







所属成套资源:【最新版】 新教材人教B版步步高选择性必修一【同步学案+同步课件】
高中数学人教B版 (2019)选择性必修 第一册2.7.1 抛物线的标准方程习题ppt课件
展开
这是一份高中数学人教B版 (2019)选择性必修 第一册2.7.1 抛物线的标准方程习题ppt课件,共60页。PPT课件主要包含了反思感悟,随堂演练,=2p2=16,课时对点练,±200100等内容,欢迎下载使用。
1.抛物线焦点弦的推导.
2.利用抛物线焦点弦求解弦长问题.
x1x2= ,y1y2=-p2的应用
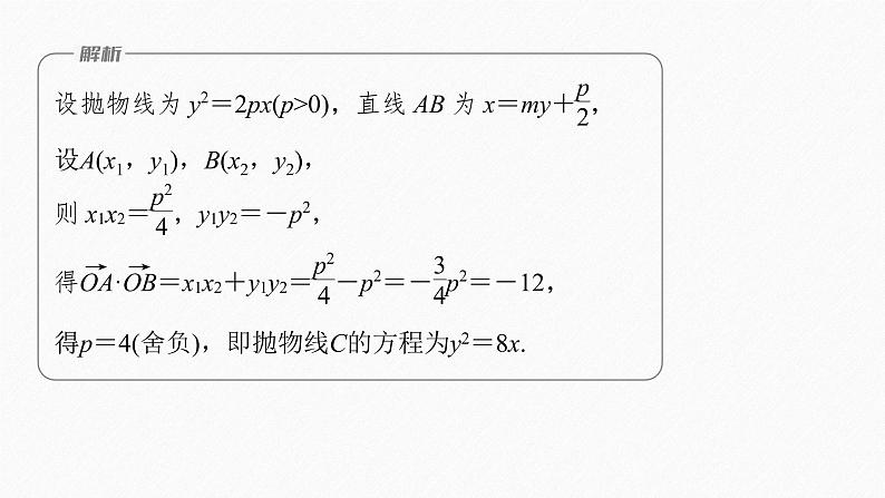
已知抛物线C的顶点是原点O,焦点F在x轴的正半轴上,经过点F的直线与抛物线C交于A,B两点,若 =-12,则抛物线C的方程为A.x2=8y B.x2=4yC.y2=8x D.y2=4x
设A(x1,y1),B(x2,y2),
得p=4(舍负),即抛物线C的方程为y2=8x.
通过抛物线的特殊性质,脱离于传统的联立方程组求解,较为迅速的得到结果.
过抛物线y2=2px(p>0)的焦点作一条直线交抛物线于点A(x1,y1),B(x2,y2),则 =______.
将直线AB的方程与抛物线的方程联立,
消去x得y2-2mpy-p2=0,由根与系数的关系得y1y2=-p2.由于点A,B均在抛物线上,
|AB|=x1+x2+p= 的应用
抛物线的顶点在原点,以x轴为对称轴,经过焦点且倾斜角为135°的直线被抛物线所截得的弦长为8,试求抛物线的方程.
依题意可设抛物线的方程为y2=2px(p>0),
设直线交抛物线于A(x1,y1),B(x2,y2)两点,
故所求的抛物线方程为y2=4x.当抛物线方程设为y2=-2px(p>0)时,同理可求得抛物线方程为y2=-4x.综上,抛物线方程为y2=±4x.
利用|AB|=x1+x2+p= (α是直线AB的倾斜角,α≠0°)求解焦点弦的长度问题.
经过抛物线C:y2=2px(p>0)的焦点F,倾斜角为30°的直线l与C交于A,B两点,若线段AB的中点M的横坐标为7,那么p=_____.
设A(x1,y1),B(x2,y2),∵AB的中点M的横坐标为7,∴x1+x2=14,
为定值的应用
过抛物线y2=4x的焦点F的直线l与抛物线交于A,B两点,若|AF|=2|BF|,则|AB|等于
将求弦长问题通过焦半径与p之间的关系,转化为焦半径问题.
如图,过抛物线y2=2px(p>0)的焦点F的直线交抛物线于点A,B,交其准线l于点C,若F是AC的中点,且|AF|=4,则线段AB的长为
如图,过点A作AD⊥l于点D,
以过焦点的弦AB为直径的圆与准线相切的应用
求证:以抛物线的焦点弦为直径的圆必与抛物线的准线相切.
如图,作AA′⊥l于点A′,BB′⊥l于点B′,M为AB的中点,作MM′⊥l于点M′,则由抛物线定义可知|AA′|=|AF|,|BB′|=|BF|,在直角梯形BB′A′A中,
即|MM′|等于以AB为直径的圆的半径.故以AB为直径的圆与抛物线的准线相切.
把焦点三角形的外接圆转化为以弦AB为直径的圆与准线相切,进行问题的求解.
