










苏教版 (2019)选择性必修第一册3.3 抛物线评课课件ppt
展开3.3.2 抛物线的几何性质
第一课时 抛物线的几何性质
课标要求 1.了解抛物线的简单几何性质.2.会利用抛物线的性质解决一些简单的抛物线问题.
素养要求 通过研究抛物线的几何性质,提升数学抽象及数学运算素养.
一、抛物线的几何性质
1.思考 类比用方程研究椭圆、双曲线几何性质的过程与方法,你认为应研究抛物线y2=2px(p>0)的哪些几何性质,如何研究这些物质?
提示 范围、对称性、顶点.
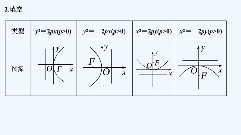
2.填空
类型 | y2=2px(p>0) | y2=-2px(p>0) | x2=2py(p>0) | x2=-2py(p>0) | |
图象 | |||||
性质 | 焦点 | F | F | F | F |
性质 | 准线 | x=- | x= | y=- | y= |
范围 | x≥0,y∈R | x≤0,y∈R | x∈R,y≥0 | x∈R,y≤0 | |
对称轴 | x轴 | y轴 | |||
顶点 | O(0,0) | ||||
离心率 | e=1 | ||||
开口 方向 | 向右 | 向左 | 向上 | 向下 |
温馨提醒 抛物线与椭圆、双曲线几何性质的差异:
(1)它们都是轴对称图形,但椭圆和双曲线又是中心对称图形;
(2)顶点个数不同,椭圆有4个顶点,双曲线有2个顶点,抛物线只有1个顶点.
3.做一做 思考辨析,判断正误
(1)抛物线只有一个焦点,一条对称轴,无对称中心.(√)
(2)抛物线没有渐近线.(√)
(3)抛物线既是中心对称图形又是轴对称图形.(×)
提示 抛物线不是中心对称图形.
二、抛物线的焦点弦、通径
1.填空 抛物线的焦点弦即为过焦点F的直线与抛物线所成的相交弦.弦长公式为AB=x1+x2+p,在所有的焦点弦中以垂直于对称轴的焦点弦弦长最短,A0B0=2p称为抛物线的通径长.
温馨提醒 如图,
M1M2叫作抛物线的通径,长度是2p,这是常数2p的又一几何意义,所以p越大,通径越大,即抛物线的开口越大,反之,p越小,通径越小,抛物线的开口越小.
2.做一做 抛物线y=x2的通径长为________.
答案 2
解析 抛物线的标准方程为x2=2y,p=1,通径长为2.
题型一 抛物线的几何性质
例1 已知双曲线方程是-=1,求以双曲线的右顶点为焦点的抛物线的标准方程及抛物线的准线方程.
解 因为双曲线-=1的右顶点坐标为(2,0),
所以=2,且抛物线的焦点在x轴正半轴上,
所以所求抛物线的标准方程为y2=8x,其准线方程为x=-2.
思维升华 把握三个要点确定抛物线的简单几何性质
(1)开口:由抛物线标准方程看图象开口,关键是看准二次项是x还是y,一次项的系数是正还是负.
(2)关系:顶点位于焦点与准线中间,准线垂直于对称轴.
(3)定值:焦点到准线的距离为p;过焦点垂直于对称轴的弦(又称为通径)长为2p;离心率恒等于1.
训练1 已知抛物线的对称轴在坐标轴上,以原点为顶点,且经过点M(1,-2).求抛物线的标准方程和准线方程.
解 当抛物线的焦点在x轴上时,
设其标准方程为y2=mx(m≠0).
将点M(1,-2)代入,得m=4.
∴抛物线的标准方程为y2=4x;
当抛物线的焦点在y轴上时,
设其标准方程为x2=ny(n≠0).
将点M(1,-2)代入,得n=-.
∴抛物线的标准方程为x2=-y.
故所求的抛物线的标准方程为
y2=4x或x2=-y.
