


2022-2023学年湖北省武汉市第三中学高二上学期期中模拟数学试题(解析版)
展开
这是一份2022-2023学年湖北省武汉市第三中学高二上学期期中模拟数学试题(解析版),共39页。试卷主要包含了单选题,多选题,填空题,解答题等内容,欢迎下载使用。
一、单选题
1.设是双曲线的右焦点,为坐标原点,过作的一条渐近线的垂线,垂足为,若的内切圆与轴切于点,且,则C的离心率为( )
A.B.C.D.
【答案】C
【分析】首先求出,由,通过运算得到,再利用之间的关系得到关于的方程,解出即可.
【详解】∵F到渐近线的距离为,∴,
则△FOH的内切圆的半径为,
设△FOH的内切圆与FH切于点M,则
由,得
,
即
即
即,
由,得,由于 解得,
故选:C
【点睛】对于直角三角形内切圆半径要记住,根据向量之间关系得到关系式,再将其转化为关于的二次式,再利用,转化为关于的方程,这是求解关于离心率问题的常用方法.
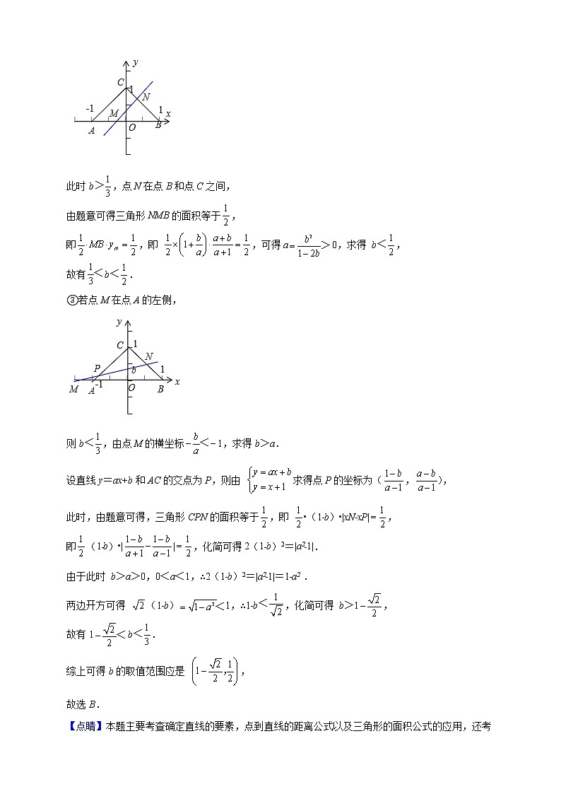
2.已知点A(﹣1,0),B(1,0),C(0,1),直线y=ax+b(a>0)将△ABC分割为面积相等的两部分,则b的取值范围是( )
A.(0,1)B.C.D.
【答案】B
【分析】先求得直线y=ax+b(a>0)与x轴的交点为M(,0),由0可得点M在射线OA上.求出直线和BC的交点N的坐标,①若点M和点A重合,求得b;②若点M在点O和点A之间,求得b; ③若点M在点A的左侧,求得b>1.再把以上得到的三个b的范围取并集,可得结果.
【详解】由题意可得,三角形ABC的面积为 1,
由于直线y=ax+b(a>0)与x轴的交点为M(,0),
由直线y=ax+b(a>0)将△ABC分割为面积相等的两部分,可得b>0,
故0,故点M在射线OA上.
设直线y=ax+b和BC的交点为N,则由可得点N的坐标为(,).
①若点M和点A重合,如图:
则点N为线段BC的中点,故N(,),
把A、N两点的坐标代入直线y=ax+b,求得a=b.
②若点M在点O和点A之间,如图:
此时b,点N在点B和点C之间,
由题意可得三角形NMB的面积等于,
即,即 ,可得a0,求得 b,
故有b.
③若点M在点A的左侧,
则b,由点M的横坐标1,求得b>a.
设直线y=ax+b和AC的交点为P,则由 求得点P的坐标为(,),
此时,由题意可得,三角形CPN的面积等于,即 •(1﹣b)•|xN﹣xP|,
即(1﹣b)•||,化简可得2(1﹣b)2=|a2﹣1|.
