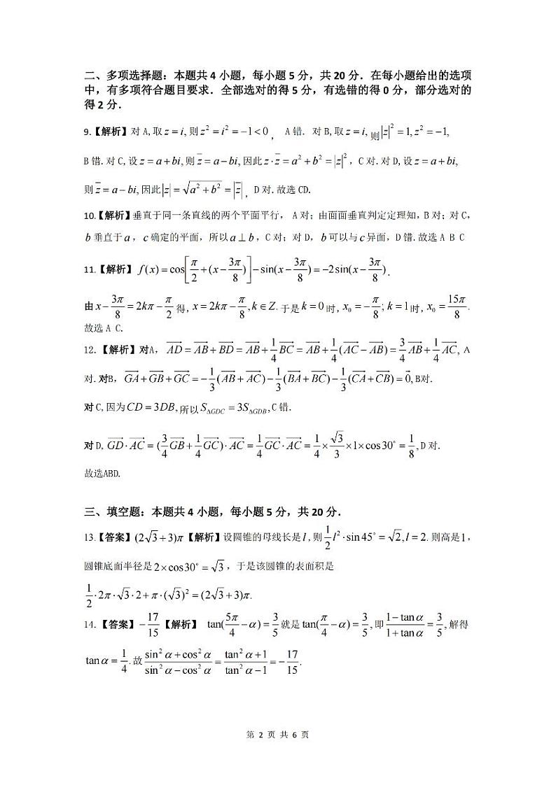
资料中包含下列文件,点击文件名可预览资料内容






还剩2页未读,
继续阅读
2021-2022学年江西省重点九江六校高一年级期末联考数学试题PDF版含答案
展开
这是一份2021-2022学年江西省重点九江六校高一年级期末联考数学试题PDF版含答案
相关试卷
2021-2022学年江西省重点九江六校高二年级期末联考数学理试题(PDF版 ):
这是一份2021-2022学年江西省重点九江六校高二年级期末联考数学理试题(PDF版 )
2021-2022学年江西省重点九江六校高二年级期末联考数学文试题(PDF版 ):
这是一份2021-2022学年江西省重点九江六校高二年级期末联考数学文试题(PDF版 )
2021-2022学年江西省重点九江六校高二年级期末联考数学文试题(PDF版 ):
这是一份2021-2022学年江西省重点九江六校高二年级期末联考数学文试题(PDF版 )