所属成套资源:全套人教A版高考数学一轮总复习课时习题课件
人教A版高考数学一轮总复习课时质量评价29平面向量基本定理及坐标表示习题课件
展开
这是一份人教A版高考数学一轮总复习课时质量评价29平面向量基本定理及坐标表示习题课件,共43页。PPT课件主要包含了A组全考点巩固练,B组新高考培优练等内容,欢迎下载使用。
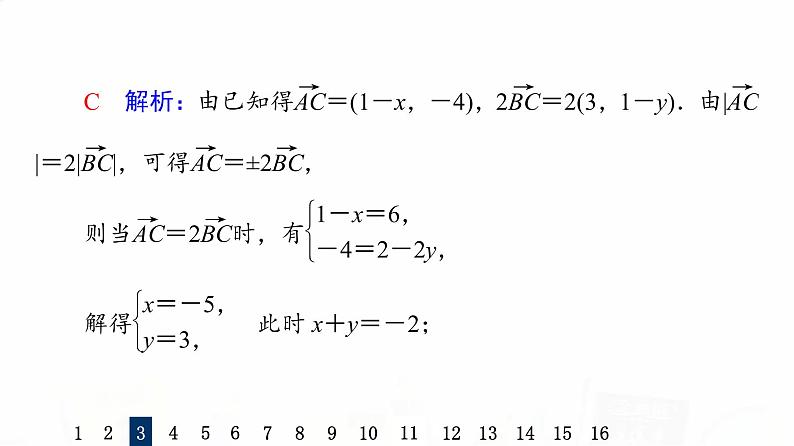
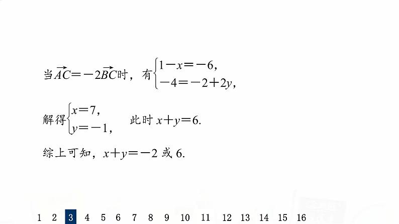
课时质量评价(二十九) 平面向量基本定理及坐标表示(建议用时:45分钟)01A组 全考点巩固练1352468791011121314151613524687910111213141516135246879101112131415161352468791011121314151613524687910111213141516135246879101112131415161352468791011121314151613524687910111213141516135246879101112131415161352468791011121314151613524687910111213141516135246879101112131415161352468791011121314151613524687910111213141516135246879101112131415161352468791011121314151613524687910111213141516135246879101112131415161352468791011121314151613524687910111213141516135246879101112131415161352468791011121314151602B组 新高考培优练1352468791011121314151613524687910111213141516135246879101112131415161352468791011121314151613524687910111213141516135246879101112131415161352468791011121314151613524687910111213141516135246879101112131415161352468791011121314151613524687910111213141516135246879101112131415161352468791011121314151613524687910111213141516135246879101112131415161352468791011121314151613524687910111213141516谢谢观看 THANK YOU!
相关课件
这是一份人教A版高考数学一轮总复习第5章第2节平面向量基本定理及坐标表示教学课件,共51页。
这是一份人教A版高考数学一轮总复习课时质量评价6函数及其表示习题课件,共25页。PPT课件主要包含了A组全考点巩固练,B组新高考培优练等内容,欢迎下载使用。
这是一份人教B版高考数学一轮总复习33平面向量基本定理及坐标表示习题课件,共35页。PPT课件主要包含了A组全考点巩固练,B组新高考培优练等内容,欢迎下载使用。