由于此时 b>a>0,0<a<1,∴2(1﹣b)2=|a2﹣1|=1﹣a2 .
两边开方可得 (1﹣b)1,∴1﹣b,化简可得 b>1,
故有1b.
综上可得b的取值范围应是 ,
故选B.
【点睛】本题主要考查确定直线的要素,点到直线的距离公式以及三角形的面积公式的应用,还考查了运算能力以及综合分析能力,分类讨论思想,属于难题.
3.在中,,.若空间点满足,则直线与平面所成角的正切的最大值是( )
A.B.C.D.1
【答案】C
【分析】设,易知点在以为旋转轴,底面圆半径为的圆柱上,以所在平面为,建立空间直角坐标,则平面的法向量,设则,记直线与平面所成角为,则,令,利用换元法可得,又,则的最大值为,由此即可求出答案.
【详解】过点作与点,过点作与点,
设,则,
又,则,
则点在以为旋转轴,底面圆半径为的圆柱上,
如图所示:以所在平面为,建立空间直角坐标,则平面的法向量为:,
,
设,
则,
记直线与平面所成角为,
则,
因为,
所以,
令,则,
则,,
又,在上单调递减。在上单调递增,
则,
所以,当且仅当,即时,等号成立,
又,
所以直线与平面所成角的最大值为,
此时,
故选:C
4.已知梯形中,,,,,是线段的中点将沿所在的直线翻折成四面体,翻折的过程中下列选项错误的是( )
A.与始终垂直
B.当直线与平面所成角为时,
C.四面体体积的最大值为
D.四面体的外接球的表面积的最小值为
【答案】B
【分析】A选项:利用线面垂直的判定定理证明平面,即可得到;
B选项:根据题意得到为直线与平面所成角,然后根据,求即可;
C选项:根据题意得到平面平面时,四面体体积最大,然后求体积即可;
D选项:根据题意得到平面平面时,四面体外接球的表面积最小,找出半径求表面积即可.
【详解】
A选项:连接交于,因为,点是的中点,所以,又∥,所以四边形为平行四边形,因为,,所以四边形为正方形,,即,,又,所以在翻折过程中平面,因为平面,所以,故A正确;
B选项:因为平面,平面,所以平面平面,为直线与平面所成角,在中,,所以,故B错;
C选项:当平面平面时四面体的体积最大,此时,故C正确;
D选项:由题易知,当平面平面时,四面体外接球的表面积最小,此时球心点处,外接球半径为1,表面积为,故D正确;
故选:B.
5.如图,在棱长为1的正方体中,P为棱的中点,Q为正方形内一动点(含边界),则下列说法中不正确的是( )
A.若平面,则动点Q的轨迹是一条线段
B.存在Q点,使得平面
C.当且仅当Q点落在棱上某点处时,三棱锥的体积最大
D.若,那么Q点的轨迹长度为
【答案】B
【分析】取中点,证明平面,得动点轨迹判断A,建立如图所示的空间直角坐标系,求出平面的一个法向量,由与此法向量平行确定点位置,判断B,利用空间向量法求得到到平面距离的最大值,确定点位置判断C,利用勾股定理确定点轨迹,得轨迹长度判断D.
【详解】选项A,分别取中点,连接,,由与,平行且相等得平行四边形,所以,
平面,平面,所以平面,
连接,,,所以,同理平面,
,平面,所以平面平面,
当时,平面,所以平面,即点轨迹是线段,A正确;
选项B,以为原点,据直线分别为轴建立如图所示的空间直角坐标系,则,,,设(),
,,,
设是平面的一个法向量,
则,取,则,
若平面,则,所以存在,使得,
同,解得,因此正方形内(含边界)不存在点,使得平面,B错;
选项C,面积为定值,当且仅当点到平面的距离最大时,三棱锥的体积最大,,
到平面的距离为,,
时,,当时,有最大值1,
时,,时,有最大值,
综上,时,取得最大值1,故与重合时,取得最大值,三棱锥的体积最大,C正确;
选项D,平面,平面,,
所以,所以点轨迹是以为圆心,为半径的圆弧,圆心角是,轨迹长度为,D正确.
故选:B.