准线方程分别为x=-1或y=.
题型二 由抛物线的几何性质求标准方程
例2 (1)平面直角坐标系xOy中,有一定点A(2,1),若线段OA的垂直平分线过抛物线y2=2px(p>0)的焦点,则该抛物线的标准方程是________.
答案 y2=5x
解析 线段OA的垂直平分线为4x+2y-5=0,与x轴的交点为,
∴抛物线的焦点为,
∴其标准方程为y2=5x.
(2)已知抛物线关于x轴对称,它的顶点在坐标原点,其上一点P到准线及对称轴的距离分别为10和6,求抛物线方程.
解 设抛物线方程为y2=2ax(a≠0),点P(x0,y0).
因为点P到对称的轴距离为6,所以y0=±6.
因为点P到准线的距离为10,所以=10.①
因为点P在抛物线上,所以36=2ax0.②
由①②,得或
或或
所以所求抛物线方程为y2=±4x或y2=±36x.
思维升华 利用抛物线的几何性质求标准方程的策略
(1)由焦点坐标既可确定标准方程的类型,也可确定的值.
(2)由抛物线的对称轴可设抛物线方程为y2=ax或x2=ay(a≠0),再根据条件进一步确定a值.
训练2 抛物线的顶点在原点,对称轴重合于椭圆9x2+16y2=144的短轴所在的直线,抛物线焦点到顶点的距离为3,则抛物线的标准方程为________.
答案 x2=12y或x2=-12y
解析 椭圆的方程可化为+=1,其短轴在y轴上,
∴抛物线的对称轴为y轴,设抛物线的标准方程为x2=2py或x2=-2py(p>0),由抛物线焦点到顶点的距离为3得=3,
∴p=6.
∴抛物线的标准方程为x2=12y或x2=-12y.
题型三 与抛物线有关的最值问题
例3 已知抛物线方程为y2=-4x,直线l的方程为2x+y-4=0,在抛物线上有一动点A,点A到y轴的距离为m,到直线l的距离为n,则m+n的最小值为________.
答案 -1
解析 如图,过A作AH⊥l,AN垂直于抛物线的准线,则AH+AN=m+n+1,连接AF,则AF+AH=m+n+1,由平面几何知识,知当A,F,H三点共线时,AF+AH=m+n+1取得最小值,最小值为F到直线l的距离,即=,即m+n的最小值为-1.
思维升华 抛物线中最值的求解策略
(1)可借助于抛物线的有关知识转化为函数的最值求解,但要注意抛物线的范围.
(2)当条件中有关于抛物线上的点P到焦点F的距离问题,一定要考虑抛物线的定义,注意点P到F的距离与点P到准线距离的转化.
训练3 已知直线l1:4x-3y+6=0和直线l2:x=-1,则抛物线y2=4x上一动点P到直线l1和直线l2的距离之和的最小值是________.
答案 2
解析 因为抛物线的方程为y2=4x,所以焦点坐标为F(1,0),准线方程为x=-1.设P到准线的距离为PB,P到直线l1:4x-3y+6=0的距离为PA,则PB=PF,所以PA+PB=PA+PF≥FD,其中FD为焦点到直线4x-3y+6=0的距离.因为FD===2,所以距离之和的最小值是2.
[课堂小结]
1.牢记抛物线的7个性质.
2.掌握2种方法
(1)利用抛物线的标准方程,讨论抛物线的几何性质.
(2)利用几何性质,也可以根据待定系数法求抛物线的方程.
3.注意1个易错点
若P(x,y)为抛物线y2=2px(p>0)上一点,应注意x≥0,容易因忽略x≥0而导致错误.
一、基础达标
1.过抛物线y2=2px(p>0)的焦点作直线交抛物线于P(x1,y1),Q(x2,y2)两点,若x1+x2=3p,则PQ=( )
A.4p B.5p
C.6p D.8p
答案 A
解析 因为PQ过焦点,所以PQ=x1+x2+p=4p.
