2023届甘肃省张掖市某重点校高三上学期11月月考数学(理)试题含解析
展开2023届甘肃省张掖市某重点校高三上学期11月月考数学(理)试题
一、单选题
1.已知集合,集合,集合,则( )
A. B. C. D.
【答案】B
【分析】求出集合,然后根据交集、并集的定义求解即可.
【详解】,所以,所以.
故选:B.
2.已知复数z满足,其中i为虚数单位,则在复平面内对应的点位于( )
A.第一象限 B.第二象限 C.第三象限 D.第四象限
【答案】A
【分析】根据复数除法计算出,再根据共轭复数定义写出,最后确定对应点在复数平面的位置.
【详解】由可知,则
故选:A
3.已知数列,均为公差不为0的等差数列,且满足,,则( )
A.2 B.1 C. D.3
【答案】A
【分析】根据等差数列性质:,运算求解.
【详解】设数列,的公差分别为
∵,,则
∴,则
故选:A.
4.已知指数函数的图象与直线y=x相切于点P,则的解析式可能是( )
A. B. C. D.
【答案】C
【分析】根据切点处的斜率为1可求解A,C,D,求导,利用导数研究通过的单调性确定其零点,即可判断B.
【详解】由题意可知直线y=x是指数函数的一条切线,故切线斜率,
对于A,,则,令,此时切点不在上,故A不可能,
对于B,,令,设该方程的解为,即,
则切点为,则由于,所以,令则,单调递增,且,
所以存在,使得当时,,当时,,因此在单调递减,在单调递增,
又,故当时,,因此在上无实数根,因此不存在满足,因此故B不可能,
对于C,,令,此时切点为刚好也在上,故C可能,
对于D,,令,该方程无解,所以D不可能是,
故选:C
5.若x,y满足约束条件则z=y-3x的最大值为( )
A. B. C.-1 D.
【答案】C
【分析】根据约束条件画出可行域,根据目标函数的几何意义即可求解最值.
【详解】根据约束条件画出可行域(如图),联立,故,
当直线经过点时,最大,此时 ,
故选:C
6.记为各项均为正数的等比数列的前n项和,,,则( )
A. B. C.1 D.2
【答案】D
【分析】根据题意求出数列的首项和公比,即可根据通项公式求得答案.
【详解】由为各项均为正数的等比数列,且,,
设数列公比为 ,可得 ,且,则,
解得 ,
故 ,
故选:D.
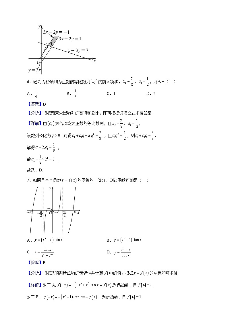
7.如图是某个函数的图象的一部分,则该函数可能是( )
A. B.
C. D.
【答案】B
【分析】根据选项判断函数的奇偶性并计算的值,根据的图象即可求解.
【详解】对于A,,为偶函数,且,
对于B,,为奇函数,且
对于C,,为偶函数,且,
对于D,,为奇函数,且,
由的图象可知:的图象关于原点对称且过,
故选:B
8.《天才引导的过程——数学中的伟大定理》的作者威廉·邓纳姆曾写道:“如果你想要做加法你需要0,如果你想要做乘法你需要1,如果你想要做微积分你需要e,如果你想要做几何你需要,如果你想要做复分析你需要i,这是数学的梦之队,他们都在这个方程里”.这里指的方程就是:,令,,则,令,,则,若数列满足,为数列的前n项和,则下列结论正确的个数是( )
①是等比数列 ② ③ ④
A.1个 B.2个 C.3个 D.4个
【答案】C
【分析】根据题意可知,进而即可根据所给式子逐一判断.
【详解】,
故是公比为的等比数列,A正确,
,B正确,
,故C错误,
由的定义可知,故D正确,
故选:C
9.在△ABC中,点F为AB的中点,,BE与CF交于点P,且满足,则的值为( )
A. B. C. D.
【答案】A
【分析】根据三点共线的结论:三点共线,则,结合平面向量基本定理求,再根据向量的线性运算分析求解.
【详解】以为基底向量,则有
∵三点共线,则
又∵三点共线,则
∴,解得
即
则
∴,即
故选:A.
10.设,,,则( )
A. B. C. D.
【答案】D
【分析】令,则,构造函数,利用的单调性得出;又得,从而得出答案.
【详解】令,则,
设,则,
当时,,所以在上单调递增,故,即;
又因为,所以,
综上,.
故选:D.
11.已知是定义域为R的奇函数,若的最小正周期为1,则下列说法一定正确的是( )
A. B.1是的一个周期
C. D.
【答案】C
【分析】根据函数的周期性和奇函数即可根据选项逐一求解.
