人教B版高中数学必修第二册第6章章末综合提升课件+学案
展开(教师独具)
类型1 基底向量表示其它向量
一组不共线向量可以充当平面向量的基底,平面内的任一向量均可写成它的线性表达式,且表达式是唯一的.
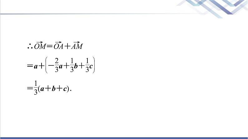
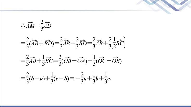
【例1】 如图,设△ABC的重心为M,O为平面上任一点,=a,=b,=c,试用a,b,c表示.
[解] 如图,连接AM并延长交BC于点D.
∵M是△ABC的重心,
∴D是BC的中点,且AM=AD.
∴=
=(+)=+=+
=+=(-)+(-)
=(b-a)+(c-b)=-a+b+c.
∴=+
=a+
=(a+b+c).
1.设e1,e2是不共线的非零向量,且a=e1-2e2,b=e1+3e2.
(1)证明:a,b可以作为一组基底;
(2)以a,b为基底,求向量c=3e1-e2的分解式;
(3)若4e1-3e2=λa+μb,求λ,μ的值.
[解] (1)证明:设a=λb(λ∈R),
则e1-2e2=λ(e1+3e2).
由e1,e2不共线得⇒
∴λ不存在,故a与b不共线,即可以作为一组基底.
(2)设c=ma+nb(m,n∈R),得
3e1-e2=m(e1-2e2)+n(e1+3e2)
=(m+n)e1+(-2m+3n)e2.
∴∴
∴c=2a+b.
(3)由4e1-3e2=λa+μb,得
4e1-3e2=λ(e1-2e2)+μ(e1+3e2)
=(λ+μ)e1+(-2λ+3μ)e2.
∴∴
故λ,μ的值分别为3和1.
类型2 平面向量的线性运算
1.向量线性运算的结果仍是一个向量,因此对它们的运算法则、运算律的理解和运用要注意大小、方向两个方面.
2.向量共线基本定理和平面向量基本定理是进行向量合成与分解的核心,是向量线性运算的关键所在,常应用它们解决平面几何中的共线问题、共点问题.
3.题型主要有证明三点共线、两线段平行、线段相等、求点或向量的坐标等.
【例2】 如图,在△ABC中,点M是AB边的中点,E是中线CM的中点,AE的延长线交BC于F,MH平行于AF且交BC于H.求证:==.
[思路探究] 选择两不共线向量作基底,然后用基底向量表示出,与即可证得.
[证明] 设=a,=b,
则=a+b,
=++
=-+2+2
=-a-b+2a+2b=a+b,
=+=+=-++
=-b++-=-b+a+2-
=-b+a+2b-b=a+b.
综上,得==.
2.如图,在直角梯形ABCD中,=,=2,且=r+s,则2r+3s=( )
A.1 B.2
C.3 D.4
C [法一:根据图形,由题意可得=+=+=+(++)=+(+)=+(+)=+.
因为=r+s,所以r=,s=,则2r+3s=1+2=3.
法二:因为=2,所以-=2(-),整理,得=+=+(+)=+,以下同法一.]
类型3 向量的坐标运算
1.向量的坐标表示实际上是向量的代数表示.引入向量的坐标表示后,向量的运算完全化为代数运算,实现数与形的统一.
2.向量的坐标运算是将几何问题代数化的有力工具,它是转化思想、函数与方程、分类讨论、数形结合等思想方法的具体体现.
3.通过向量坐标运算主要解决求向量的坐标、向量的模及平行问题.
【例3】 已知向量=(4,3),=(-3,-1),点A(-1,-2).
(1)求线段BD的中点M的坐标;
(2)若点P(2,y)满足=λ(λ∈R),求y与λ的值.
[思路探究] (1)先求B,D点的坐标,再求M点坐标;
(2)由向量相等转化为y与λ的方程求解.
[解] (1)设点B的坐标为(x1,y1).
∵=(4,3),A(-1,-2),∴(x1+1,y1+2)=(4,3),
∴∴
∴B(3,1).同理可得D(-4,-3).
设线段BD的中点M的坐标为(x2,y2),
则x2==-,y2==-1,∴M.
(2)由已知得=(3,1)-(2,y)=(1,1-y),
=(-4,-3)-(3,1)=(-7,-4).
又=λ,∴(1,1-y)=λ(-7,-4),
则∴
3.设向量=(k,12),=(4,5),=(10,k),求当k为何值时,A,B,C三点共线.
[解] 法一:若A,B,C三点共线,则,共线,则存在实数λ,使得=λ,
因为=-=(4-k,-7),
=-=(10-k,k-12),
所以(4-k,-7)=λ(10-k,k-12),
即解得k=-2或k=11.
所以当k=-2或11时,A,B,C三点共线.
法二:由题意得,共线,
因为=-=(4-k,-7),
=-=(10-k,k-12),
所以(4-k)(k-12)+7(10-k)=0,
即k2-9k-22=0,解得k=-2或k=11.
所以当k=-2或11时,A,B,C三点共线.
类型4 平面向量的应用
1.向量在平面几何中的应用,向量的加减运算遵循平行四边形法则或三角形法则,数乘运算和线段平行之间的联系,距离问题,因此用向量方法可以解决平面几何中的相关问题.
2.在物理中的应用,主要解决力向量、速度向量等问题.
【例4】 已知正方形ABCD,E,F分别是CD,AD的中点,BE,CF交于点P.求证:AP=AB.
[证明] 如图建立直角坐标系,其中A为原点,不妨设AB=2,则
A(0,0),B(2,0),C(2,2),E(1,2),F(0,1).
设P(x,y),则=(x,y-1),=(-2,-1),
∵∥,∴-x=-2(y-1),即x=2y-2,
同理由∥,得y=-2x+4,代入x=2y-2,
解得x=,∴y=,即P.
∴2=+=4=2,
∴||=||,即AP=AB.
4.在静水中划船速度的大小是每分钟40 m,水流速度的大小是每分钟20 m,如果一小船从岸边O处出发,沿着垂直于水流的航线到达对岸,则小船的行进方向应指向哪里?
[解] 如图所示,设向量的长度和方向表示水流速度的大小和方向,向量的长度和方向表示船在静水中速度的大小和方向,以,为邻边作平行四边形OACB,连接OC.
依题意OC⊥OA,BC=OA=20,OB=40,
∴∠BOC=30°.
故船应向上游(左)与河岸夹角为60°的方向行进.
(教师独具)
1.(2019·全国卷Ⅱ)已知向量a=(2,3),b=(3,2),则|a-b|=( )
A. B.2
C.5 D.50
A [∵a-b=(2,3)-(3,2)=(-1,1),
∴|a-b|==.故选A.]
2.(2020·新高考全国卷Ⅱ)若D为△ABC的边AB的中点,则=( )
A.2- B.2-
C.2+ D.2+
A [法一:因为D是AB的中点,所以=2 ,所以=+=+2 =+2(-)=2 -,故选A.
法二:因为D是AB的中点,所以=(+),即2 =+,所以=2 -,故选A.]
3.(2020·北京高考)已知正方形ABCD的边长为2,点P满足=(+),则||=________;·=________.
-1 [以A为坐标原点,AB,AD所在直线分别为x轴,y轴,建立如图所示的平面直角坐标系,则A(0,0),B(2,0),C(2,2),D(0,2),∴=(+)=(2,1),P(2,1),∴=(-2,1),=(0,-1),∴||=,·=(0,-1)·(-2,1)=-1.
]

