《新高考数学大二轮复习课件》专题一 培优点1 函数的公切线问题
展开
这是一份《新高考数学大二轮复习课件》专题一 培优点1 函数的公切线问题,共24页。PPT课件主要包含了跟踪演练等内容,欢迎下载使用。
导数中的公切线问题,重点是导数的几何意义,通过双变量的处理,从而转化为零点问题,主要考查消元、转化、构造函数、数形结合能力以及数学运算素养.
例 若f(x)=ln x与g(x)=x2+ax两个函数的图象有一条与直线y=x平行的公共切线,则a等于A.1 B.2 C.3 D.3或-1
解析 设在函数f(x)=ln x处的切点为(x,y),
此切线和g(x)=x2+ax也相切,故x2+ax=x-1,化简得到x2+(a-1)x+1=0,只需要满足Δ=(a-1)2-4=0,解得a=-1或a=3.
(2)已知曲线y=ex在点(x1, )处的切线与曲线y=ln x在点(x2,ln x2)处的切线相同,则(x1+1)(x2-1)等于A.-1 B.-2 C.1 D.2
解析 已知曲线y=ex在点(x1, )处的切线方程为y- = (x-x1),即y= x- x1+ ,
所以(x1+1)(x2-1)=-2.
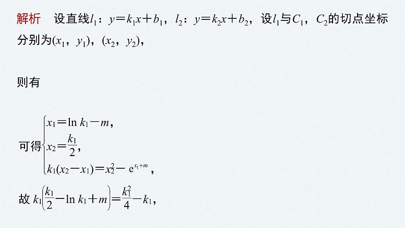
(3)(2021·南昌模拟)已知曲线C1:y=ex+m,C2:y=x2,若恰好存在两条直线l1,l2与C1,C2都相切,则实数m的取值范围是________________.
(-∞,2ln 2-2)
解析 设直线l1:y=k1x+b1,l2:y=k2x+b2,设l1与C1,C2的切点坐标分别为(x1,y1),(x2,y2),
故当f′(k)>0时,0
相关课件
这是一份专题一 培优点2 隐零点问题 2024年高考数学大二轮复习课件(含讲义),文件包含专题一培优点2隐零点问题pptx、专题一培优点2隐零点问题教师版docx、专题一培优点2隐零点问题docx等3份课件配套教学资源,其中PPT共44页, 欢迎下载使用。
这是一份专题一 培优点1 切线放缩 2024年高考数学大二轮复习课件(含讲义),文件包含专题一培优点1切线放缩pptx、专题一培优点1切线放缩教师版docx、专题一培优点1切线放缩docx等3份课件配套教学资源,其中PPT共46页, 欢迎下载使用。
这是一份新高考数学二轮复习专题一微重点4函数的公切线问题课件,共57页。PPT课件主要包含了求两函数的公切线,考点一,y=ex-1或y=x,规律方法,考点二,判断公切线条数,考点三,∴直线l的方程为,消去x2得,求参数的取值范围等内容,欢迎下载使用。

