

2022年武汉大学强基计划数学试卷含详解
展开
这是一份2022年武汉大学强基计划数学试卷含详解,共5页。试卷主要包含了 设皆正数,且满足,证明, 设为椭圆, 已知函数等内容,欢迎下载使用。
2. 设为椭圆:左焦点,为椭圆上的一点
(1)作正方形(,,,按逆时针排列)当沿着椭圆运动一周,求动点轨迹方程.
(2)设为椭圆外一点,求取值范围.
3. 已知函数.若是区间上的单调增函数,求实数的取值范围.
4. 连续地随机掷1颗骰子,一直掷到6点出现3次为止.用表示停止时已经掷的次数.
(1)求分布列,;
(2)令,求数学期望.
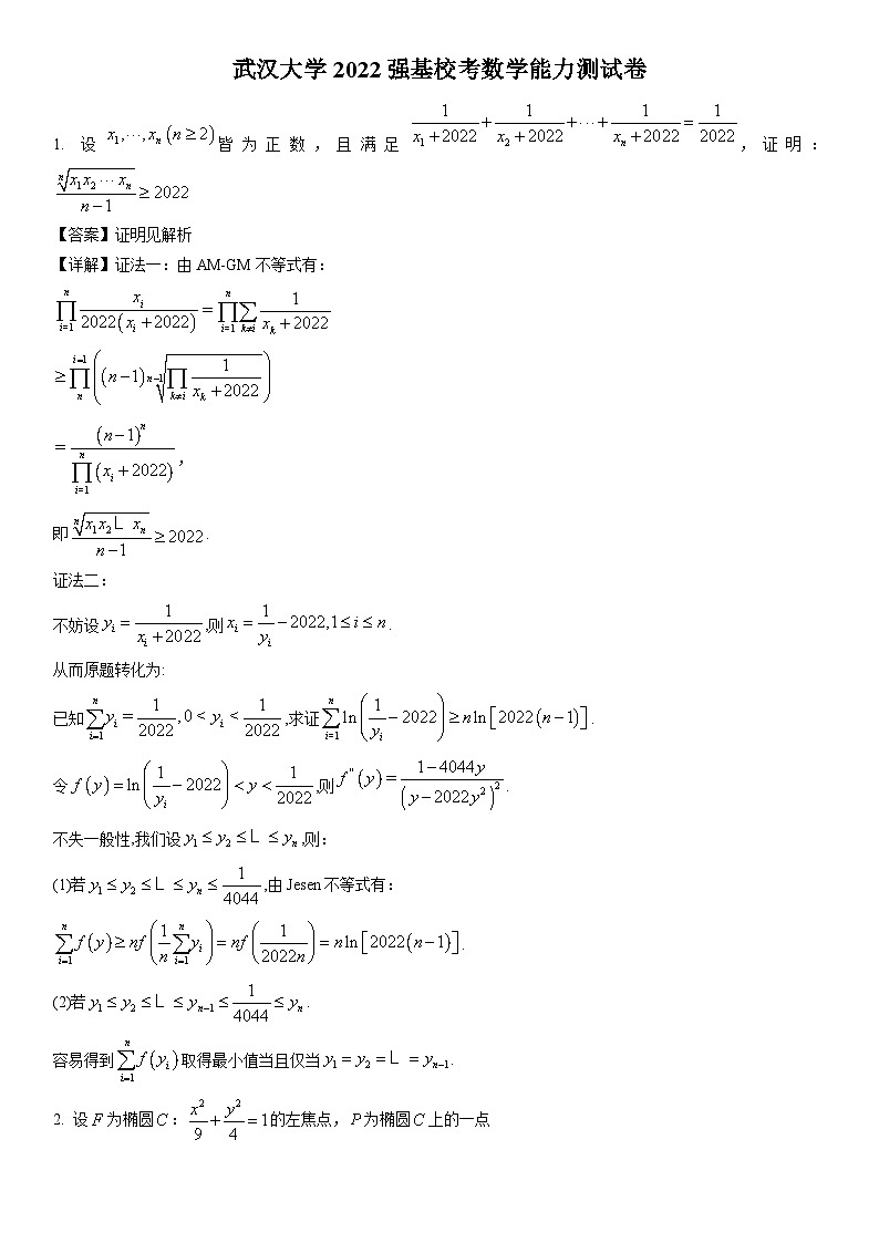
武汉大学2022强基校考数学能力测试卷
1. 设皆为正数,且满足,证明:
【答案】证明见解析
【详解】证法一:由AM-GM不等式有:
,
即.
证法二:
不妨设,则.
从而原题转化为:
已知,求证.
令,则.
不失一般性,我们设,则:
(1)若,由Jesen不等式有:
.
(2)若.
容易得到取得最小值当且仅当.
2. 设为椭圆:的左焦点,为椭圆上的一点
(1)作正方形(,,,按逆时针排列)当沿着椭圆运动一周,求动点的轨迹方程.
(2)设为椭圆外一点,求的取值范围.
【答案】(1).
(2)
【小问1详解】
如图所示,将椭圆绕其左焦点逆时针旋转,得到椭圆,
注意到在正方形中,点可以看成也是由点绕点逆时针旋转而形成的,
由于点在椭圆上运动,则点在椭圆上运动.
求的轨迹方程,也就是求椭圆的方程.
注意到椭圆的中心坐标为,
从而的方程为.
【小问2详解】
如图所示,,
当且仅当三点共线,即运动到位置时,等号成立.
记椭圆的右焦点为,
注意到,
显然有,
从而,
当且仅当三点共线,即运动到位置时,等号成立.
于是可得.
即的取值范围
3. 已知函数.若是区间上单调增函数,求实数的取值范围.
【答案】
【详解】由,
则,
又在区间上是单调递增,所以,
即在区间上恒成立.
如图所示,考虑过定点的直线和抛物线在上的两个临界位置:
当直线与抛物线相切于点时,
有(舍去负值).
当与拋物线相交于点时,
有
综上可得,实数取值范围是.
4. 连续地随机掷1颗骰子,一直掷到6点出现3次为止.用表示停止时已经掷的次数.
(1)求的分布列,;
(2)令,求数学期望.
【答案】(1)答案见解析.
(2).
【小问1详解】
显然当掷次才停止时,必有第次掷出的是6,前中有2次掷出次掷出的是其它数字.
所以.
由于,,,
故其分布列:
小问2详解】当时,有,
故.
当时,有,
故
于可得
X
3
4
相关试卷
这是一份2021年上海交通大学强基计划数学试卷,共8页。试卷主要包含了求边长为1的正五边形的对角线长,的值,求方程的实根个数等内容,欢迎下载使用。
这是一份2021年北京大学强基计划数学试卷,共38页。试卷主要包含了的组数为 等内容,欢迎下载使用。
这是一份2020年北京大学强基计划数学试卷,共38页。