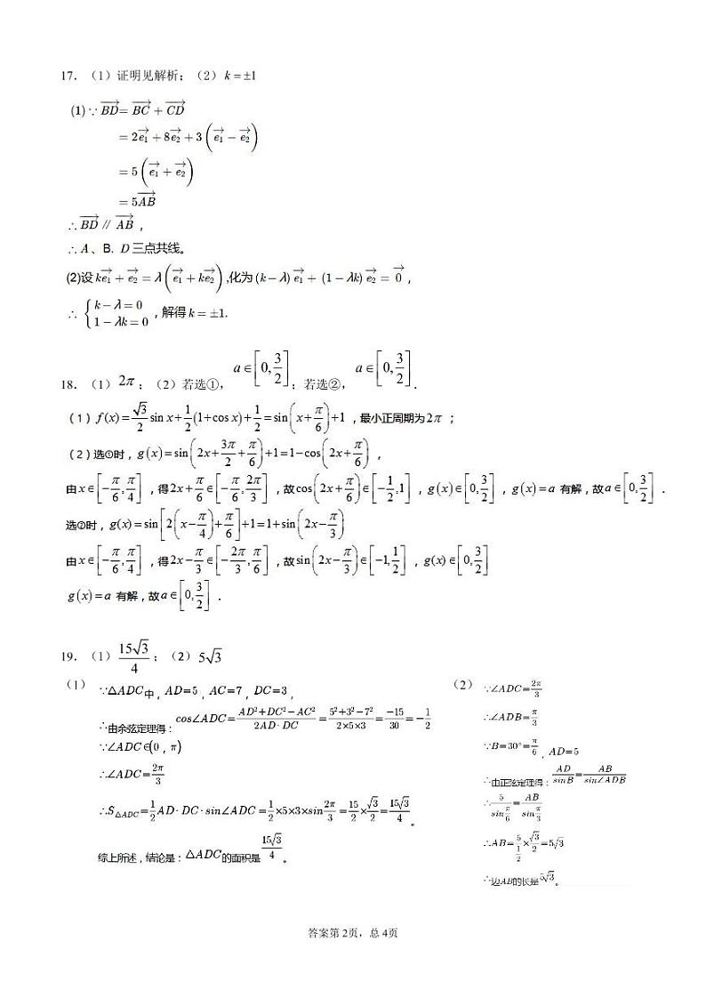
资料中包含下列文件,点击文件名可预览资料内容




还剩2页未读,
继续阅读
2021江苏省马坝高级中学高三上学期期中考试数学试题(可编辑)PDF版含答案
展开
这是一份2021江苏省马坝高级中学高三上学期期中考试数学试题(可编辑)PDF版含答案
相关试卷
2024届江苏省淮安市盱眙县马坝高级中学高三上学期期中数学试题含答案:
这是一份2024届江苏省淮安市盱眙县马坝高级中学高三上学期期中数学试题含答案,共16页。试卷主要包含了单选题,多选题,填空题,解答题等内容,欢迎下载使用。
江苏省马坝高级中学2021届高三上学期期中考试数学试题(可编辑) PDF版含答案(1):
这是一份江苏省马坝高级中学2021届高三上学期期中考试数学试题(可编辑) PDF版含答案(1),文件包含江苏省马坝高级中学2021届高三上学期期中考试数学参考答案pdf、江苏省马坝高级中学2021届高三上学期期中考试数学试题pdf等2份试卷配套教学资源,其中试卷共8页, 欢迎下载使用。
2023届江苏省淮安市马坝高级中学高三上学期9月质量检测数学试题含解析:
这是一份2023届江苏省淮安市马坝高级中学高三上学期9月质量检测数学试题含解析,共18页。试卷主要包含了单选题,多选题,填空题,双空题,解答题等内容,欢迎下载使用。
