北师大版 (2019)必修 第一册第四章 对数运算和对数函数2 对数的运算2.2 换底公式图文课件ppt
展开换底公式
【学习目标】
1.通过对数换底公式的推导,提升逻辑推理素养。
2.通过用对数换底公式进行化简求值,培养数学运算素养。
【学习重难点】
1.能推导出对数的换底公式。(重点)
2.会用对数换底公式进行化简与求值。(难点、易混点)
【学习过程】
一、预习提问
思考:换底公式的作用是什么?
[提示] 换底公式的主要作用是把不同底的对数化为同底的对数,再运用对数的性质进行运算。
二、合作探究
利用换底公式化简求值 |
【例1】 计算:log1627log8132.
[思路探究] 在两个式子中,底数、真数都不相同,因而要用换底公式进行换底以便于计算求值。
[解] log1627log8132=·=·=·=。
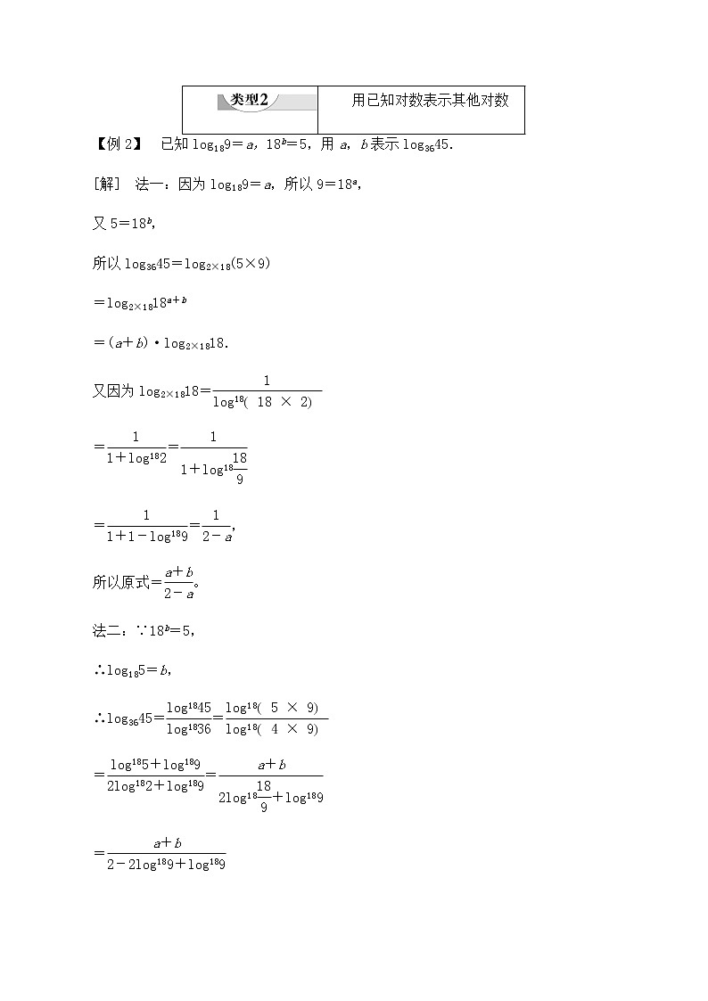
用已知对数表示其他对数 |
【例2】 已知log189=a,18b=5,用a,b表示log3645.
[解] 法一:因为log189=a,所以9=18a,
又5=18b,
所以log3645=log2×18(5×9)
=log2×1818a+b
=(a+b)·log2×1818.
又因为log2×1818=
==
==,
所以原式=。
法二:∵18b=5,
∴log185=b,
∴log3645==
==
=
=。
法三:∵log189=a,18b=5,
∴lg 9=alg 18,lg 5=blg 18,
∴log3645=
==
=。
对数的实际应用 |
[探究问题]
1.光线每通过一块玻璃板,其强度要损失10%,把几块这样的玻璃板重叠起来,设光线原来的强度为a,通过x块玻璃板以后的强度值为y。试写出y关于x的函数关系式。
提示:依题意得y=a=a,其中x≥1,x∈N。
2.探究1中的已知条件不变,求通过多少块玻璃以后,光线强度减弱到原来强度的以下?(根据需要取用数据lg 3≈0.477 1,lg 2≈0.301 0)
提示:依题意得ax≤a×⇒x≤
⇒x(2lg 3-1)≤-lg 2⇒x≥≈6.572,
∴xmin=7.
即通过7块以上(包括7块)的玻璃板后,光线强度减弱到原来强度的以下。
【例3】 某城市现有人口数为100万,如果年自然增长率为1.2%,试解答下面的问题。
(1)写出该城市x年后的人口总数y(万人)与年数x(年)的函数关系式;
(2)计算大约多少年以后,该城市人口将达到120万?(精确到1年)(lg 1.012≈0.005 2,lg 1.2≈0.079 2)
[思路探究] 先利用指数函数知识列出y与x的函数关系式,再利用对数求值。
[解] (1)由题意y=100(1+1.2%)x=100·1.012x(x∈N+)。
(2)由100·1.012x=120,得1.012x=1.2,
∴x=log1.0121.2=≈≈16,
故大约16年以后,该城市人口将达到120万。
【学习小结】
换底公式:logbN=(a,b>0,a,b≠1,N>0)。
特别地,logab·logba=1,logba=
【精炼反馈】
1.思考辨析
(1)logab==。( )
(2)log52=。( )
(3)loga b·logb c=loga C.( )
2.若lg 3=a,lg 5=b,则log53等于( )
A. B. C.ab D.ba
3.log332·log227=________。
4.一种放射性物质不断变化为其他物质,每经过一年剩留的质量是原来的84%,估计约经过多少年,该物质的剩留量是原来的一半。(结果保留1个有效数字)
【答案】
1.思考变形(1)√ (2)× (3)√
2.B [log5 3==。]
3.15 [log332·log227=·=·=15.]
4.[解] 设最初的质量是1,经过x年,剩留量是y,则y与x的关系式为y=0.84x。依题意得0.84x=0.5,化为对数式,得log0.840.5=x,由换底公式知x=,用科学计算器计算得x≈3.98,即约经过4年,该物质的剩留量是原来的一半。
北师大版 (2019)必修 第一册2.2 换底公式教学演示课件ppt: 这是一份北师大版 (2019)必修 第一册2.2 换底公式教学演示课件ppt,共43页。
北师大版 (2019)必修 第一册2.2 换底公式评优课课件ppt: 这是一份北师大版 (2019)必修 第一册2.2 换底公式评优课课件ppt,文件包含北师大版2019数学必修第一册422《换底公式》课件pptx、北师大版2019数学必修第一册422《换底公式》教案docx、北师大版2019数学必修第一册422《换底公式》学案docx等3份课件配套教学资源,其中PPT共28页, 欢迎下载使用。
高中数学北师大版 (2019)必修 第一册第四章 对数运算和对数函数2 对数的运算2.2 换底公式背景图ppt课件: 这是一份高中数学北师大版 (2019)必修 第一册第四章 对数运算和对数函数2 对数的运算2.2 换底公式背景图ppt课件,共26页。

