所属成套资源:全套人教A版高考数学一轮总复习课时习题课件
人教A版高考数学一轮总复习课时质量评价32数列的概念与简单表示法习题课件
展开
这是一份人教A版高考数学一轮总复习课时质量评价32数列的概念与简单表示法习题课件,共31页。PPT课件主要包含了A组全考点巩固练,B组新高考培优练等内容,欢迎下载使用。
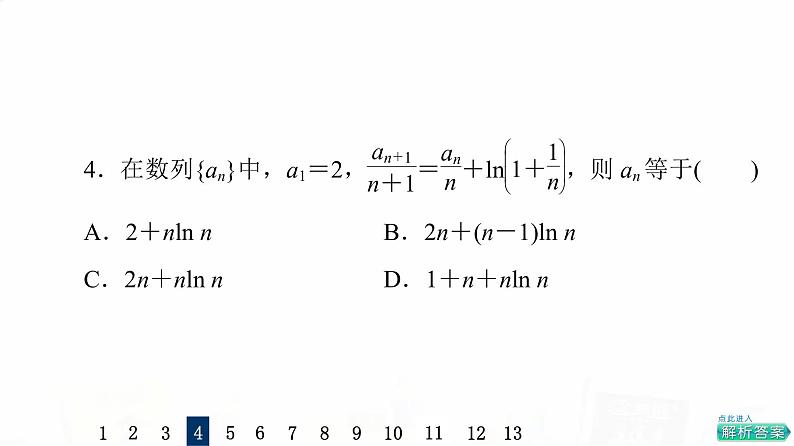
课时质量评价(三十二) 数列的概念与简单表示法(建议用时:45分钟)01A组 全考点巩固练13524687910111213135246879101112131352468791011121313524687910111213135246879101112131352468791011121313524687910111213135246879101112131352468791011121313524687910111213135246879101112131352468791011121313524687910111213135246879101112131352468791011121302B组 新高考培优练135246879101112131352468791011121313524687910111213135246879101112131352468791011121313524687910111213135246879101112131352468791011121313524687910111213135246879101112131352468791011121313524687910111213谢谢观看 THANK YOU!
相关课件
这是一份人教A版高考数学一轮总复习课时质量评价49抛物线习题课件,共44页。PPT课件主要包含了A组全考点巩固练,B组新高考培优练等内容,欢迎下载使用。
这是一份人教A版高考数学一轮总复习课时质量评价48双曲线习题课件,共48页。PPT课件主要包含了A组全考点巩固练,B组新高考培优练等内容,欢迎下载使用。
这是一份人教A版高考数学一轮总复习课时质量评价47椭圆习题课件,共41页。PPT课件主要包含了A组全考点巩固练,B组新高考培优练等内容,欢迎下载使用。

