所属成套资源:全套新高考数学二轮复习专题培优课件
新高考数学二轮复习专题一培优点2对数平均不等式、切线不等式课件
展开
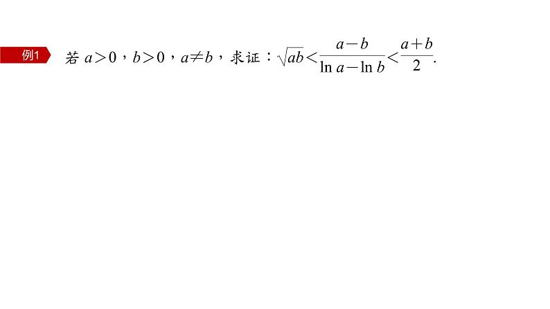
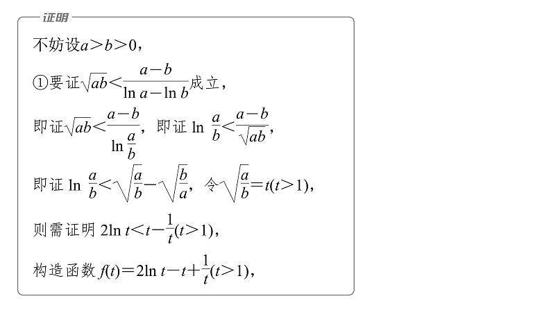
这是一份新高考数学二轮复习专题一培优点2对数平均不等式、切线不等式课件,共43页。PPT课件主要包含了对数平均不等式,考点一,不妨设a>b>0,∴原不等式得证,规律方法,即证原不等式成立,考点二,hx0=,专题强化练,②x1x24b2等内容,欢迎下载使用。
在高考压轴题中,经常考查与导数有关的不等式问题,这些问题可以用常规方法求解,也可以转变成对数平均不等式、切线不等式进行求解,起到事半功倍的效果.
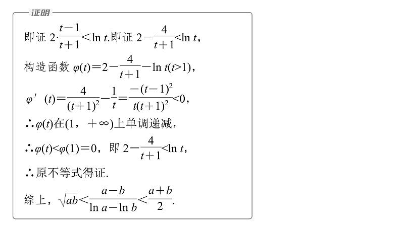
所以f(t)在(1,+∞)上单调递减,又f(1)=0,
∴φ(t)在(1,+∞)上单调递减,
该类问题的特征是双变量,将双变量问题转变为单变量问题处理,即将 看成一个新对象(整体),从而进行降维打击.
(1)讨论f(x)的单调性;
f(x)的定义域为(0,+∞),
①若a≤2,则f′(x)≤0,当且仅当a=2,x=1时,f′(x)=0,∴f(x)在(0,+∞)上单调递减.
由(1)知,f(x)存在两个极值点当且仅当a>2.由于f(x)的两个极值点x1,x2满足x2-ax+1=0,所以x1x2=1,不妨设x2>x1>0,则x2>1.
又x2>x1>0,∴x1-x20;当x∈(1,+∞)时,h′(x)0时,g(x)>h(x),即f(x)>1.
当x>0时,ex>1+x,所以ex-1≥x,
指数的放缩.形如:ex-1≥x-1+1⇒ex≥ex,
对数的放缩.形如:eln x≥1+ln x⇒ln x≤x-1⇒ln(1+x)≤x,
已知函数f(x)= ax2-(2a+1)x+2ln x(a∈R).(1)当a>0时,求函数f(x)的单调递增区间;
(2)当a=0时,证明:f(x)0,故f(x)0时,ex>x+1可得ex-1>x,由x>0时,ln x≤x-1可得x≥ln x+1,故ex-1>x≥ln x+1,即ex-ln x-2>0,即原不等式成立.
1.(2022·葫芦岛模拟)已知函数f(x)=x+b(1+ln x)(b∈R).(1)求f(x)的单调区间;
若b≥0,则f′(x)>0,f(x)在(0,+∞)上单调递增;若b
相关课件
这是一份专题一 培优点1 切线放缩--高三高考数学复习-PPT,共46页。PPT课件主要包含了内容索引,考点一,考点二,单切线放缩,双切线放缩,专题强化练,规律方法,由题意可知x0等内容,欢迎下载使用。
这是一份专题一 培优点1 切线放缩 2024年高考数学大二轮复习课件(含讲义),文件包含专题一培优点1切线放缩pptx、专题一培优点1切线放缩教师版docx、专题一培优点1切线放缩docx等3份课件配套教学资源,其中PPT共46页, 欢迎下载使用。
这是一份新高考版高考数学二轮复习(新高考版) 第1部分 专题突破 专题1 培优点2 对数平均不等式、切线不等式课件PPT,共45页。PPT课件主要包含了高考数学二轮复习策略,对数平均不等式,专题强化练等内容,欢迎下载使用。