【点睛】关键点点睛:本题考查空间点的轨迹问题,解题关键是勾画出过且与平面平行的平面,由体积公式,在正方形内的点到平面的距离最大,则三棱锥体积最大.
6.已知直三棱柱中,,当该三棱柱体积最大时,其外接球的体积为( )
A.B.C.D.
【答案】C
【分析】要使三棱柱的体积最大,则面积最大,故令,则,再结合余弦定理得,进而得,当且仅当时,取得最大值,此时为等腰三角形,,再求解三棱柱外接球的半径即可得答案.
【详解】解:因为三棱柱为直三棱柱,
所以,平面
所以,要使三棱柱的体积最大,则面积最大,
因为,
令
因为,所以,
在中,,
所以,,
所以,,
所以,当,即时,取得最大值,
所以,当时,取得最大值,此时为等腰三角形,,
所以,,
所以,
所以,由正弦定理得外接圆的半径满足,即,
所以,直三棱柱外接球的半径,即,
所以,直三棱柱外接球的体积为.
故选:C
7.为庆祝国庆,立德中学将举行全校师生游园活动,其中有一游戏项目是夹弹珠.如图,四个半径都是1cm的玻璃弹珠放在一个半球面形状的容器中,每颗弹珠的顶端恰好与容器的上沿处于同一水平面,则这个容器的容积是( )
A.B.
C.D.
【答案】B
【分析】根据四个小球和容器的相切关系,作出对应的正视图和俯视图,建立球心和半径之间的关系即可得到容器的半径.
【详解】分别作出四个小球和容器的正视图和俯视图,如图所示:
正视图中小球球心B,半球球心O与切点A构成直角三角形,则有,
俯视图中,四个小球球心的连线围成正方形,正方形的中心到球心的距离与正视图中的相等, 设半球半径为R,已知小球半径r=1,∴ ,,,.
半球面形状的容器的容积是.
故选:B
8.在棱长为3的正方体中,点为侧面内一动点,且满足平面,若,三棱锥的所有顶点均在球的球面上,则球的表面积为( )
A.B.C.D.
【答案】C
【分析】探求点的位置,结合余弦定理求出BP,AP,再由正弦定理求出的球的截面小圆半径,然后确定球心O的位置并求出球半径作答.
【详解】在正方体中,连接,如图,
对角面是矩形,有,平面,平面,则平面,
同理平面,而,平面,因此平面平面,
而平面,平面,则有平面,又点在侧面内,
侧面平面,于是得点在线段上,中,,
由余弦定理得:,即,解得或,
中,,由余弦定理得:,
由正弦定理得的外接圆半径,外接圆半径,
令,外接圆圆心为,有平面,取中点,令外接圆圆心为 连,
则,而平面平面,平面平面,
因此平面,平面,又平面,从而有,
即四边形为平行四边形,,
球O的半径R,有,
所以球的表面积为.
故选:C
【点睛】关键点睛:解决与球有关的内切或外接问题时,关键是确定球心的位置,再利用球的截面小圆性质求解.
二、多选题
9.已知正四棱台的所有顶点都在球的球面上,,为内部(含边界)的动点,则( )
A.平面B.球的表面积为
C.的最小值为D.与平面所成角的最大值为60°
【答案】ACD
【分析】对于A,利用平行四边形证得,进而证得平面;
对于B,先假设的位置,利用勾股定理与半径相等得到及,解得,进而确定的位置,故可求得球的表面积为;
对于C,先判断落上,再进一步判断与重合时,取得最小值为;
对于D,利用面面垂直的性质作出面,故为与平面所成角,再利用得知当与重合时,取得最大值,再利用对顶角相等求得此时,进而得到的最大值为.
【详解】对于A,如图1,
由棱台的结构特征易知与的延长线必交于一点,故共面,
又面面,而面面,面面,故,即;
由平面几何易得,即;
所以四边形是平行四边形,故,
而面,面,故平面,故A正确;
.
对于B,如图2,设为的中点,为正四棱台外接球的球心,则,
在等腰梯形中,易得,即,
为方便计算,不妨设,则由,
即,即,又,
解得,即与重合,故,
故球的表面积为,故B错误;
.
