青海省西宁市2021-2022学年高一上学期期末数学试题
展开西宁市2021-2022学年第一学期末调研测试卷高一数学
一、选择题
1. 设,,,若,则( ).
A. B. C. .0 D. 1
【答案】A
2. 下列在法则的作用下,从集合到集合的对应中,不是映射的个数是( )
A. 0 B. 1 C. 2 D. 3
【答案】D
3. 航海罗盘将圆周32等分,如图所示,则图中劣弧所对圆心角为( )
A. B. C. D.
【答案】B
4. 设,,则( ).
A. B. C. D.
【答案】A
5 若,,则等于( )
A. B. C. D.
【答案】D
6. 若,则角终边上一点的坐标可能是( )
A B. C. D.
【答案】C
7. 已知,,,则a,b,c的大小关系为( )
A. B.
C. D.
【答案】A
8. 已知,则的值为( ).
A 4 B. 3 C. D.
【答案】B
9. 已知点在幂函数的图象上,则函数在区间上的值域为( )
A. B. C. D.
【答案】D
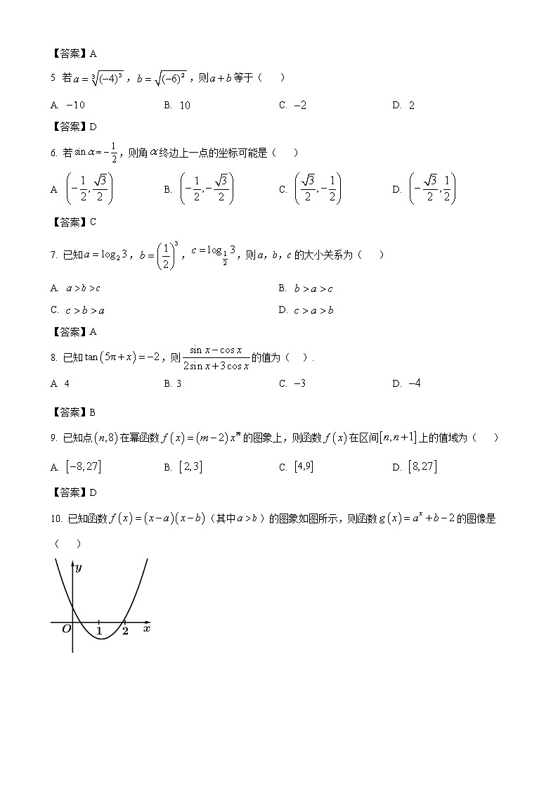
10. 已知函数(其中)的图象如图所示,则函数的图像是( )
A. B.
C. D.
【答案】D
11. 已知函数在上是减函数,则实数的取值范围为( )
A. B. C. D.
【答案】B
12. 已知函数,则下列说法正确的是( ).
A. 的图象上相邻两个最高点间的距离为
B. 的图象在区间上单调递减
C. 的图象关于直线成轴对称
D. 的图象向右平移个单位长度后,所得函数为偶函数
【答案】D
二、填空题
13. 函数定义域是_________.
【答案】.
14. 函数的最小正周期是________.
【答案】4
15. 函数的零点为___________.
【答案】
16. 已知函数的图象恒过定点A,若角终边经过点A,则_____.
【答案】##
三、解答题
17. 如图,已知圆O的半径r为10,弦AB的长为10.
(1)求弦AB所对的圆心角的大小;
(2)求圆心角所对应的弧长l及阴影部分的面积S.
【答案】(1)
(2);
18. 设函数.
(1)画出函数图象(画在答题卡上);
(2)结合图象,试讨论方程根的个数.
【答案】(1)见解析 (2)当时,无根;当或时,有2个根;当时,有3个根;当时,有4个根.
19. 已知向量与,其中.
(1)若,求和的值;
(2)若,求的值域.
【答案】(1),.
(2)
20. 已知集合,集合,
(1)若,求和;
(2)若,求实数的取值范围.
【答案】(1),
(2)
21. 函数(,,)的一段图象如图所示.
(1)求函数的解析式;
(2)将函数的图象向右平移个单位,得到的图象,求函数的单调递增区间.
【答案】(1);(2).
22. 已知函数是定义在上的奇函数,且.
(1)确定函数的解析式;
(2)用定义法证明在上是增函数;
(3)解关于x的不等式.
【答案】(1)
(2)证明见解析 (3)
青海省西宁市2022-2023学年高一上学期期末数学试题: 这是一份青海省西宁市2022-2023学年高一上学期期末数学试题,共13页。试卷主要包含了选择题,填空题,解答题等内容,欢迎下载使用。
青海省西宁市2022-2023学年高一上学期期末数学试题: 这是一份青海省西宁市2022-2023学年高一上学期期末数学试题,共13页。试卷主要包含了选择题,填空题,解答题等内容,欢迎下载使用。
青海省西宁市2022-2023学年高一上学期期末数学试题: 这是一份青海省西宁市2022-2023学年高一上学期期末数学试题,共13页。试卷主要包含了选择题,填空题,解答题等内容,欢迎下载使用。

