2023届甘肃省张掖市某重点校高三上学期11月月考数学(文)试题含解析
展开
这是一份2023届甘肃省张掖市某重点校高三上学期11月月考数学(文)试题含解析,共15页。试卷主要包含了单选题,填空题,解答题等内容,欢迎下载使用。
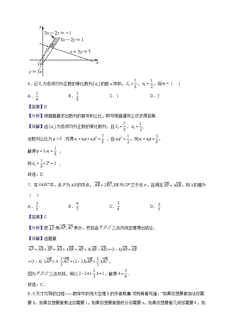
2023届甘肃省张掖市某重点校高三上学期11月月考数学(文)试题 一、单选题1.已知复数,则( )A. B. C. D.【答案】B【分析】若,则,.【详解】,则,,故.故选:B.2.已知集合,集合,集合,则( )A. B. C. D.【答案】B【分析】求出集合,然后根据交集、并集的定义求解即可.【详解】,所以,所以.故选:B.3.已知数列,均为公差不为0的等差数列,且满足,,则( )A.2 B.1 C. D.3【答案】A【分析】根据等差数列性质:,运算求解.【详解】设数列,的公差分别为∵,,则∴,则故选:A.4.函数的部分图象大致是( )A. B.C. D.【答案】B【分析】判断函数的奇偶性,再确定时函数值的正负,利用排除法得正确结论.【详解】定义域是,,函数为奇函数,排除A,时,,,,所以,排除CD.故选:B.5.若x,y满足约束条件则z=y-3x的最大值为( )A. B. C.-1 D.【答案】C【分析】根据约束条件画出可行域,根据目标函数的几何意义即可求解最值.【详解】根据约束条件画出可行域(如图),联立,故,当直线经过点时,最大,此时 ,故选:C 6.记为各项均为正数的等比数列的前n项和,,,则( )A. B. C.1 D.2【答案】D【分析】根据题意求出数列的首项和公比,即可根据通项公式求得答案.【详解】由为各项均为正数的等比数列,且,,设数列公比为 ,可得 ,且,则,解得 ,故 ,故选:D.7.在中,点为的中点,与交于点,且满足,则的值为( )A. B. C. D.【答案】C【分析】把用表示,然后由三点共线定理得出结论.【详解】由题意,因为三点共线,所以,解得.故选:C.8.《天才引导的过程——数学中的伟大定理》的作者威廉·邓纳姆曾写道:“如果你想要做加法你需要0,如果你想要做乘法你需要1,如果你想要做微积分你需要e,如果你想要做几何你需要,如果你想要做复分析你需要i,这是数学的梦之队,他们都在这个方程里”.这里指的方程就是:,令,,则,令,,则,若数列满足,为数列的前n项和,则下列结论正确的个数是( )①是等比数列 ② ③ ④A.1个 B.2个 C.3个 D.4个【答案】C【分析】根据题意可知,进而即可根据所给式子逐一判断.【详解】,故是公比为的等比数列,A正确,,B正确,,故C错误,由的定义可知,故D正确,故选:C9.已知点为的外心,的外接圆的半径为1,则与的夹角的正弦值为( )A. B. C. D.【答案】A【分析】由已知可得:,两边同时平方利用数量积运算和已知条件,即可得出结果;【详解】,,,又,,,而,故.故选:A10.已知函数,若过点能作三条直线与的图像相切,则实数的取值范围是( )A. B. C. D.【答案】D【分析】根据已知条件有三条直线相切,得两函数图像有三个交点,利用函数的单调性即可得到的取值范围.【详解】由已知:,故,设切点为 所以切线斜率为,切线方程为,将点坐标代入切线方程可得化简可得即函数与函数有三个不同的交点.故,当时,,函数单调递减当时,,函数单调递增当时,,函数单调递减且时,,,且时, 所以的取值范围为 故选:D11.设,则( )A. B.C. D.【答案】D【分析】构造两个函数,,与,,利用导数确定单调性后可得.【详解】设,,则,所以在上单调递增,,,,所以,设,,则,在上递减,,,,即,所以.故选:D.12.已知是定义域为R的奇函数,若的最小正周期为2,则下列说法一定正确的是( )A. B.1是的一个周期C. D.【答案】C【分析】由函数与的关系得其最小正周期,判断B,利用周期性与奇偶性求得和判断C,假若A成立,结合周期性得出函数为偶函数,从而判断A,利用周期性与奇偶性得出与的关系判断D.【详解】的最小正周期是2,则的最小正周期是2,B错;∴又,∴,C正确;若,又,则,令,则有,因此是偶函数,与题意不符,A错;,∴,D错.故选:C. 二、填空题13.若向量满足与垂直,则__________.【答案】【分析】由向量垂直得,然后由已知模等式平方后可得.【详解】与垂直,则,,,即,,故答案为:.14.若的图象向右平移个单位长度得到的图象,则的值可以是______.(写出满足条件的一个值即可)【答案】(答案不唯一,满足均可)【分析】根据图象平移得平移后的函数,从而可得,再根据,取合适的一个的值即可.【详解】解:的图象向右平移后得到的函数为则,解得,又所以的值可以是当时,.故答案为:(答案不唯一,满足均可)15.已知点P(m,n)是函数图象上的点,当时,2m+n的最小值为______.【答案】【分析】根据基本不等式即可求解最小值.【详解】P(m,n)是函数图象上的点,所以,因为,所以,所以,当且仅当时取等号,故的最小值为.故答案为:16.在中,角所对的边分别为,若,且,则__________.