对于C,由图2易得,,,面,
故面,
不妨设落在图3处,过作,则面,故,
故在中,(勾股边小于斜边);同理,,
所以,故动点只有落在上,才有可能取得最小值;
再看图4,由可知,
故,故C正确,
.
对于D,由选项C可知,面,面,故面面,
在面内过作交于,如图5,
则面,面面,故面,故为与平面所成角,
在中,,故当取得最小值时,取得最大值,即取得最大值,
显然,动点与重合时,取得最小值,即取得最大值,且,
在中,,,,故为正三角形,即,即与平面所成角的最大值为,故D正确.
故选:ACD.
【点睛】关键点点睛:本题关键点在于确定的位置,先假设在外(记为),由勾股边小于斜边推得,进而得到只有落在上,再利用为定值及基本不等式,推得与重合时,取得最小值;对于动点,我们一般要考虑特殊位置,可提高我们做题速度.
10.已知点,点是双曲线:左支上的动点,为其右焦点,是圆:上的动点,直线交双曲线右支于(为坐标原点),则( )
A.过点作与双曲线有一个公共点的直线恰有条
B.的最小值为
C.若的内切圆与圆外切,则圆的半径为
D.过作轴垂线,垂足为(与不重合),连接并交双曲线右支于,则(为直线斜率,为直线斜率)
【答案】BD
【分析】根据点的位置可确定与双曲线有一个公共点的直线条数,知A错误;
根据,,结合双曲线定义可知B正确;
设圆,由两圆外切可构造方程求得圆的半径,知C错误;
设,可求得,,从而将化为,利用基本不等式可求得D正确.
【详解】
对于A,双曲线的渐近线方程为,点在双曲线外,
过可作平行于渐近线的两条直线与双曲线有且仅有一个交点;
又过可作双曲线的两条切线,与双曲线有且仅有一个交点,
过点作与双曲线有一个公共点的直线恰有条,A错误;
对于B,由双曲线方程知其焦点为,圆的圆心为双曲线的左焦点,
;
(当且仅当三点共线时取等号),
(当且仅当三点共线时取等号),
,B正确;
对于C,由双曲线焦点三角形性质可知:的内切圆的圆心必在上,
可设,则圆的半径为,
圆与圆相外切,,解得:,
即的内切圆的半径为,C错误;
对于D,设,,,则,,,
;
又,,
,D正确.
故选:BD.
11.已知抛物线的焦点为F,过F的直线与抛物线相交于A,B两点.过A,B两点分别作抛物线的切线,两切线交于点Q.直线l为抛物线C的准线,与x轴交于点D,则( )
A.当时,B.若,P是抛物线上一个动点,则的最小值为2
C.D.若点Q不在坐标轴上,直线AB的倾斜角为,则
【答案】ACD
【分析】根据抛物线的定义,结合导数的几何意义、一元二次方程根与系数关系逐一判断即可.
【详解】设,,直线AB为,则整理得,,,.
当时,则,故,,∴,故,∴,故A正确;
M到抛物线准线的距离为,结合抛物线的定义可知,当P的纵坐标为1时,的最小值是,故B错误;
不妨设A在第一象限,B在第四象限,则,,,则点A处切线斜率,,,则点B处切线斜率,所以,又因为,所以,所以,故C正确;
不妨设A在第一象限,B在第四象限,记直线AD与直线BD的倾斜角为,,
,因为直线AB倾斜角为,则,故,故D正确.
故答案为:ACD
【点睛】关键点睛:利用导数的几何意义是解题的关键.
12.拋物线的焦点为,过的直线交拋物线于两点,点在拋物线上,则下列结论中正确的是( )
A.若,则的最小值为4
B.当时,
C.若,则的取值范围为
D.在直线上存在点,使得
【答案】BC
【分析】对A,根据抛物线的定义转化求解最小值即可;对B,根据抛物线的定义,结合三角函数关系可得直线倾斜角,再根据抛物线焦点弦长公式求解即可;对C,根据抛物线的定义可得,再分析临界条件求解即可;对D,
【详解】对A,如图,由抛物线的定义,的长度为到准线的距离,故的最小值为与到准线距离之和,故的最小值为到准线距离 ,故A错误;
对B,不妨设在第一象限,分别过作准线的垂线,垂足,作.则根据抛物线的定义可得,故
.