抛物线y2=2px(p>0)的焦点为F,M为抛物线上一点.若△OFM的外接圆与抛物线的准线相切(O为坐标原点),且外接圆的面积为9π,则p等于A.2 B.4 C.6 D.8
∵△OFM的外接圆与抛物线的准线相切,∴△OFM的外接圆的圆心到准线的距离等于圆的半径.∵外接圆的面积为9π,∴外接圆的半径为3.
1.知识清单:抛物线焦点弦性质的应用.2.方法归纳:转化法.3.常见误区:对焦点弦的性质记忆混淆,导致出错.
由题意可得抛物线的标准形式为x2=8y,所以准线方程为y=-2,
所以弦长|AB|=5+4=9.
2.已知过抛物线y2=2px(p>0)的焦点F且斜率为1的直线交抛物线于A,B两点,|AF|·|BF|=16,则p的值为
由题意知抛物线y2=8x的焦点为F(2,0),p=4,设A,B两点坐标分别为A(x1,y1),B(x2,y2),
3.过抛物线y2=8x的焦点作直线l交抛物线于A,B两点,若线段AB的中点的横坐标为3,则|AB|=________.
∴x1+x2=6,抛物线的焦点弦|AB|=x1+x2+p=10.
4.过抛物线y2=4x的焦点作直线交抛物线于P(x1,y1),Q(x2,y2)两点,若x1+x2=6,则PQ中点M到抛物线准线的距离为________.
由抛物线的方程y2=4x,可得p=2,故它的焦点F(1,0),准线方程为x=-1.
方法一 抛物线的焦点F(1,0),准线方程为x=-1,设A(x,y),则|AF|=x+1=3,故x=2,
如图所示,设线段AB的中点为P(x0,y0),分别过A,P,B三点作准线l的垂线,垂足分别为A′,Q,B′,
4.已知F为抛物线C:y2=6x的焦点,过点F的直线l与C相交于A,B两点,且|AF|=3|BF|,则|AB|等于A.6 B.8 C.10 D.12
∵|AF|=3|BF|,且p=3,
∴|BF|=2,|AF|=6,∴|AB|=|AF|+|BF|=8.
5.(多选)已知抛物线y2=3x的焦点为F,过点F的直线l交抛物线C于A,B两点,其中点A在第一象限,若弦AB的长为4,则直线l的倾斜角为A.30° B.60° C.120° D.150°
6.(多选)已知A,B两点均在焦点为F的抛物线y2=2px(p>0)上,若|AF|+|BF|=4,线段AB的中点到直线x= 的距离为1,则p的值为A.1 B.2 C.3 D.6
7.过抛物线y2=4x的焦点作直线交抛物线于A(x1,y1),B(x2,y2)两点,若|AB|=7,则AB的中点M到抛物线准线的距离为_____.
抛物线的焦点为(1,0),准线方程为x=-1,p=2.
即x1+x2+p=7,故x1+x2=5.
8.过抛物线y2=2x的焦点F的直线交抛物线于A,B两点,若|AB|= ,|AF|0)的焦点为F,若过点F且斜率为1的直线与抛物线相交于M,N两点,且|MN|=8.(1)求抛物线C的方程;
设M(x1,y1),N(x2,y2),则有x1+x2=3p.∵|MN|=8,∴x1+x2+p=8,即3p+p=8,解得p=2,∴抛物线C的方程为y2=4x.
(2)设直线l为抛物线C的切线,且l∥MN,P为l上一点,求 的最小值.
设直线l的方程为y=x+b,代入y2=4x,得x2+(2b-4)x+b2=0.∵直线l为抛物线C的切线,∴Δ=0,解得b=1.∴直线l的方程为y=x+1.由(1)可知x1+x2=6,x1x2=1.设P(m,m+1),
=x1x2-m(x1+x2)+m2+y1y2-(m+1)·(y1+y2)+(m+1)2.∵x1+x2=6,x1x2=1,∴(y1y2)2=16x1x2=16,y1y2=-4.
相关课件
这是一份高中数学人教B版 (2019)选择性必修 第一册2.3.1 圆的标准方程习题ppt课件,共60页。PPT课件主要包含了与距离有关的最值问题,d-r,d+r,反思感悟,与面积有关的最值问题,随堂演练,课时对点练等内容,欢迎下载使用。
这是一份高中数学人教B版 (2019)选择性必修 第一册2.6.1 双曲线的标准方程习题课件ppt,共60页。PPT课件主要包含了知识梳理,反思感悟,x-3y-4=0,x+y-8=0,过定点的直线系方程,随堂演练,x+y-4=0,课时对点练,x-y-2=0,x-2y+7=0等内容,欢迎下载使用。
这是一份高中数学人教B版 (2019)选择性必修 第一册2.6.1 双曲线的标准方程习题ppt课件,共60页。PPT课件主要包含了双曲线定义的应用,反思感悟,双曲线方程的设法,双曲线在生活中的应用,随堂演练,课时对点练等内容,欢迎下载使用。