2.若抛物线y2=2mx的焦点与圆x2+y2-4x=0的圆心重合,则m的值为( )
A.-2 B.2
C.-4 D.4
答案 D
解析 由抛物线方程y2=2mx可知其焦点为,
将圆的方程变形为(x-2)2+y2=4可知其圆心为(2,0),根据题意可得=2,
所以m=4.故选D.
3.(多选)以x轴为对称轴的抛物线的通径(过焦点且与对称轴垂直的弦)长为8,若抛物线的顶点在坐标原点,则其方程可以为( )
A.y2=8x B.y2=-8x
C.x2=8y D.x2=4y
答案 AB
解析 设抛物线方程为y2=2px或y2=-2px(p>0),
依题意将x=代入y2=2px或y2=-2px,得|y|=p,
∴2|y|=2p=8,p=4.∴抛物线方程为y2=8x或y2=-8x.
4.(多选)抛物线y2=8x的焦点为F,点P在抛物线上,若PF=5,则点P的坐标可以为( )
A.(3,2) B.(3,-2)
C.(-3,2) D.(-3,-2)
答案 AB
解析 设点P的坐标为(x,y),
∵PF=5,∴x-(-2)=5,∴x=3.
把x=3代入方程y2=8x,得y2=24,
∴y=±2.∴点P的坐标为(3,±2).
5.抛物线 C:y2=2px(p>0)的焦点为F,M是抛物线C上的点,O为坐标原点,若△OFM的外接圆与抛物线C的准线相切,且该圆的面积为36π,则p的值为( )
A.2 B.4
C.6 D.8
答案 D
解析 ∵△OFM的外接圆与抛物线C的准线相切,
∴△OFM的外接圆的圆心到准线的距离等于圆的半径.
∵圆的面积为36π,
∴圆的半径为6.
又圆心在OF的垂直平分线上,OF=,
∴+=6,∴p=8.
6.已知圆C:x2+y2+6x+8y+21=0,抛物线y2=8x的准线为l,设抛物线上任一点P到直线l的距离为m,则m+PC的最小值为________.
答案
解析 由圆C的方程知圆心C(-3,-4),
由抛物线的定义知,m+PC的最小值为圆心与抛物线焦点(2,0)间的距离,
即=.
7.已知F是抛物线C:y2=8x的焦点,M是C上一点,FM的延长线交y轴于点N.若M是FN的中点,则FN=________.
答案 6
解析 如图,
不妨设点M在第一象限,过点M作MM′⊥y轴,垂足为M′.
∵M为FN的中点,OF=2,∴MM′=1,
∴M到准线距离
d=MM′+=3,
∴MF=3,∴FN=6.
8.设抛物线y2=2px(p>0)的焦点为F,点A(0,2).若线段FA的中点B在抛物线上,则p=________,B到该抛物线准线的距离为________.
答案
解析 由已知得B,把点B坐标代入y2=2px得1=2p·,
∴p2=2,∴p=,
∴B,故d=+=.
9.如图所示,过抛物线y2=2px (p>0)的焦点F的直线l交抛物线于点A,B,交其准线于点C,若BC=2BF,且AF=3,求此抛物线的方程.
解 如图,过A,B分别作准线的垂线AA′,BD,垂足分别为A′,D,则BF=BD,
又2BF=BC,
∴在Rt△BCD中,∠BCD=30°.
又AF=3,∴AA′=3,
∴AC=6,FC=3.
∴F到准线的距离p=FC=.
∴抛物线的标准方程为y2=3x.
10.已知抛物线y2=8x.
(1)求出该抛物线的顶点、焦点、准线方程、对称轴、变量x的范围;
(2)以坐标原点O为顶点,作抛物线的内接等腰三角形OAB,OA=OB,若焦点F是△OAB的重心,求△OAB的周长.
解 (1)抛物线y2=8x的顶点、焦点、准线方程、对称轴、变量x的范围分别为(0,0),(2,0),x=-2,x轴,x≥0.
