数学人教B版 (2019)8.2.2 两角和与差的正弦、正切教课内容课件ppt
展开8.2.2 两角和与差的正弦、正切
第1课时 两角和与差的正弦
学 习 任 务 | 核 心 素 养 |
1.能利用两角和与差的余弦公式及诱导公式导出两角差的正弦公式、两角和的正弦公式.(难点) 2.能利用公式解决简单的化简求值问题.(重点) | 1.通过两角和与差的正弦公式及辅助角公式的推导,培养学生逻辑推理的核心素养. 2.借助两角和与差的正弦公式、辅助角公式的应用,提升学生的逻辑推理和数学运算的核心素养. |
乔布斯描述苹果电脑是“思想的自行车”——一种能够使人们的思想达到想象中任何角落的工具,并且功能多样,他用类比介绍了这一引领信息时代的创新发明.我们一旦开始给予类比密切的关注,就会发现它在生活中随处可见,类比可以推动创新.
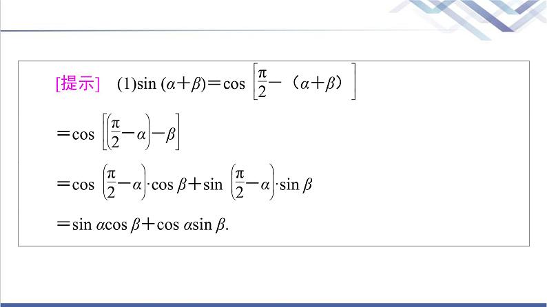
问题 (1)由诱导公式及两角和与差的余弦公式如何推导两角和的正弦公式?
(2)用类比的方法,由sin (α+β)能推导出sin (α-β)吗?
[提示] (1)sin (α+β)=cos
=cos
=cos ·cos β+sin ·sin β
=sin αcos β+cos αsin β.
(2)sin (α-β)=sin [α+(-β)]
=sin αcos (-β)+cos α·sin (-β)
=sin αcos β-cos αsin β.
知识点1 两角和与差的正弦公式
名称 | 简记符号 | 公式 | 使用条件 |
两角和 的正弦 | Sα+β | sin (α+β)=sin αcos β+cos αsin β | α,β∈R |
两角差 的正弦 | Sα-β | sin (α-β)=sin αcos β-cos αsin β | α,β∈R |
1.对照识记两角和与差的余弦公式的方法,你能总结一下识记两角和与差的正弦公式的方法吗?
[提示] 可简单记为“正余余正,符号同”,既展开后的两项分别为两角的正弦乘余弦、余弦乘正弦;展开前两角间的符号与展开后两项间的符号相同.
1.思考辨析(对的打“√”,错的打“×”)
(1)两角和与差的正弦、余弦公式中的角α,β是任意的. ( )
(2)存在α,β∈R,使得sin (α+β)=sin α+sin β成立. ( )
(3)sin 56°cos 26°-cos 56°sin 26°=sin 30°. ( )
[提示] (1)√.根据公式的推导过程可得.
(2)√.当α=30°时,β=0°时,sin (α+β)=sin α+sin β.
(3)√.因为sin 56°cos 26°-cos 56°sin 26°=sin (56°-26°)=sin 30°,故原式正确.
[答案] (1)√ (2)√ (3)√
2.cos 17°sin 13°+sin 17°cos 13°的值为( )
A. B.
C. D.以上都不对
A [原式=sin (13°+17°)=sin 30°=.]
知识点2 辅助角公式
a sin x+b cos x=·sin (x+φ)(或a sin x+b cos x=·cos (x-φ)),其中sin φ=,cos φ=(或cos φ=,sin φ=).
2.辅助角公式是如何推导出来的?
[提示] 推导过程:a sin x+b cos x=,
令cos φ=,sin φ=,
则a sin x+b cos x=(sin x cos φ+cos x sin φ)=sin (x+φ).
3.函数y=sin x-cos x的最小正周期是( )
A. B.π
C.2π D.4π
C [y=sin x-cos x==sin ,所以函数的最小正周期为T=2π.]