【详解】的最小正周期为1,则,所以是以2周期的周期函数,因此,故B错误,
对于A,,故A错误,
对于C,由周期得,又,因此,故C正确,
对于D,,故D错误,
故选:C
12.在△ABC中,角A,B,C所对的边分别为a,b,c,若,且,则( )
A.1 B. C.2 D.
【答案】B
【分析】利用正弦定理、余弦定理,结合三角恒等变换公式,把已知条件转化为各边的关系式,即可得出答案.
【详解】,化简得.
由正弦定理、余弦定理,得,化简得,
由,展开整理得,
则,即,
所以,
故选:B.
二、填空题
13.若单位向量,满足,则与的夹角为______.
【答案】
【分析】由展开化简即可得.
【详解】因为,为单位向量,所以,
,
,
解得:,又,.
故答案为:.
14.若的图象向右平移个单位长度得到的图象,则的值可以是______.(写出满足条件的一个值即可)
【答案】(答案不唯一,满足均可)
【分析】根据图象平移得平移后的函数,从而可得,再根据,取合适的一个的值即可.
【详解】解:的图象向右平移后得到的函数为
则,解得,又
所以的值可以是当时,.
故答案为:(答案不唯一,满足均可)
15.已知点P(m,n)是函数图象上的点,当时,2m+n的最小值为______.
【答案】
【分析】根据基本不等式即可求解最小值.
【详解】P(m,n)是函数图象上的点,所以,
因为,所以,所以,当且仅当时取等号,故的最小值为.
故答案为:
16.已知关于x的方程有4个不等实数根,则a的取值范围是______.
【答案】
【分析】由因式分解可将问题转化为直线与有4个不同的交点,利用导数求解的单调性即可根据图象进行求解.
【详解】由得,
由于,所以问题转化为和共有4个不同的交点,
记,则,当时,,当时,,所以在单调递减,在单调递增,
故,又因此,当时,,当时,,故的图象如图所示,
要使为和共有4个不同的交点,则需要且,
解得
故答案为:
【点睛】本题主要考查了函数的零点,函数与方程等知识点,属于较难题判断函数零点个数的常用方法:
(1) 直接法: 令则方程实根的个数就是函数零点的个;
(2) 零点存在性定理法:判断函数在区间上是连续不断的曲线,且再结合函数的图象与性质(如单调性、奇偶性、周期性、对称性) 可确定函数的零点个数;(3) 数形结合法:转化为两个函数的图象的交点个数问题,画出两个函数的图象,其交点的个数就是函数零点的个数,在一个区间上单调的函数在该区间内至多只有一个零点,在确定函数零点的唯一性时往往要利用函数的单调性,确定函数零点所在区间主要利用函数零点存在定理,有时可结合函数的图象辅助解题.
三、解答题
17.已知,.
(1)若,且,时,与的夹角为钝角,求的取值范围;
(2)若,函数,求的最小值.
【答案】(1)
(2)的最小值为.
【分析】(1)又与的夹角为钝角,可得且与不能共线,列不等式求的范围;
(2) 化简得,利用将转化为关于的二次函数,利用二次函数性质求值域.
【详解】(1)当时, ,若与的夹角为钝角,
则且与不能共线,
,所以,
又,所以,所以,
当与共线时,,故,所以与不共线时,.
综上:.
(2)
令,则
而函数在上为增函数,故当时有最小值.
故的最小值为.
18.已知数列满足,,.
(1)若数列为数列的奇数项组成的数列,为数列的偶数项组成的数列,求出,,,并证明:数列为等差数列;
(2)求数列的前22项和.
【答案】(1),证明见详解;
(2).
【分析】(1)由题意,,由递推关系计算,,,再由递推关系可得,分析即得证;
(2)由递推关系可证明为等差,求解的通项公式,结合等差数列求和公式可得,求解即可.
【详解】(1)由题意,,,
故,,,
又
,
即,
故数列为等差数列;
(2)由(1)数列为等差数列,且公差为,首项,
即,
又,
且,故,
故数列的前22项和:
.
19.已知公比的绝对值大于1的无穷等比数列中的前三项恰为-32,-2,3,8中的三个数,为数列的前n项和.
(1)求;
(2)设数列的前n项和为,求证:.
【答案】(1)
(2)见详解
【分析】第(1)问先根据条件得出,代入后通过错位相减法求得.第(2)问裂项相消法求得分析的最大值和最小值即可证明不等式.
【详解】(1)由已知中的前三项满足,进计算只有 满足题意,故,,解得.则
①
②
两式相减得:
则
(2)由题意得:
故的最大值即的最小值,即时的最大值,易知
当时,最大且小于0,则最小值为
则最大值为
同理:当时,最小值为
综上可知:
20.如图,△ABC中,点D为边BC上一点,且满足.
