所属成套资源:【最新版】新教材人教B版必修二学习笔记【学案+同步课件】
新教材人教B版步步高学习笔记【同步课件】第四章 章末复习课
展开
这是一份新教材人教B版步步高学习笔记【同步课件】第四章 章末复习课,共33页。
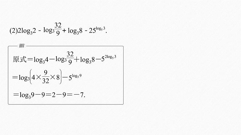
章末复习课第四章 指数函数、对数函数与幂函数知识网络一、指数、对数运算二、函数图像的应用三、比较大小四、函数的综合性质的应用内容索引指数、对数运算 一1.指数、对数的运算主要考查对数与指数的互化,对数、指数的运算法则以及换底公式等,会利用运算法则进行化简、计算、证明等.2.掌握基本运算法则,重点提升数学运算素养.  计算:(1)      ÷ ;原式==2-1×103× =2-1× = .(2)2log32- +log38- .原式=log34- +log38-=log39-9=2-9=-7.反思感悟指数、对数的运算应遵循的原则(1)指数式的运算首先注意化简顺序,一般负指数先转化成正指数,根式化为分数指数幂运算,其次若出现分式,则要注意分子、分母因式分解以达到约分的目的.(2)对数运算首先注意公式应用过程中范围的变化,前后要等价,熟练地运用对数的三个运算法则,其次对数恒等式、换底公式是对数计算、化简、证明常用的技巧.   (1)计算:80.25× +log32×log2(log327)的值为____.∵log32×log2(log327)=log32×log23111∴原式= +22×33+1=21+4×27+1=111.(2)已知2x=3, =y,则x+2y的值为________.3函数图像的应用 二1.指数函数、对数函数的图像及应用有两个方面:一是已知函数解析式求作函数图像,即“知式求图”;二是判断方程的根的个数时,通常不具体解方程,而是转化为判断指数函数、对数函数等图像的交点个数问题.2.掌握指数函数、对数函数图像的作法以及简单的图像平移、翻折等变换,提升直观想象和逻辑推理素养.  (1)已知f(x)是函数y=log2x的反函数,则y=f(1-x)的图像是√函数y=log2x的反函数为y=2x,故f(x)=2x,于是f(1-x)=21-x= ,此函数在R上为减函数,其图像过点(0,2),所以选项C中的图像符合要求.(2)当x∈(1,2)时,不等式(x-1)2

