资料中包含下列文件,点击文件名可预览资料内容
还剩2页未读,
继续阅读
2021扬州中学高一上学期期中考试数学试题(可编辑)PDF版含答案
展开
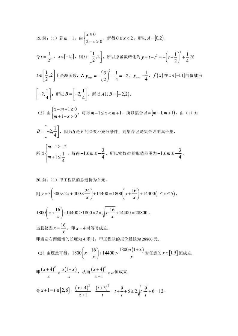
这是一份2021扬州中学高一上学期期中考试数学试题(可编辑)PDF版含答案,文件包含江苏省扬州中学2020-2021学年高一上学期期中考试数学答案pdf、江苏省扬州中学2020-2021学年高一上学期期中考试数学试题pdf等2份试卷配套教学资源,其中试卷共8页, 欢迎下载使用。
相关试卷
浙江省义乌市第三中学2020-2021学年高一上学期期中考试数学试题(PDF可编辑版) PDF版含答案:
这是一份浙江省义乌市第三中学2020-2021学年高一上学期期中考试数学试题(PDF可编辑版) PDF版含答案,共18页。
2020贺兰县景博中学高一上学期期中考试数学试题(可编辑)PDF版含答案:
这是一份2020贺兰县景博中学高一上学期期中考试数学试题(可编辑)PDF版含答案,文件包含数学答案pdf、数学试题pdf等2份试卷配套教学资源,其中试卷共5页, 欢迎下载使用。
2021省鹤岗一中高一上学期期中考试数学试题(可编辑)PDF版含答案:
这是一份2021省鹤岗一中高一上学期期中考试数学试题(可编辑)PDF版含答案,文件包含黑龙江省鹤岗市第一中学2020-2021学年高一上学期期中考试数学答案pdf、黑龙江省鹤岗市第一中学2020-2021学年高一上学期期中考试数学试题pdf等2份试卷配套教学资源,其中试卷共4页, 欢迎下载使用。