【答案】【分析】已知条件,利用切化弦,两角和的正弦公式,正弦定理化简可得,已知条件,利用和差角的正弦公式和正弦定理,解得,最后用余弦定理解得.【详解】中,,,,由正弦定理有,,由,得,有,即,,得,由,可得,即,代入,得,∴,由余弦定理,,得,故答案为: 三、解答题17.已知公比的绝对值大于1的等比数列中的前三项恰为中的三个数,为数列的前项和.(1)求;(2)求.【答案】(1);(2). 【分析】(1)根据题意确定前三项,结合等比数列通项公式可得结果;(2)利用错位相减法求和即可.【详解】(1)根据题意可知,,所以公比,所以;(2)由(1)知,,,所以,所以,所以,,所以.18.已知.(1)若与的夹角为钝角,,求的取值范围;(2)若函数在上有10个零点,求的取值范围.【答案】(1)(2) 【分析】(1)根据与的夹角为钝角,可得与数量积小于零,且与不共线,化简求出范围即可.(2)根据的解析式及进行换元,转化为在上有10个零点的问题,画图像进行分析,求出的取值范围.【详解】(1)解:由题知,与的夹角为钝角,所以且与不共线,则有,且,因为,故,(2)由题知,,令,则在上有10个零点,即在上有10个零点,画出的图像如下所示故只需,解得,故.19.已知数列满足,(1)若数列为数列的奇数项组成的数列,为数列的偶数项组成的数列,求出,并证明:数列为等差数列;(2)求数列的前10项和.【答案】(1)答案见解析;(2). 【分析】(1)由已知递推关系求出数列前几项,易得,利用已知递推关系得出与的关系即得与的关系,从而证明是等差数列;(2)用分组求和法求.【详解】(1)由定义,,,,,,,,,,,所以,,,,所以,所以是等差数列,公差为;(2)由(1),,,.20.如图,中,点为边上一点,且满足.(1)证明:;(2)若,求的面积.【答案】(1)证明见解析;(2). 【分析】(1)利用正弦定理,结合已知条件进行证明.(2)结合第(1)问的结论,利用余弦定理、三角形的面积公式求解.【详解】(1)因为,所以,在中,由正弦定理有:,在中,由正弦定理有:,所以,所以,而,所以,所以.(2)因为,在中,由余弦定理有:,因为是三角形的内角,所以,由(1)有:,所以,所以是的角平分线,所以,所以,又,所以,所以.21.已知函数有两个极值点.(1)若,求的取值范围;(2)当时,求的最大值.【答案】(1);(2). 【分析】(1)求出导函数,由有两个不等正根(转化为一元二次方程有两个不等正根)可得参数范围;(2)由(1)得出极值点满足,,计算化为的函数,然后引入新函数,利用导数求得其最大值.【详解】(1),由题意有两个不等的正根,所以,解得;(2)由(1)知,,,设,则,时,,单调递减,所以,从而,所以的最大值是.【点睛】思路点睛:本题考查用导数研究函数的极值点问题,求与极值点有关的最值.解题关键是理解极值点的定义,第一小问极值点的存在性转化为一元二次方程有两个不等的正根,由此可得参数范围,第二小问求二元函数的最值,关键是利用极值点与参数的关系把二元函数转化为一元函数,从而再利用导数求最值.22.在直角坐标系 中,曲线的参数方程为 (t为参数),曲线的参数方程为 (为参数).(1)以坐标原点为极点,x轴正半轴为极轴建立极坐标系,求曲线的极坐标方程与的普通方程;(2)若 分别为曲线,曲线上的动点,求的最小值.【答案】(1)的普通方程为,曲线的极坐标方程为.(2). 【分析】(1)根据消参法可求得的普通方程,利用直角坐标与极坐标的转化公式可求得曲线的极坐标方程;(2)设,求得其与点距离的表达式,利用导数求得其最小值,结合几何意义即可求得的最小值.【详解】(1)由题意曲线的参数方程为 (t为参数)。消去t可得,即的普通方程为;曲线的参数方程为 (为参数),消去参数可得 ,将 代入上式,可得曲线的极坐标方程为;(2)设,曲线表示圆,半径为1,圆心设为,则 ,令,则,为时的递增函数,且,当时,,递减,当时,,递增,故,则最小值为20,即最小值为 ,分别为曲线上的动点,所以的最小值为.23.已知函数.(1)若对,恒成立,求实数n的取值范围;(2)若的最小值为4,且正数a,b,c满足a+2b+c=n,求的最小值.【答案】(1)(2) 【分析】(1)由绝对值三角不等式得,由题意知,即可得出的取值范围;(2)由题意得,利用基本不等式求出的最小值,从而得出答案.【详解】(1)由绝对值三角不等式得,当且仅当时等号成立,即,由题意知,所以或,即或.综上,的取值范围是.(2)由(1)知,的最小值为,所以,解得或.当时,,不符合题意,故舍去.从而,即.,当且仅当,即时等号成立,所以,综上,的最小值为.
相关试卷
这是一份2023届甘肃省张掖市某重点校高三上学期第二次检测数学(文)试题含解析,共15页。试卷主要包含了单选题,填空题,解答题等内容,欢迎下载使用。
这是一份2023届甘肃省张掖市某重点校高三上学期11月月考数学(文)试题(解析版),共15页。试卷主要包含了单选题,填空题,解答题等内容,欢迎下载使用。
这是一份2023届甘肃省张掖市某重点校高三上学期12月月考数学(文)试题(解析版),共18页。试卷主要包含了单选题,填空题,解答题等内容,欢迎下载使用。