故,所以.故B正确;
对C,过作垂直于准线,垂足为,则,由图易得,故随的增大而增大,当时在点处,此时取最小值1;当与抛物线相切时最大,此时设方程,联立有,,此时解得,不妨设则方程,此时倾斜角为,.
故的取值范围为,故C正确;
对D, 设,中点,故到准线的距离,又,故,故以为直径的圆与准线相切,又满足的所有点在以为直径的圆上,易得此圆与无交点,故D错误;
故选:BC
三、填空题
13.三棱锥中,顶点P在平面ABC的射影为O,满足,A点在侧面PBC上的射影H是的垂心,,此三棱锥体积的最大值是____________.
【答案】36
【分析】由题设O是的重心,连接并延长交于,连接并延长交于,易得分别是、中点,再应用线面垂直的判定、性质求证、,即可知为等边三角形,设其边长为,利用棱锥体积公式得,应用三元基本不等式求最大值,注意取值条件.
【详解】由P在平面ABC的射影为O,且,
所以O是的重心,连接并延长交于,连接并延长交于,
则分别是、中点,
由面,面,则,
又H是的垂心,则,
而,面,所以面,
由面,故,
由面,面,则,
又,面,则面,
由面,所以,
而面,则,又,,面,
所以面,面,则,
而面,则,
又,面,则面,
由面,则,即,
根据,,分别为、中点,故为等边三角形,
设边长为,则,故,又,
所以,则,
故,当且仅当,即时等号成立,
所以三棱锥体积的最大值是36.
故答案为:36
【点睛】关键点点睛:首先要判定为等边三角形,再设的边长,结合锥体体积公式、基本不等式求体积最大值.
14.三棱锥中,,底面是边长为2的正三角形,分别是的中点,且,若为三棱锥外接球上的动点,则点到平面距离的最大值为___________.
【答案】##
【分析】先证得平面,再求得,从而得为正方体一部分,进而知正方体的体对角线即为球直径,从而得解;
【详解】为边长为2的等边三角形,
为正三棱锥,
,又分别为中点,
,
,又
平面平面,
为正方体一部分,
故,即,
∵为三棱锥外接球上的动点,
∴当位于正方体的如图所示的顶点处,点到平面距离最大,设为,
∴可求得三棱锥的体积为:,
∴,
解得:
故答案为:
【点睛】求解立体几何外接球问题,根据题目特征作出辅助线,找到球心,求出半径,或补形为长方体或正方体,进而求出表面积或体积.
15.已知双曲线的左、右焦点分别为,过点作直线分别交双曲线左支和一条渐近线于点(在同一象限内),且满足. 联结,满足. 若该双曲线的离心率为,求的值_______.
【答案】
【分析】先假设,由得,再由点在双曲线上,得到,进而得到,又由点在渐近线上,得到,平方后将,代入得到齐次方程,求得,再平方即可求得离心率.
【详解】不妨设,由得,化简得(1), 在双曲线上,所以,即, 代入(1)解得,
,又在渐近线上,,即.
两边平方得(2)
将和代入(2)得
化简得,解得,即. 化简得
故答案为:
【点睛】双曲线的离心率是双曲线最重要的几何性质,求双曲线的离心率(或离心率的取值范围),常见有两种方法:
①求出a,c,代入公式;
②只需要根据一个条件得到关于a,b,c的齐次式,结合b2=c2-a2转化为a,c的齐次式,然后等式(不等式)两边分别除以a或a2转化为关于e的方程(不等式),解方程(不等式)即可得e(e的取值范围).
16.阿波罗尼奥斯在其著作《圆锥曲线论》中提出:过椭圆上任意一点的切线方程为.若已知△ABC内接于椭圆E:,且坐标原点O为△ABC的重心,过A,B,C分别作椭圆E的切线,切线分别相交于点D,E,F,则______.
【答案】4
【分析】设、、,由重心的性质有、、,写出过切线方程并求交点坐标,进而判断△重心也为O,再由在椭圆上可得、、共线,即分别是的中点,即可确定面积比.
