















































































中考数学一轮复习专题讲义——相似三角形与圆
展开
这是一份中考数学一轮复习专题讲义——相似三角形与圆,文件包含第7讲-几何变换之旋转一docx、第8讲-几何变换之旋转二docx、第10讲-圆综合docx、第9讲-圆的切线docx、第4讲-二次函数中的特殊角问题docx、第2讲-特殊四边形存在性问题docx、第1讲-特殊三角形存在性问题docx、第13讲-二次函数综合一-参考答案docx、第1讲-特殊三角形存在性问题参考答案doc、第9讲-圆的切线参考答案doc、第3讲-二次函数中的线段与面积问题docx、第4讲-二次函数中的特殊角问题参考答案doc、第7讲-几何变换之旋转一参考答案doc、第12讲-动点与函数图像问题docx、第11讲-动态中的面积与图形存在性问题参考答案doc、第6讲-几何变换之对称参考答案doc、第6讲-几何变换之对称docx、第5讲-相似三角形存在性问题参考答案doc、第5讲-相似三角形存在性问题docx、第3讲-二次函数中的线段与面积问题参考答案doc、第10讲-圆综合参考答案doc、第2讲-特殊四边形存在性问题参考答案doc、第12讲-动点与函数图像问题参考答案doc、第8讲-几何变换之旋转二参考答案doc、第11讲-动态中的面积与图形存在性问题docx、第14讲-二次函数综合二-参考答案docx、第13讲-二次函数综合一docx、第14讲-二次函数综合二docx等28份试卷配套教学资源,其中试卷共225页, 欢迎下载使用。
知识总结
切线的性质:垂直于过切点的半径.(连半径,得垂直)
切线的判定:
(1)定义法:和圆只有一个交点的直线是圆的切线;
(2)距离法:到圆心距离等于半径的直线是圆的切线;
证明d=r即可,常用于已知数据的计算,比如动圆相切问题.
(3)判定定理:经过半径外端且垂直于这条半径的直线是圆的切线.
换个说法:,多用于几何证明.
多数情况为有交点,重点考虑如何证垂直:①证明和已知垂线平行;②证明夹角为直角.
常见相切图
(1)角分+等腰得平行:点C在以AB为直径的圆O上,AH⊥CH,且AC平分∠HAB.
【证明】连接OC,则OC=OA,∴∠OCA=∠OAC,
又∠OAC=∠HAC,∴∠OCA=∠HAC,
∴OC∥AH,∴OC⊥CH,∴CH是圆O的切线.
(2)证明和已知直角相等.
证明△PCO≌△PAO,可得∠PCO=∠PAO=90°.
(3)证明夹角为直角.(弦切角定理)
如图,若∠BAC=∠D,则AB是圆O切线.
如图,连接AO并延长交圆O于点P,则∠P=∠D=∠BAC,
∵∠P+∠PAC=90°,∴∠BAC+∠PAC=90°,即AB⊥AP,
∴AB是圆O的切线.
经典例题
【例1】如图,为的直径,点在上,于点,且平分.
求证:(1)直线是的切线;
(2).
【例2】如图, 在△ABC中, 以BC为直径的圆C交AC于点E,过点E作AB的垂线交AB于点F,交CB的延长线于点G,且∠ABG=2∠C.
(1) 求证: EG是圆O的切线;
(2) 若,AC=8,求圆O的半径 .
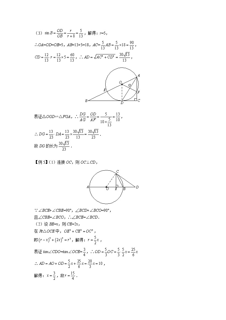
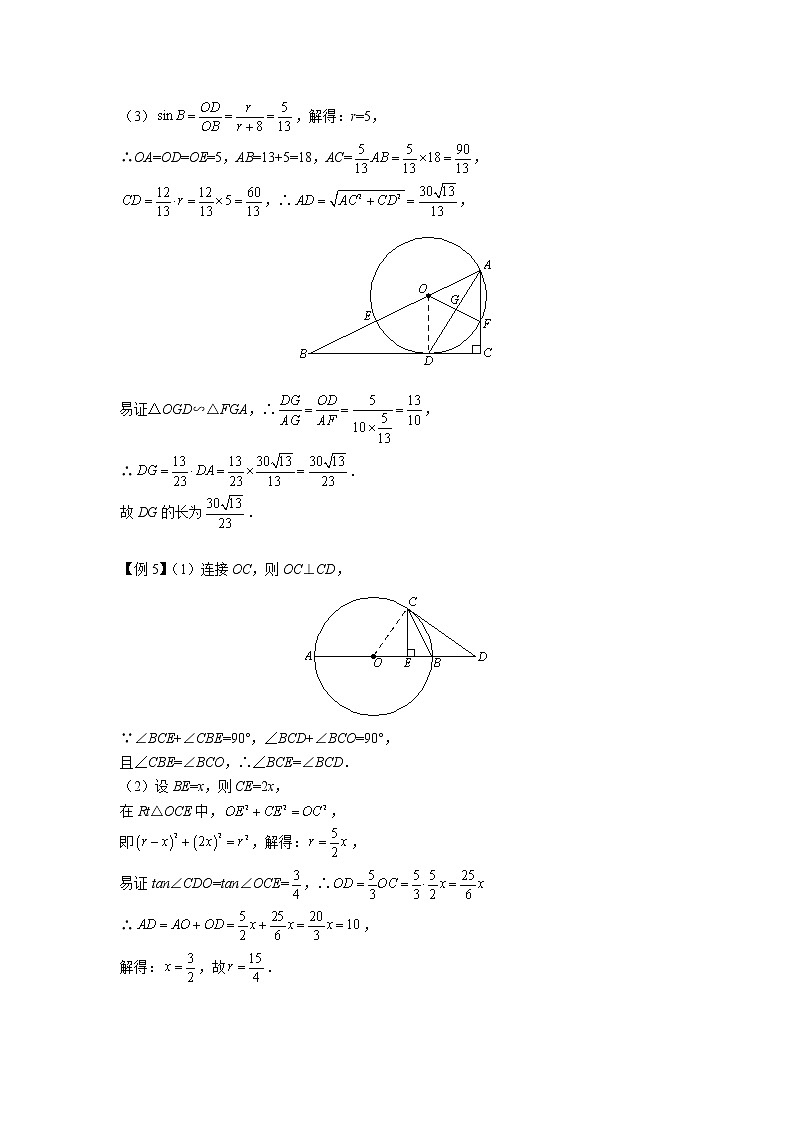
【例3】如图,、分别是的直径和弦,于点.过点作的切线与的延长线交于点,、的延长线交于点.
