "" |
|
②请根据所学知识判断是否有95%的把握认为“阅读爱好者”与性别有关;
(2)若检测得分不低于80分的人称为“阅读达人”.现从这100名学生中的男生“阅读达人”中,按分层抽样的方式抽取5人,再从这5人中随机抽取3人,求这3人中至少有1人得分在[90,100]内的概率.
附:,其中.
005 | 0.025 | 0.010 | 0.005 | 0.001 | |
k0 | 3.841 | 5.024 | 6.635 | 7.879 | 10.828 |
【答案】(1)答案见解析;
(2)
【解析】
【分析】(1)根据100名学生的检测得分表,即可完成列联表,利用计算出的值,查表即可得出结论;(2)根据分层抽样方法分别计算出不同成绩区间的人数,再利用“正难则反”的思想计算出不合题意的概率,即可得出结果.
【小问1详解】
根据题意可知,100名学生中男生55人,女生45人;
男生中“阅读爱好者”为人,“非阅读爱好者”10人;
同理,女生中“阅读爱好者”为30人,“非阅读爱好者”15人;
所以,列联表如下:
| 阅读爱好者 | 非阅读爱好者 | 总计 |
男生 | 45 | 10 | 55 |
女生 | 30 | 15 | 45 |
总计 | 75 | 25 | 100 |
利用表中数据可得,
所以,没有95%的把握认为“阅读爱好者”与性别有关;
【小问2详解】
由表可知,男生中“阅读达人”共30人,
若按分层抽样的方式抽取5人,则得分在[80,90)内的人数为人,
得分在[90,100]内的人数为人;
则再从这5人中随机抽取3人共有种,其中没有人得分在[90,100]内的情况为种;
所以这3人中至少有1人得分在[90,100]内的概率为;
故这3人中至少有1人得分在[90,100]内的概率为.
18. 记△ABC的内角A,B,C的对边分别为a,b,c,已知.
(1)求.
(2)若点D在边AC上,且,求.
【答案】(1);
(2).
【解析】
【分析】(1)根据正弦定理进行角换边得,结合余弦定理即可求出的值;
(2)利用转化法得,两边同平方得,结合(1)中整理的式子即可解出的值.
【小问1详解】
据已知条件及正弦定理得
整理得,
又据余弦定理,则有,因为
则;
【小问2详解】
因为,
所以,
故,
即
所以,
整理得
故,
化解得,因为,
故,
则.
19. 在三棱锥中,底面ABC是边长为2的等边三角形,点P在底面ABC上的射影为棱BC的中点O,且PB与底面ABC所成角为,点M为线段PO上一动点.
(1)证明:;
(2)若,求点M到平面PAB的距离.
【答案】(1)见解析;
(2).
【解析】
【分析】(1)由三线合一得,再根据线面垂直的性质定理得,最后根据线面垂直的判定定理得到面,则;
(2)设点到平面的距离为,点到面的距离为,利用等体积法有,即,代入相关数据求出,则.
【小问1详解】
分别连接,,为中点,为等边三角形
,
点在底面上的投影为点,
平面,平面,
,
又平面平面,
面,面,
.
【小问2详解】
设点到平面的距离为,点到面的距离为,
,
为在底面上的投影,
为与面所成角,,
垂直平分,,为正三角形,,
Rt中,易得
,
,
到的距离为,,
又,
由,,
,
,
点到平面的距离为
20. 已知函数.
(1)当时,求函数的最大值;
(2)若关于x的方1有两个不同的实根,求实数a的取值范围.
【答案】(1);
(2)
【解析】
【分析】(1)求出函数的导数,讨论其单调性后可得函数的最大值.
(2)利用同构可将原方程转化为有两个不同的正数根,利用导数结合零点存在定理可求参数的取值范围.
【小问1详解】
当时,,故,
当时,,故在上为增函数,
当时,,故在上为减函数,
故.