【详解】若、、,则的中点、、,
由O为△ABC的重心,则、、,
所以、、,可得,
由题设,过切线分别为、、,
所以,,,
所以,同理,即△重心也为O,
又、、,可得、、,
所以,同理可得、,
所以、、共线,
综上,分别是的中点,则
【点睛】关键点点睛:设点坐标及过切线方程,并求出坐标,利用重心的性质确定△重心为O,并求证分别是的中点即可.
四、解答题
17.已知、分别是椭圆的左右顶点,为坐标原点,,点在椭圆上.过点,且与坐标轴不垂直的直线交椭圆于、两个不同的点.
(1)求椭圆的标准方程;
(2)若点落在以线段为直径的圆的外部,求直线的斜率的取值范围;
(3)当直线的倾斜角为锐角时,设直线、分别交轴于点、,记,,求的取值范围.
【答案】(1)
(2)
(3)
【分析】(1)根据长轴长求出,再代入,求出,得到椭圆方程;
(2)设出直线的方程,联立椭圆方程,先根据根的判别式求出的取值范围,
再根据点落在以线段为直径的圆的外部,则,列出不等式,求出的取值范围;
(3)先设出直线的方程,求出点S坐标,同理求出点T为,根据向量关系得到,结合的范围求出的范围.
【详解】(1)因为,所以;
又点在图像上即,所以,
所以椭圆的方程为;
(2)由(1)可得
设直线,设、,
由得,
解得或①
∵点在以线段为直径的圆的外部,则,
又②
解得或
由①②得
(3)设直线,又直线的倾斜角为锐角,由(2)可知,
记、,所以直线的方程是:,直线的方程是:.
令,解得,所以点S坐标为;同理点T为.
所以,,.
由,,可得:,,
所以,
由(2)得,,
所以
,
因为,所以,,
故的范围是.
【点睛】对于直线与圆锥曲线结合,求解取值范围问题,通常思路为设出直线方程,与圆锥曲线联立,得到两根之和,两根之积,再根据题干条件列出方程,求出答案.
18.已知点在椭圆C:()上,椭圆C的左、右焦点分别为F1,F2,的面积为.
(1)求椭圆C的方程;
(2)设点A,B在椭圆C上,直线PA,PB均与圆O:()相切,试判断直线AB是否过定点,并证明你的结论.
【答案】(1)
(2)过定点,证明见解析
【分析】(1)结合题意,可得关于的方程,解之可得椭圆C的方程;
(2)先由直线与圆相切可得,再联立直线与椭圆的方程,利用韦达定理分别求出,,,,代入可得的关系式,进而可得直线AB过定点.
【详解】(1)由题知,,的面积等于,
所以,解得,所以椭圆的方程为.
(2)设直线的方程为,直线的方程为,
由题知,所以,
所以,同理,,
所以是方程的两根,所以.
设,设直线的方程为,
将代入,得,
所以,①
②
所以,③
,④
又因为,⑤
将①②③④代入⑤,化简得,
所以,所以,
若,则直线,此时过点,舍去.
若,则直线,此时恒过点,
所以直线过定点.
【点睛】(1)解答直线与椭圆的题目时,时常把两个曲线的方程联立,消去x(或y)建立一元二次方程,然后借助根与系数的关系,并结合题设条件建立有关参变量的等量关系.
(2)涉及到直线方程的设法时,务必考虑全面,不要忽略直线斜率为0或不存在等特殊情形.
19.已知椭圆的离心率为,椭圆C与y轴交于A,B两点,且.
(1)求椭圆C的方程.
(2)设点P是椭圆C上的一个动点,且点P在y轴的右侧.直线PA,PB与直线分别交于M,N两点.若以MN为直径的圆与x轴交于两点E,F,求点P横坐标的取值范围及的最大值.
【答案】(1)
(2)横坐标的取值范围为,的最大值为2
【分析】(1)根据离心率及短轴长求出,,求出椭圆方程;
(2)解法1:设出P的坐标为,,得到PA,的方程,进而求出的坐标,表达出圆的方程,根据圆与轴有两个交点得到,利用求出最大值;
解法2:同解法1,表达出的坐标,根据以MN为直径的圆与x轴相交列出不等式,求出,利用垂径定理得到,求出最大值;
解法3:同解法1,表达出的坐标,根据半径大于圆心到轴的距离列出不等式,求出,利用垂径定理得到,求出最大值;
解法4:同解法1,,表达出的坐标,根据垂直关系得到,从而得到,求出,根据表达出的长,并求出最大值;
解法5::设直线OP与交于点T,根据相似得到T是MN的中点,求出T,
得到半径,根据点到轴距离小于半径,结合得到,
利用垂径定理得到,求出最大值.