(1)求证:是的切线;
(2)若,,求线段的长.
【例4】如图,在△ABC中,O为AC上一点,以点O为圆心,OC为半径做圆,与BC相切于点C,过点A作AD⊥BO交BO的延长线于点D,且∠AOD=∠BAD.
(1)求证:AB为⊙O的切线;
(2)若BC=6,tan∠ABC=,求AD的长.
动圆相切问题
知识总结
类型一、动点为圆心:利用d=r计算.
【引例】如图,直线l的解析式为,点P坐标为,以点P为圆心,1为半径作圆,当点P以每秒2个单位的速度向右移动时,时间t为何值时圆P与直线l相切?
【分析】过点P作PH⊥直线l,垂足为H点,当PH=r=1时,即可得圆P与直线l相切.
当点P坐标为或时,PH=1,,,
综上所述,t的值为1或3.
经典例题
【例5】以坐标原点为圆心,作半径为2的圆,直线与相交,的取值范围是
A.B.C.D.
【例6】如图,Rt△ABC中,,,点在边上,,.点是线段上一动点,当半径为6的与的一边相切时,的长为 .
【例7】如图,正方形的边长为8,是的中点,是边上的动点,连结,以点为圆心,长为半径作.当与正方形的边相切时,的长为 .
【例8】(2016·苏州)如图,在矩形ABCD中,AB=6cm,AD=8cm,点P从点B出发,沿对角线BD向点D匀速运动,速度为4cm/s,过点P作PQ⊥BD交BC于点Q,以PQ为一边作正方形PQMN,使得点N落在射线PD上,点O从点D出发,沿DC向点C匀速运动,速度为3cm/s,以O为圆心,0.8cm为半径作圆O,点P与点O同时出发, 设它们的运动时间为t(单位:s)().
(1) 如图1,连接DQ平分∠BDC时,t的值为 ;
(2) 如图2,连接CM,若△CMQ是以CQ为底的等腰三角形,求t的值;
(3) 请你继续进行探究,并解答下列问题:
①证明:在运动过程中,点O始终在QM所在直线的左侧;
②如图3,在运动过程中,当QM与圆O相切时,求t的值;并判断此时PM与圆O是否也相切?说明理由 .
类型二、动点为直径:由性质所得的垂直关系利用三角函数计算.
【引例】在矩形ABCD中,AB=4,BC=3,连接BD,点P从D点出发以每秒1个单位向点C运动,点Q从点B出发以每秒2个单位向点D运动,以PQ中点O为圆心,PQ为直径作圆,运动时间t为何值时,圆O与BD相切?
【分析】当PQ⊥BD时,圆O与BD相切,
由题意得:DP=t,DQ=5-2t,若PA⊥BD,即,
代入得:,解得:,
故当t的值为时,圆O与BD相切.
【例9】(2018·相城区一模)如图,在Rt△ABC中,,,,动点从点出发,在边上以每秒的速度向点匀速运动,同时动点也从点出发,沿以每秒的速度匀速运动,运动时间为秒,连接,以为直径作.
(1)当时,求的面积;
(2)设的面积为,求与的函数关系式;
(3)当点在上运动时,与Rt△ABC的一边相切,求的值.
类型三、交点个数的分析
圆与线段或图形交点个数问题,考虑交点个数变化的位置,当①圆与线段相切、②圆过线段端点时,交点个数会发生改变.
【引例】如图,在坐标系中,点A坐标为(1,0),点B坐标为(0,3),以点P(m,0)(m
相关试卷
这是一份专题19 圆 中考数学一轮复习专题训练(北京专用),共38页。试卷主要包含了单选题,填空题,综合题等内容,欢迎下载使用。
这是一份2024年数学中考一轮复习专题:圆,共21页。试卷主要包含了选择题,填空题,解答题等内容,欢迎下载使用。
这是一份第24讲 圆(讲义)(教师版含解析)中考数学一轮复习讲义+训练,文件包含第24讲圆讲义教师版含解析-2023年中考数学一轮复习讲义+训练doc、第24讲圆讲义学生版-2023年中考数学一轮复习讲义+训练doc等2份试卷配套教学资源,其中试卷共36页, 欢迎下载使用。