类型1 利用公式化简求值
【例1】 (1)=( )
A.- B.-
C. D.
(2)求sin 157°cos 67°+cos 23°sin 67°的值.
(3)求sin (θ+75°)+cos (θ+45°)-cos (θ+15°)的值.
[思路探究] (1)化简求值应注意公式的逆用.
(2)(3)对于非特殊角的三角函数式化简应转化为特殊角的三角函数值.
(1)C [
=
=
==sin 30°=.]
(2)[解] 原式=sin (180°-23°)cos 67°+cos 23°sin 67°
=sin 23°cos 67°+cos 23°sin 67°=sin (23°+67°)=sin 90°=1.
(3)[解] sin (θ+75°)+cos (θ+45°)-cos (θ+15°)
=sin (θ+15°+60°)+cos (θ+15°+30°)-cos (θ+15°)
=sin (θ+15°)cos 60°+cos (θ+15°)sin 60°+cos (θ+15°)·
cos 30°-sin (θ+15°)sin 30°-cos (θ+15°)
=sin (θ+15°)+cos (θ+15°)+cos (θ+15°)-sin (θ+15°)-cos (θ+15°)=0.
解决给角求值问题的策略
(1)对于非特殊角的三角函数式,要想利用两角和与差的正弦、余弦公式求出具体数值,一般有以下三种途径:
①化为特殊角的三角函数值;
②化为正负相消的项,消去,求值;
③化为分子、分母形式,进行约分再求值.
(2)在进行求值过程的变换中,一定要本着先整体后局部的基本原则,先整体分析三角函数式的特点,如果整体符合三角公式,则整体变形,否则进行各局部的变换.
[跟进训练]
1.化简下列各式:
(1)sin +2sin -cos ;
(2)-2cos (α+β).
[解] (1)原式=sin x cos +cos x sin +2sin x cos -2cos x sin -cos cos x-sin sin x=sin x+cos x+sin x-cos x+cos x-sin x
=sin x+cos x=0.
(2)原式=
=
=
=.
类型2 给值(式)求值
【例2】 设α∈,β∈,若cos α=-,sin β=-,求sin (α+β)的值.
[思路探究] 应用公式⇒注意角的范围⇒求出所给角的正弦值.
[解] 因为α∈,cos α=-,
所以sin α=,
因为β∈,sin β=-,
所以cos β=.
所以sin (α+β)=sin αcos β+cos αsin β
=×+×=.
1.(变条件)若将角β的条件改为第三象限,其他条件不变,则结果如何?
[解] 因为α∈,cos α=-,所以sin α=.
因为β为第三象限,所以cos β=-.
所以sin (α+β)=sin αcos β+cos αsin β=×+×=-+=0.
2.(变结论)若条件不变,试求sin (α-β)+cos (α-β)的值.
[解] 由例题解析得sin (α-β)+cos (α-β)=sin αcos β-cos αsin β+cos αcos β+sin αsin β=×-×+×+×=---=-1.
给值求值的解题策略
(1)在解决此类题目时,一定要注意已知角与所求角之间的关系,恰当地运用拆角、拼角技巧,同时分析角之间的关系,利用角的代换化异角为同角,具体做法是:
①当条件中有两角时,一般把“所求角”表示为已知两角的和或差;
②当条件中只有一个已知角时,可利用诱导公式把所求角转化为已知角.
(2)此类问题中,角的范围不容忽视,解题时往往需要根据三角函数值缩小角的范围.
类型3 辅助角公式的应用
【例3】 设函数f(x)=sin x+sin .
(1)求f(x)的最小值,并求使f(x)取得最小值的x的集合;
(2)不画图,说明函数y=f(x)的图像可由y=sin x的图像经过怎样的变化得到.
1.函数f(x)=sin x+cos x(x∈Z)的最大值为2对吗?为什么?
[提示] 不对.因为sin x+cos x
=
=
=sin ,
所以函数的最大值为.
2.函数f(x)=3sin x+4cos x的最大值等于多少?
[提示] 因为f(x)=3sin x+4cos x
=5,
令cos φ=,sin φ=,
则f(x)=5(sin x cos φ+cos x sin φ)=5sin (x+φ),
所以函数的最大值为5.