【小问2详解】
方程即为,
整理得到:,令,
故,因为均为上的增函数,故为上的增函数,
而,故的解为,
因为方程有两个不同的实数根,故有两个不同的正数根,
设,则,
若,则,故在上为增函数,
在上至多一个零点,与题设矛盾;
若,则时,;时,,
故在上为增函数,在上为减函数,
由有两个不同的零点可得,
故.
当时,,而,
故在有且只有一个零点,
又,设,
令,,则,
故在上为减函数,故,
故,故在有且只有一个零点,
综上.
【点睛】思路点睛:导数背景下的函数的零点问题,注意根据解析式的同构特征合理构建新函数,后者可利用导数讨论其单调性,并结合零点存在定理检验零点的存在性.
21. 已知椭圆的离心率为,依次连接椭圆E的四个顶点构成的四边形面积为.
(1)求椭圆E的标准方程;
(2)设点F为E的右焦点,,直线l交E于P,Q(均不与点A重合)两点,直线的斜率分别为,若,求△FPQ的周长
【答案】(1);
(2)
【解析】
【分析】(1)由题设可得基本量的方程组,求出其解后可得椭圆的方程;
(2)设直线,由题设条件可证明该直线过定点,根据椭圆的定义可求周长.
【小问1详解】
因为椭圆的离心率为,故,故,
因为依次连接椭圆E的四个顶点构成的四边形面积为,故,
所以,故,
故椭圆方程为:.
【小问2详解】
设直线,,
则,,故,
故
,
由可得,
故,
整理得到,
又,
故
,
故或,此时均满足.
若,则直线,此时直线恒过,与题设矛盾,
若,则直线,此时直线恒过,
而为椭圆的左焦点,设为,
故的周长为.
(二)选考题;共10分,请考生在第22、23题中任选一题做答.如果多做,则按所做的第一题计分
【选修4—4;坐标系与参数方程】
22. 在平面直角坐标系xOy中,直线l的参数方程为(t为参数),以坐标原点为极点,x轴的正半轴为极轴建立极坐标系,曲线C的极坐标方程为.
(1)求曲线C的直角坐标方程;
(2)若直线l与曲线C交于A,B两点,求.
【答案】(1)
(2)
【解析】
【分析】(1)对曲线C的极坐标方程变形后,利用求出答案;
(2)将直线的参数方程化为,联立椭圆方程后,利用的几何意义求弦长.
【小问1详解】
变形为,
即,
因为,故,
即;
【小问2详解】
变形为,
与联立得:,
故,
故.
【选修;不等式选讲】
23. 已知函数
(1)当时,求的最小值;
(2)若对,不等式恒成立,求a的取值范围.
【答案】(1)2; (2)或.
【解析】
【分析】(1)首先化简得,利用绝对值不等式即可求出的最小值;
(2)利用三元基本不等式求出,再根据绝对值不等式得,则有,解出即可.
小问1详解】
化简得,
当时,,
当时等号成立,所以的最小值为2;
【小问2详解】
由基本不等式得,
当且仅当,即时,等号成立.
又因为,
当且仅当时,等号成立.
所以,
或
或.
相关试卷
这是一份广西玉林、贵港、贺州市2023届高三联合调研考试(一模)数学(文)试卷(含答案),共18页。试卷主要包含了选择题,填空题,解答题等内容,欢迎下载使用。
这是一份广西玉林、贵港、贺州市2023届高三联合调研考试(一模)数学(理)试题(含答案),共19页。试卷主要包含了选择题,填空题,解答题等内容,欢迎下载使用。
这是一份广西玉林、贵港、贺州市2023届高三联合调研考试(一模)数学(文)试题,文件包含广西玉林贵港贺州市2023届高三联合调研考试一模数学文试题解析版docx、广西玉林贵港贺州市2023届高三联合调研考试一模数学文试题原卷版docx等2份试卷配套教学资源,其中试卷共29页, 欢迎下载使用。