【详解】(1)由题意,可得,,得,解得:.
椭圆C的标准方程为.
(2)解法1:设点P的坐标为,点A的坐标为(0,1),点B的坐标为.
∴,直线PA的方程为,同理:直线PB的方程为.
直线PA与直线的交点为;
直线PB与直线的交点为.
∵线段MN的中点坐标为,
∴圆的方程为.
令,则.
∵,
∴,
∴.
∵这个圆与x轴相交,该方程有两个不同的实数解,
∴,解得.
设交点坐标分别为,,则.
∴该圆被x轴截得的弦长的最大值为2.
解法2:设点P的坐标为,点A的坐标为(0,1),点B的坐标为.
∴,直线PA的方程为,同理:直线PB的方程为.
直线PA与直线的交点为;
直线PB与直线的交点为.
若以MN为直径的圆与x轴相交,则,
即,即.
∵,
∴,代入得到,解得.
该圆的直径为;
圆心到x轴的距离为;
该圆在x轴上截得的弦长为.
∴该圆被x轴截得的弦长的最大值为2.
解法3:设点P的坐标为,点A的坐标为(0,1),点B的坐标为.
∴,直线PA的方程为
同理:直线PB的方程为.
直线PA与直线的交点为;
直线PB与直线的交点为.
∴.
圆心到x轴的距离为.
若该圆与x轴相交,则,即.
∵,
∴,
∴,解得.
该圆在x轴上截得的弦长为.
∴该圆被x轴截得的弦长的最大值为2.
解法4:记点D的坐标为(2,0),点H的坐标为(4,0),设点P的坐标为,点M的坐标为,点N的坐标为.
由已知可得点A的坐标为(0,1),点B的坐标为.
∴AP的直线方程为,BP的直线方程为.
令,分别可得,.
∴点M的坐标为,点N的坐标为.
若以MN为直径的圆与x轴相交于点E,F,
∵,
∴.
.
∵,
∴,代入得到,
∴.
∴.
∴该圆被x轴截得的弦长的最大值为2.
解法5:设直线OP与交于点T.
∵轴,
∴有,.
∴,,即T是MN的中点.
又设点P的坐标为,则直线OP方程为.
令,得,∴点T的坐标为.
而,若以MN为直径的圆与x轴相交于点E,F,则,即.
∵,
∴,
∴,解得或.
∵,∴,∴.
∴该圆被x轴截得的弦长的最大值为2.
【点睛】圆锥曲线与圆结合的题目,要充分利用圆的几何性质进行求解,本题中使用圆心到直线的距离小于半径来求解轴与圆相交,从而求出,利用垂径定理求解弦长,进而求出最大值.
20.平面直角坐标系中,已知点.点满足,记点的轨迹.
(1)求的方程;
(2)设点与点关于原点对称,的角平分线为直线,过点作的垂线,垂足为,交于另一点,求的最大值.
【答案】(1);
(2)
【分析】(1)根据双曲线定义得到点的轨迹为以为焦点的双曲线的右支,求出,得到轨迹方程;
(2)设出,,,根据角平分线的条件,结合向量投影
模长相等得到,从而求出,点坐标,确定直线的方程,由点到直线距离
公式求出,再求出直线的方程为,与双曲线方程联立,利用
弦长公式求出,结合基本不等式求出,最后求出的最大值.
【详解】(1)由题意得:,,
所以点的轨迹为以为焦点的双曲线的右支,
即,
所以的方程为;
(2)由对称性,不妨设在第一象限,设,则,
设直线的斜率为,记,由为的角平分线,
则,其中,,
所以,
同理得:,
,
代入中,,
化简得:,
将代入,中,解得:,
所以,,
设直线的方程为,将代入,解得:,
所以直线的方程为,
由点到直线距离公式得:,
由直线的斜率为,设直线的方程为,
将点代入,解得:,
所以直线的方程为,将其与联立得:
,
设,
则,
由可知:,又,所以,
,
由均值不等式,,当且仅当,
即时,等号成立,因为,故,
所以,当且仅当时,等号成立,
的最大值为.