[解] (1)f(x)=sin x+sin x cos +cos x sin =sin x+sin x+cos x=sin x+cos x
==sin ,
当sin =-1时,f(x)min=-,
此时x+=+2kπ(k∈Z),所以x=+2kπ(k∈Z).
所以f(x)的最小值为-,取得最小值时x的集合为
.
(2)将y=sin x的图像上所有点的横坐标不变,纵坐标变为原来的倍,得y=sin x的图像;
然后将y=sin x的图像上所有的点向左平移个单位长度,得f(x)=sin 的图像.
辅助角公式a sin x+b cos x=·sin (x+φ)可以把含sin x,cos x的一次式化为A sin (ωx+φ)的形式,其中φ所在象限由点(a,b)决定,大小由tan φ=确定.研究形如f(x)=a sin x+b cos x的性质都要用到该公式.
[跟进训练]
2.求y=sin x-cos x的最小正周期、最值及单调递增区间.
[解] 原式=2
=2
=2sin .
所以此函数的最小正周期为2π,
ymax=2,ymin=-2.
令2kπ-≤x-≤2kπ+,k∈Z,
得2kπ-≤x≤2kπ+,k∈Z.
所以y=sin x-cos x的单调递增区间为
,k∈Z.
1.的值是( )
A. B.
C.1 D.
A [原式=
=
=
=
=.]
2.若cos α=-,α是第三象限角,则sin =( )
A.- B.
C.- D.
A [因为cos α=-,α为第三象限角,
所以sin α=-,由两角和的正弦公式得
sin =sin αcos +cos αsin
=×+×=-.]
3.函数f(x)=sin x-cos 的值域为( )
A.[-2,2] B.
C.[-1,1] D.
B [f(x)=sin x-cos =sin x-cos x+
sin x=sin x-cos x=sin ,
所以函数f(x)的值域为[-,].故选B.]
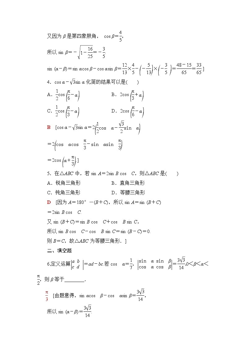
4.已知α为锐角,sin α=,β是第四象限角,cos (π+β)=-,则sin (α+β)=________.
0 [因为α为锐角,且sin α=,
所以cos α=.
又β为第四象限角,且cos (π+β)=-cos β=-,
所以cos β=,sin β=-.
所以sin (α+β)=×+×=0.]
回顾本节知识,自我完成以下问题:
1.两角和与差的正弦公式如何表示?有何结构特点?
[提示] sin (α±β)=sin αcos β±cos αsin β.
特点:(1)公式中的α,β均为任意角.
(2)两角和与差的正弦公式可以看成是诱导公式的推广,诱导公式可以看成是两角和与差的正弦公式的特例.
2.两角和与差的正弦、余弦公式有何内在联系?
[提示] 两角和与差的正弦、余弦公式的内在联系
数学人教B版 (2019)8.2.2 两角和与差的正弦、正切公开课ppt课件: 这是一份数学人教B版 (2019)8.2.2 两角和与差的正弦、正切公开课ppt课件,共46页。PPT课件主要包含了利用公式化简求值,给值式求值,点击右图进入等内容,欢迎下载使用。
高中数学人教B版 (2019)必修 第三册8.2.4 三角恒等变换的应用教学ppt课件: 这是一份高中数学人教B版 (2019)必修 第三册8.2.4 三角恒等变换的应用教学ppt课件
高中数学人教B版 (2019)必修 第三册8.2.2 两角和与差的正弦、正切课文配套课件ppt: 这是一份高中数学人教B版 (2019)必修 第三册8.2.2 两角和与差的正弦、正切课文配套课件ppt,文件包含人教B版高中数学必修第三册第8章82822第2课时两角和与差的正切课件ppt、人教B版高中数学必修第三册第8章82822第2课时两角和与差的正切学案doc、人教B版高中数学必修第三册课后素养落实19两角和与差的正切含答案doc等3份课件配套教学资源,其中PPT共48页, 欢迎下载使用。

