北师大版 (2019)选择性必修 第一册2.1 圆的标准方程教学演示免费课件ppt
展开第2课时 椭圆的标准方程的综合问题
第二章 1.1 椭圆及其标准方程
学习目标
1.进一步熟悉椭圆的定义,并能运用其解决一些相关的问题.
2.理解点与椭圆的位置关系.
内容索引
椭圆方程的设法
一
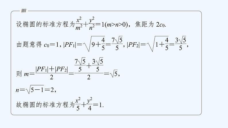
求满足下列条件的椭圆的标准方程:(1)以点F1(-1,0),F2(1,0)为焦点,经过点P .
解得k=5(k=21舍去),
设所求椭圆方程为mx2+ny2=1(m>0,n>0,m≠n),
求椭圆标准方程的方法(1)定义法:根据椭圆定义,确定a2,b2的值,结合焦点位置写出椭圆方程.(2)待定系数法:先判断焦点位置,设出标准方程形式,最后由条件确定待定系数即可.即“先定位,后定量”.
反思感悟
反思感悟
(3)当已知椭圆经过两点,求椭圆的标准方程时,把椭圆的方程设成mx2+ny2=1(m>0,n>0且m≠n)的形式有两个优点:①列出的方程组中分母不含字母;②不用讨论焦点所在的位置,从而简化求解过程.
求适合下列条件的椭圆的标准方程:
设所求的椭圆方程为mx2+ny2=1(m>0,n>0,m≠n).
椭圆定义的应用
二
已知P为椭圆 =1上一点,F1,F2是椭圆的左、右焦点,∠F1PF2=60°,求△F1PF2的面积.
从而|F1F2|=2c=6,在△F1PF2中,|F1F2|2=|PF1|2+|PF2|2-2|PF1|·|PF2|·cos 60°,即36=|PF1|2+|PF2|2-|PF1|·|PF2|. ①
即48=|PF1|2+|PF2|2+2|PF1|·|PF2|. ②由①②得|PF1|·|PF2|=4.
延伸探究 若将本例中“∠F1PF2=60°”变为“∠PF1F2=90°”,求△F1PF2的面积.
从而|F1F2|=2c=6.在△F1PF2中,由勾股定理可得|PF2|2=|PF1|2+|F1F2|2,即|PF2|2=|PF1|2+36,
椭圆定义的应用技巧(1)涉及椭圆上的点到焦点的距离问题时,利用椭圆的定义进行转化.(2)椭圆上一点P与椭圆的两个焦点F1,F2构成的△PF1F2称为焦点三角形,可以利用椭圆的定义,结合正弦定理、余弦定理、三角形的面积公式等知识求解.
反思感悟
设P为椭圆C: =1上一点,F1,F2分别是椭圆C的左、右焦点,且△PF1F2的重心为点G,若|PF1|∶|PF2|=3∶4,那么△GPF1的面积为A.24 B.12 C.8 D.6
√
|PF1|∶|PF2|=3∶4,|PF1|+|PF2|=2a=14,∴|PF1|=6,|PF2|=8.
∴易知△PF1F2是直角三角形,
∵△PF1F2的重心为点G,
∴△GPF1的面积为8.
点与椭圆的位置关系
三
已知直线mx+ny-5=0与圆x2+y2=5没有公共点,则点P(m,n)与椭圆 =1的位置关系是A.在椭圆内 B.在椭圆外C.在椭圆上 D.不确定
√
∵直线mx+ny-5=0与圆x2+y2=5没有共公点,
∴m2<5,n2<5.
∴点P(m,n)在椭圆内部.
反思感悟
点与椭圆的位置关系的判断(1)根据椭圆的定义判断点P(x0,y0)与椭圆的位置关系如下:|PF1|+|PF2|<2a⇔点P在椭圆内部;|PF1|+|PF2|=2a⇔点P在椭圆上;|PF1|+|PF2|>2a⇔点P在椭圆外部.
反思感悟
(2)对于点P(x0,y0)与椭圆的位置关系,有如下结论:
若点P(0,1)在焦点在x轴上的椭圆 =1内部,则m的取值范围是_______.
(1,5)
∴m>1,又椭圆的焦点在x轴上,∴m<5,故m的取值范围是(1,5).
课堂小结
1.知识清单: (1)椭圆方程的设法. (2)椭圆定义的应用. (3)点与椭圆的位置关系.2.方法归纳:转化与归纳.3.常见误区:求参数范围时,忽视焦点所在的坐标轴而致错.
