


还剩17页未读,
继续阅读
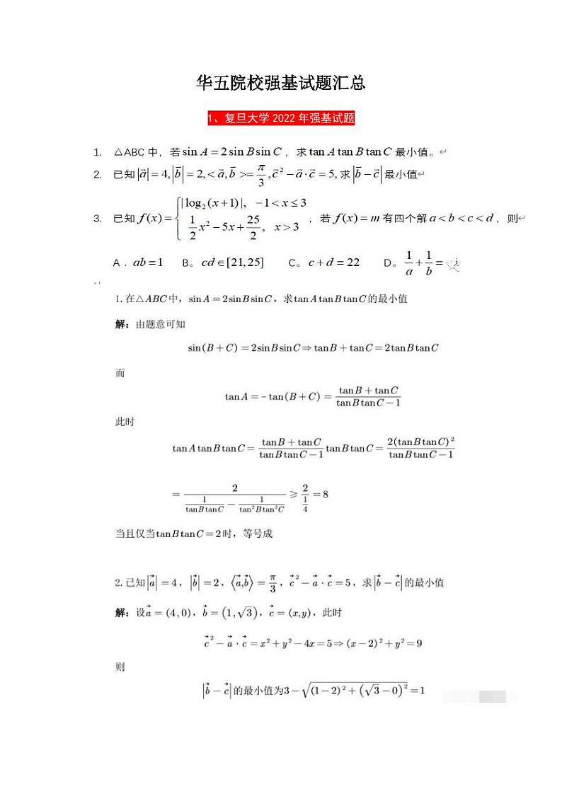
2022华五院校强基试题数学汇总
展开
这是一份2022华五院校强基试题数学汇总,共20页。
相关试卷
2022年山西省强基计划模拟试卷(五):
这是一份2022年山西省强基计划模拟试卷(五),共44页。试卷主要包含了选择题,填空题等内容,欢迎下载使用。
2022年清华大学强基计划笔试数学试题:
这是一份2022年清华大学强基计划笔试数学试题,共10页。试卷主要包含了已知,求的最大值和最小值分别为,,则所在的区间为等内容,欢迎下载使用。
2022年北京大学强基计划笔试数学试题:
这是一份2022年北京大学强基计划笔试数学试题,共11页。试卷主要包含了已知表示不超过x的整数,如,已知凸四边形ABCD满足,已知,当最小时,,在中,,则等内容,欢迎下载使用。