(1)证明:;
(2)若AB=2,AC=1,,求△ABD的面积.
【答案】(1)见解析
(2)
【分析】(1)根据正弦定理即可求证,
(2)根据余弦定理得,进而可得,,根据比例即可由面积公式求解.
【详解】(1)在中,由正弦定理得,
在中,由正弦定理得,
又,故,
由于,所以,因此,
(2)由AB=2,AC=1,以及余弦定理可得,
由于为三角形内角,所以,由(1)知,故
因此,
进而得
21.已知.
(1)当时,恒成立,求a的取值范围;
(2)当时,求在上的零点个数.
【答案】(1);
(2)3
【分析】(1)由端点得恒成立需,得,再结合导数法说明成立即可;
(2)分别讨论、、、,由导数法研究函数单调性,结合零点存在定理即可判断
【详解】(1),,,由恒成立,则需,得,
∵,则,易得,故单调递增,故,恒成立.
故a的取值范围为;
(2)i. 当时,,故单调递增, ,故区间有一个零点;
ii. 当时,单调递增,,,故存在使,故在单调递减;在单调递增,
,,故存在使,故在单调递增,在单调递减,
,,故区间没有零点;
iii. 由得为零点;
iv. 当时,,∴单调递增,,
又,故存在使,故在单调递减,在单调递增,
由,,故区间有一个零点;
综上,在上的零点个数为3.
【点睛】(1)含参不等式恒成立问题,一般通过构造函数解决.
i. 一般将参数分离出来,用导数法讨论不含参数部分的最值;或者包含参数一起,用导数法对参数分类讨论.
ii. 当参数不能分离出来时,也可尝试将不等式左右变形成一致形式,即可将该形式构造成函数,通过导数法分析单调性,将问题等价成对应自变量的不等式.
(2)含参函数零点个数问题,
i. 一般对参数分类讨论,利用导数研究函数的单调性,结合函数图象与零点存在定理判断;
ii. 将参数分离出来,用导数法讨论不含参数部分的单调性,由数形结合,转化成两个图象交点的问题;
22.在直角坐标系 中,曲线的参数方程为 (t为参数),曲线的参数方程为 (为参数).
(1)以坐标原点为极点,x轴正半轴为极轴建立极坐标系,求曲线的极坐标方程与的普通方程;
(2)若 分别为曲线,曲线上的动点,求的最小值.
【答案】(1)的普通方程为,曲线的极坐标方程为.
(2).
【分析】(1)根据消参法可求得的普通方程,利用直角坐标与极坐标的转化公式可求得曲线的极坐标方程;
(2)设,求得其与点距离的表达式,利用导数求得其最小值,结合几何意义即可求得的最小值.
【详解】(1)由题意曲线的参数方程为 (t为参数)。
消去t可得,即的普通方程为;
曲线的参数方程为 (为参数),消去参数可得 ,
将 代入上式,
可得曲线的极坐标方程为;
(2)设,曲线表示圆,半径为1,圆心设为,
则 ,
令,则,
为时的递增函数,且,
当时,,递减,当时,,递增,
故,
则最小值为20,
即最小值为 ,分别为曲线上的动点,
所以的最小值为.
23.已知函数.
(1)若对,恒成立,求实数n的取值范围;
(2)若的最小值为4,且正数a,b,c满足a+2b+c=n,求的最小值.
【答案】(1)
(2)
【分析】(1)由绝对值三角不等式得,由题意知,即可得出的取值范围;
(2)由题意得,利用基本不等式求出的最小值,从而得出答案.
【详解】(1)由绝对值三角不等式得,当且仅当时等号成立,即,
由题意知,所以或,即或.
综上,的取值范围是.
(2)由(1)知,的最小值为,所以,解得或.
当时,,不符合题意,故舍去.
从而,即.
,当且仅当,即时等号成立,所以,
综上,的最小值为.
2023届甘肃省张掖市某重点校高三上学期12月月考数学(理)试题(解析版): 这是一份2023届甘肃省张掖市某重点校高三上学期12月月考数学(理)试题(解析版),共20页。试卷主要包含了单选题,填空题,解答题等内容,欢迎下载使用。
2023届甘肃省张掖市某重点校高三上学期12月月考数学(文)试题(解析版): 这是一份2023届甘肃省张掖市某重点校高三上学期12月月考数学(文)试题(解析版),共18页。试卷主要包含了单选题,填空题,解答题等内容,欢迎下载使用。
2023届甘肃省张掖市某重点校高三上学期12月月考数学(文)试题含解析: 这是一份2023届甘肃省张掖市某重点校高三上学期12月月考数学(文)试题含解析,共18页。试卷主要包含了单选题,填空题,解答题等内容,欢迎下载使用。