【点睛】本题难点在于如何处理角平分线这个条件,采用了向量投影的模长相等来进行求解,计算量小且易操作,属于点睛之笔.
21.一个楔子形状几何体的直观图如图所示,其底面 为一个矩形,其中 ,,顶部线段 平面,棱 ,二面角 的余弦值为 ,设 , 分别是 , 的中点.
(1)证明:平面平面;
(2)求直线与平面所成角的正弦值.
【答案】(1)证明见解析;
(2)
【分析】(1)先由线面平行的性质定理证得,得四点共面,再由线面垂直的判定定理得到面,进而由面面垂直的判定定理得到结论.
(2)先结合(1)中结论证得面,进而证得二面角的平面角为,故求得所需线段的长度,建立空间直角坐标系,求得与面的法向量,利用空间向量数量积运算即可求得直线与平面所成角的正弦值.
【详解】(1)因为平面,且平面,又因为平面平面,所以,
又是矩形两边的中点,所以,
所以,故四点共面,
因为,是的中点,所以,
在矩形中,故,
又面,
所以面,
又因为面,所以平面平面.
(2)在平面内过做的垂线,垂足为,则由(1)可知面,故,
又,面,所以面,
又因为,所以二面角的平面角为,故,
在中,,
在中,,,
过做边的垂线,垂足为,以为坐标原点,以方向为轴正方向,建立空间直角坐标系,
则,
故,,
设平面的一个法向量为,则,即,
令,得,
设直线与平面所成角为,则.
22.如图,已知四棱锥中,平面,平面平面,且,,,点在平面内的射影恰为的重心.
(1)证明:;
(2)求直线与平面所成角的正弦值.
【答案】(1)证明见解析;(2).
【分析】(1)过作于, 利用面面垂直的性质定理可知平面,进而可知,又由已知可知,再利用线面垂直的判定定理证得平面,进而证得;
(2)连结并延长交于,连结,以为原点,分别以,所在的直线为,轴,以过且与平面垂直的直线为轴,建立空间直角坐标系,求出平面的法向量,即,再利用向量夹角公式即可求得直线与平面所成角的正弦值.
【详解】(1)过作于,
因为平面平面,平面平面,平面,
平面,
平面,.
又平面,平面,,
又,平面,
平面,.
(2)连结并延长交于,连结,以为原点,
分别以,所在的直线为,轴,以过且与平面垂直的直线为轴,
建立空间直角坐标系,如图所示,则,,,设,
平面,平面,,同理,
又,平面,,
又是的重心,是的中点,,由(1)知,,
, ,,
,解得,,
设,则,故,
,,,,
,,,,
设平面的法向量为,则,
令,则,
设直线与平面所成角为,则,
故直线与平面所成角的正弦值为.
【点睛】方法点睛:本题考查线线垂直,及线面角的求法,利用空间向量求立体几何常考查的夹角:
设直线的方向向量分别为,平面的法向量分别为,则
①两直线所成的角为(),;
②直线与平面所成的角为(),;
③二面角的大小为(),
相关试卷
这是一份【期中真题】湖北省武汉市第三中学2022-2023学年高二上学期期中模拟数学试题.zip,文件包含期中真题湖北省武汉市第三中学2022-2023学年高二上学期期中模拟数学试题原卷版docx、期中真题湖北省武汉市第三中学2022-2023学年高二上学期期中模拟数学试题解析版docx等2份试卷配套教学资源,其中试卷共52页, 欢迎下载使用。
这是一份2022-2023学年湖北省武汉市高一上学期期中模拟(二)数学试题(解析版),共20页。试卷主要包含了单选题,多选题,填空题,解答题等内容,欢迎下载使用。
这是一份2022-2023学年湖北省武汉市高一上学期期中模拟数学试题(解析版),共15页。试卷主要包含了单选题,多选题,填空题,解答题等内容,欢迎下载使用。
