




2022宝鸡金台区高二上学期期末考试文科数学含解析
展开2021-2022学年度第一学期期末检测题高二文科数学(选修1-1)
一、选择题:本大题共12个小题,每小题5分,共60分.在每小题给出的四个选项中,只有一项是符合题目要求的.
1. 若抛物线的准线方程是,则抛物线的标准方程是( )
A. B.
C. D.
2. 命题“对任何实数,都有”的否定形式是( )
A. ,使得
B. ,使得
C. ,使得
D ,使得
3. 命题“若,则”的逆命题、否命题、逆否命题中是真命题的个数为( )
A. 0个 B. 1个 C. 2个 D. 3个
4. 已知命题﹔命题﹐,则下列命题中为真命题的是( )
A. B. C. D.
5. 有关椭圆叙述错误的是( )
A. 长轴长等于4 B. 短轴长等于4
C. 离心率为 D. 取值范围是
6. 如果椭圆上一点到焦点的距离等于6,则线段的中点到坐标原点的距离等于( )
A. 7 B. 10 C. 12 D. 14
7. 如果双曲线的一条渐近线方程为,且经过点,则双曲线的标准方程是( )
A. B.
C. D.
8. 下列函数求导错误的是( )
A.
B.
C
D.
9. 抛物线的焦点到双曲线的渐近线的距离是( )
A. B. C. 1 D.
10. 过抛物线的焦点引斜率为1的直线,交抛物线于,两点,则( )
A. 4 B. 6 C. 8 D. 10
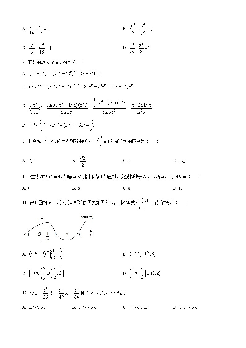
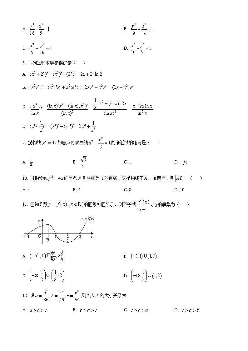
11. 已知函数的图象如图所示,则不等式的解集为( )
A. B.
C. D.
12. 设,,,则,,的大小关系为
A. B. C. D.
二、填空题:本大题共4小题,每小题5分,共20分.
13. 若椭圆的长轴是短轴的2倍,且经过点,则椭圆的离心率为________.
14. 函数单调递减区间是____
15. 已知方程,若此方程表示椭圆,则实数的取值范围是________;若此方程表示双曲线,则实数的取值范围是________.
16. 已知为椭圆C:的两个焦点,P,Q为C上关于坐标原点对称的两点,且,则四边形的面积为________.
三、解答题:本大题共4小题,共70分.解答应写出文字说明、证明过程或演算步骤.
17. (1)叙述正弦定理;
(2)在△中,应用正弦定理判断“”是“”成立的什么条件,并加以证明.
18. 要设计一种圆柱形、容积为500mL的一体化易拉罐金属包装,如何设计才能使得总成本最低?
19. 两个顶点、的坐标分别是、,边、所在直线的斜率之积等于,顶点的轨迹记为.
(1)求顶点的轨迹的方程;
(2)若过点作直线与轨迹相交于、两点,点恰为弦中点,求直线的方程;
(3)已知点为轨迹的下顶点,若动点在轨迹上,求的最大值.
20 已知,其中.
(1)若,求在处的切线方程;
(2)若是函数的极小值点,求函数在区间上的最值;
(3)讨论函数的单调性.
2024宝鸡金台区高二上学期期中考试数学含解析: 这是一份2024宝鸡金台区高二上学期期中考试数学含解析,共17页。试卷主要包含了11,圆与圆的公切线有,下列说中正确的是等内容,欢迎下载使用。
2021-2022学年陕西省宝鸡市金台区高二下学期期末考试文科数学试题含解析: 这是一份2021-2022学年陕西省宝鸡市金台区高二下学期期末考试文科数学试题含解析,文件包含陕西省宝鸡市金台区2021-2022学年高二下学期期末文科数学试题Word版含解析docx、陕西省宝鸡市金台区2021-2022学年高二下学期期末文科数学试题Word版无答案docx等2份试卷配套教学资源,其中试卷共24页, 欢迎下载使用。
2022宝鸡金台区高二下学期期末考试文科数学试题含解析: 这是一份2022宝鸡金台区高二下学期期末考试文科数学试题含解析,文件包含陕西省宝鸡市金台区2021-2022学年高二下学期期末文科数学试题含解析docx、陕西省宝鸡市金台区2021-2022学年高二下学期期末文科数学试题无答案docx等2份试卷配套教学资源,其中试卷共20页, 欢迎下载使用。