随堂演练
1
2
3
4
√
1
2
3
4
且10>2+2,由椭圆的定义可得,动点M的轨迹是椭圆,且2a=10,c=2,所以b2=a2-c2=52-22=21.
1
2
3
4
2.设P为椭圆 =1上的任意一点,F1,F2为其上、下焦点,则|PF1|·|PF2|的最大值是A.4 B.6 C.9 D.12
√
当且仅当|PF1|=|PF2|时取等号.
1
2
3
4
3.点P(1,m)在椭圆 +y2=1内,则m的取值范围是______________.
1
2
3
4
4
1
2
3
4
因为|PF1|+|PF2|=2a=6且|PF1|∶|PF2|=2∶1,所以|PF1|=4,|PF2|=2,所以|PF1|2+|PF2|2=|F1F2|2,所以△PF1F2是直角三角形,
课时对点练
1
2
3
4
5
6
7
8
9
10
11
12
13
14
15
16
由椭圆方程可得a2=25,所以2a=10,由椭圆定义可得点M到另一焦点的距离等于6.
1.已知椭圆 =1上一点M到椭圆的一个焦点的距离等于4,那么点M到另一个焦点的距离等于A.1 B.3 C.6 D.10
√
1
2
3
4
5
6
7
8
9
10
11
12
13
14
15
16
2.已知椭圆C: =1,点A(1,1),则点A与椭圆C的位置关系是A.点在椭圆上 B.点在椭圆内C.点在椭圆外 D.无法判断
√
所以点A在椭圆C内部.
1
2
3
4
5
6
7
8
9
10
11
12
13
14
15
16
√
1
2
3
4
5
6
7
8
9
10
11
12
13
14
15
16
∵△ABC的周长为12,顶点B(0,-2),C(0,2),∴|BC|=4,|AB|+|AC|=12-4=8,∴点A到两个定点的距离之和等于定值,又8>4,∴点A的轨迹是椭圆,且a=4,c=2,
1
2
3
4
5
6
7
8
9
10
11
12
13
14
15
16
√
1
2
3
4
5
6
7
8
9
10
11
12
13
14
15
16
因为焦距为4,即2c=4,所以c=2,所以c2=m-2-(10-m),解得m=8,满足6
1
2
3
4
5
6
7
8
9
10
11
12
13
14
15
16
√
√
√
1
2
3
4
5
6
7
8
9
10
11
12
13
14
15
16
由椭圆的定义得|PF1|+|PF2|=8.又|PF1|-|PF2|=2,∴|PF1|=5,|PF2|=3,又|F1F2|=2c=4,∴|PF2|2+|F1F2|2=|PF1|2,故△PF1F2为直角三角形,
1
2
3
4
5
6
7
8
9
10
11
12
13
14
15
16
√
1
2
3
4
5
6
7
8
9
10
11
12
13
14
15
16
1
2
3
4
5
6
7
8
9
10
11
12
13
14
15
16
7.已知椭圆C经过点A(2,3),且点F(2,0)为其右焦点,则椭圆C的标准方程为____________.
1
2
3
4
5
6
7
8
9
10
11
12
13
14
15
16
1
2
3
4
5
6
7
8
9
10
11
12
13
14
15
16
解得b2=12或b2=-3(舍去),从而a2=16.
1
2
3
4
5
6
7
8
9
10
11
12
13
14
15
16
8.已知椭圆 =1的左、右焦点分别为F1,F2,点P在椭圆上,若|PF1|=4,∠F1PF2=120°,则实数a的值为____.
3
1
2
3
4
5
6
7
8
9
10
11
12
13
14
15
16
在△F1PF2中,由余弦定理,
9.求适合下列条件的椭圆的标准方程:(1)a=4,c= ,焦点在y轴上;
1
2
3
4
5
6
7
8
9
10
11
12
13
14
15
16
∵焦点在y轴上,
(2)a=2 ,经过点A(-3,-1),焦点在x轴上.
1
2
3
4
5
6
7
8
9
10
11
12
13
14
15
16
由A(-3,-1)在椭圆上,
1
2
3
4
5
6
7
8
9
10
11
12
13
14
15
16
10.设点P(x,y)是椭圆 =1上的点且点P的纵坐标y≠0,点A(-5,0),B(5,0),试判断kPA·kPB是否为定值.若是定值,求出该定值;若不是定值,请说明理由.