(2)如图所示,
由OA=OB可知AB⊥x轴,设垂足为点M,
又焦点F是△OAB的重心,则OF=OM.
因为F(2,0),
所以OM=OF=3,
所以M(3,0).
故设A(3,m),代入y2=8x得m2=24,
所以m=2或m=-2,
所以A(3,2),B(3,-2),
所以OA=OB=,AB=4,
所以△OAB的周长为2+4.
二、能力提升
11.抛物线x2=2py(p>0)的焦点为F,其准线与双曲线-=1相交于A,B两点,若△ABF为等边三角形,则p=________.
答案 6
解析 抛物线的焦点坐标为F,准线方程为y=-.
将y=-代入-=1
得|x|=.
要使△ABF为等边三角形,则tan===,
解得p2=36,p=6.
12.已知O为坐标原点,F为抛物线C:y2=4x的焦点,P为抛物线C上一点,若PF=4,则△POF的面积为________.
答案 2
解析 由y2=4x知焦点为F(,0),准线为x=-.
设P点坐标为(x0,y0),
则x0+=4,∴x0=3,
∴y=4×3=24,
∴|y0|=2,
∴S△POF=××2=2.
13.已知A,B是抛物线y2=2px(p>0)上的两点,且OA⊥OB.
(1)求两点的横坐标之积和纵坐标之积;
(2)求证:直线AB过定点.
(1)解 设点A,B的坐标分别为(x1,y1),(x2,y2),
则有kOA=,kOB=.
∵OA⊥OB,∴kOA·kOB=-1,
∴x1x2+y1y2=0.
∵y=2px1,y=2px2,
∴·+y1y2=0.
∵y1≠0,y2≠0,
∴y1y2=-4p2,∴x1x2=4p2.
(2)证明 ∵y=2px1,y=2px2,
∴(y1-y2)(y1+y2)=2p(x1-x2),
∴=,∴kAB=,
故直线AB的方程为y-y1=(x-x1),
∴y=+y1-,
即y=+.
∵y=2px1,y1y2=-4p2,
∴y=+,
∴y=(x-2p),
即直线AB过定点(2p,0).
三、创新拓展
14.(多选)设抛物线C:y2=2px(p>0)的焦点为F,点M在抛物线C上,MF=5,若y轴上存在点A(0,2),使得·=0,则p的值可以为( )
A.2 B.4 C.6 D.8
答案 AD
解析 由题意可得,以MF为直径的圆过点(0,2),
设点M(x,y),由抛物线定义知MF=x+=5,可得x=5-.
因为圆心是MF的中点,所以根据中点坐标公式可得,圆心横坐标为=.
由已知可知圆半径也为,据此可知该圆与y轴相切于点A(0,2),故圆心纵坐标为2,则M点纵坐标为4,即点M,代入抛物线方程得p2-10p+16=0,所以p=2或p=8.故选AD.
【最新版】高中数学(新湘教版)习题+同步课件限时小练36 抛物线的简单几何性质: 这是一份【最新版】高中数学(新湘教版)习题+同步课件限时小练36 抛物线的简单几何性质,文件包含限时小练36抛物线的简单几何性质pptx、限时小练36抛物线的简单几何性质DOCX等2份课件配套教学资源,其中PPT共5页, 欢迎下载使用。
湘教版(2019)选择性必修 第一册3.3 抛物线教学演示ppt课件: 这是一份湘教版(2019)选择性必修 第一册3.3 抛物线教学演示ppt课件,文件包含第一课时抛物线的简单几何性质pptx、第一课时抛物线的简单几何性质DOCX等2份课件配套教学资源,其中PPT共47页, 欢迎下载使用。
高中数学苏教版 (2019)选择性必修第一册3.3 抛物线集体备课课件ppt: 这是一份高中数学苏教版 (2019)选择性必修第一册3.3 抛物线集体备课课件ppt,文件包含第二课时抛物线的方程与性质的应用pptx、第二课时抛物线的方程与性质的应用doc等2份课件配套教学资源,其中PPT共56页, 欢迎下载使用。