资料中包含下列文件,点击文件名可预览资料内容






还剩2页未读,
继续阅读
所属成套资源:2022重点九江六校高一年级期末联考(9科)及答案(九科)
成套系列资料,整套一键下载
2022重点九江六校高一年级期末联考数学试题(PDF版含答案、答题卡)
展开
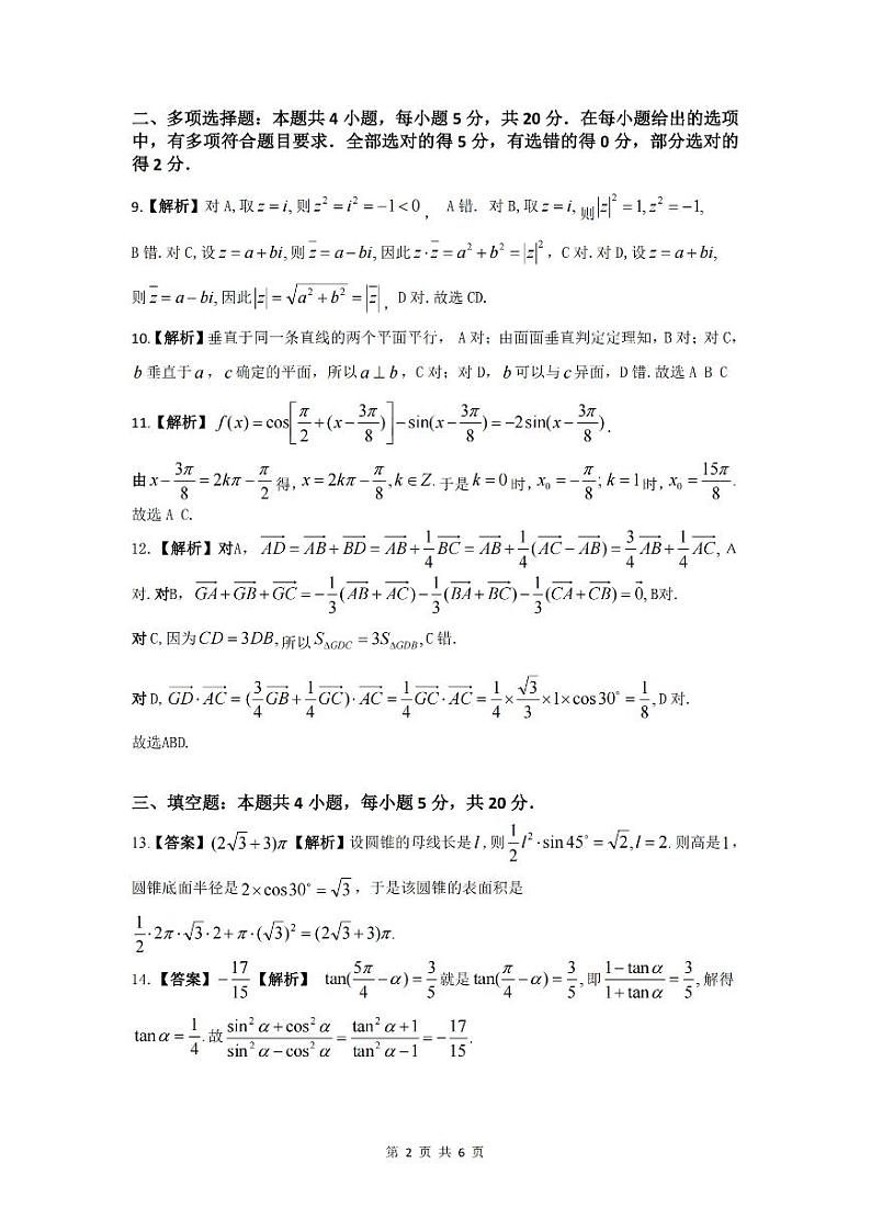
这是一份2022重点九江六校高一年级期末联考数学试题(PDF版含答案、答题卡),文件包含数学·江西高一期末参考答案pdf、2022九江六校高一期末数学试卷pdf、2022九江六校高一期末数学答题卡pdf等3份试卷配套教学资源,其中试卷共12页, 欢迎下载使用。
相关试卷
2023重点九江十校高三第一次联考文科数学试题PDF版含答案、答题卡:
这是一份2023重点九江十校高三第一次联考文科数学试题PDF版含答案、答题卡,文件包含文科数学答案·2023九江十校第一次联考pdf、文数试题·2023九江市十校联考pdf、文科数学答题卡·2023九江市十校联考pdf等3份试卷配套教学资源,其中试卷共13页, 欢迎下载使用。
2021-2022学年江西省重点九江六校高一年级期末联考数学试题PDF版含答案:
这是一份2021-2022学年江西省重点九江六校高一年级期末联考数学试题PDF版含答案
2021-2022学年江西省重点九江六校高二年级期末联考数学文试题(PDF版 ):
这是一份2021-2022学年江西省重点九江六校高二年级期末联考数学文试题(PDF版 )