1
2
3
4
5
6
7
8
9
10
11
12
13
14
15
16
∵点P的纵坐标y≠0,∴x≠±5.
1
2
3
4
5
6
7
8
9
10
11
12
13
14
15
16
1
2
3
4
5
6
7
8
9
10
11
12
13
14
15
16
√
1
2
3
4
5
6
7
8
9
10
11
12
13
14
15
16
P是C上一点,由椭圆的定义得|PF1|+|PF2|=2a,又|PF1|-|PF2|=a,
所以在△PF1F2中,由余弦定理得|PF2|2=|PF1|2+|F1F2|2-2|PF1|·|F1F2|·cos∠PF1F2,
1
2
3
4
5
6
7
8
9
10
11
12
13
14
15
16
整理得a2-4a+4=0,解得a=2,则b2=a2-c2=2,
1
2
3
4
5
6
7
8
9
10
11
12
13
14
15
16
√
1
2
3
4
5
6
7
8
9
10
11
12
13
14
15
16
1
2
3
4
5
6
7
8
9
10
11
12
13
14
15
16
1
2
3
4
5
6
7
8
9
10
11
12
13
14
15
16
1
2
3
4
5
6
7
8
9
10
11
12
13
14
15
16
∴|PF1|·|PF2|≤9,
1
2
3
4
5
6
7
8
9
10
11
12
13
14
15
16
当且仅当|PF1|=|PF2|=3时等号成立,
1
2
3
4
5
6
7
8
9
10
11
12
13
14
15
16
14.已知F是椭圆5x2+9y2=45的左焦点,P是此椭圆上的动点,A(1,1)是一定点,则|PA|+|PF|的最大值为________,最小值为________.
设F1是椭圆的右焦点,则F1(2,0),
又-|AF1|≤|PA|-|PF1|≤|AF1|(当P,A,F1共线时等号成立),
1
2
3
4
5
6
7
8
9
10
11
12
13
14
15
16
(0,1)或(0,-1)
1
2
3
4
5
6
7
8
9
10
11
12
13
14
15
16
根据题意,设点A的坐标为(m,n),点B的坐标为(u,v).
∵点A,B都在椭圆上,
1
2
3
4
5
6
7
8
9
10
11
12
13
14
15
16
故点A的坐标为(0,1)或(0,-1).
1
2
3
4
5
6
7
8
9
10
11
12
13
14
15
16
16.设F1,F2分别为椭圆 +y2=1的左、右焦点,B为椭圆上的点且坐标为(0,-1).(1)若P是该椭圆上的一个动点,求|PF1|·|PF2|的最大值;
1
2
3
4
5
6
7
8
9
10
11
12
13
14
15
16
当且仅当|PF1|=|PF2|=2时取“=”,所以|PF1|·|PF2|的最大值为4.
1
2
3
4
5
6
7
8
9
10
11
12
13
14
15
16
1
2
3
4
5
6
7
8
9
10
11
12
13
14
15
16
化简得λ2+6λ-7=0,解得λ=-7或λ=1,因为点C异于点B,所以λ=-7.
1
2
3
4
5
6
7
8
9
10
11
12
13
14
15
16
(3)设P是该椭圆上的一个动点,求△PBF1的周长的最大值.
因为|PF1|+|PB|=4-|PF2|+|PB|≤4+|BF2|,所以△PBF1的周长≤4+|BF2|+|BF1|=8,所以当P点位于直线BF2与椭圆的交点处时,△PBF1的周长最大,最大值为8.
高中数学人教B版 (2019)选择性必修 第一册2.5.1 椭圆的标准方程教课课件ppt: 这是一份高中数学人教B版 (2019)选择性必修 第一册2.5.1 椭圆的标准方程教课课件ppt,共60页。PPT课件主要包含了椭圆的方程的设法,反思感悟,椭圆定义的应用,随堂演练,课时对点练,∵焦点在y轴上,解得b2=4,由题意得c=1等内容,欢迎下载使用。
数学选择性必修 第一册3.1 椭圆教学课件ppt: 这是一份数学选择性必修 第一册3.1 椭圆教学课件ppt,共17页。
数学北师大版 (2019)3.1 抛物线及其标准方程教课内容ppt课件: 这是一份数学北师大版 (2019)3.1 抛物线及其标准方程教课内容ppt课件,文件包含第二章31抛物线及其标准方程pptx、第二章31抛物线及其标准方程docx等2份课件配套教学资源,其中PPT共60页, 欢迎下载使用。

