所属成套资源:【最新版】高中数学(新人教B版选择性必修第一册)教案+同步课件+习题【全册】
【最新版】高中数学(新人教B版)习题+同步课件培优课 离心率的计算
展开
这是一份【最新版】高中数学(新人教B版)习题+同步课件培优课 离心率的计算,文件包含培优课离心率的计算pptx、培优课离心率的计算DOCX等2份课件配套教学资源,其中PPT共11页, 欢迎下载使用。
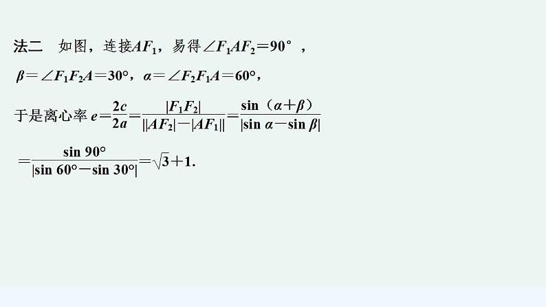
培优课 离心率的计算 1.离心率是椭圆与双曲线的重要几何性质,求离心率的方法主要有:①通过已知条件列出方程组,解出a,c的值;②由a,b的关系求离心率e=(椭圆)或e=(双曲线);③由已知条件得关于a,c的齐次式,再转化为关于e的一元二次方程;④通过特殊值或特殊位置求离心率;⑤在焦点三角形内求离心率.2.求离心率范围的方法一是通过设点的坐标,利用圆锥曲线上点的坐标的范围,转化为离心率的取值范围.二是利用焦半径的范围得到a与c的不等式从而求离心率的范围,椭圆的焦半径|PF|∈[a-c,a+c],双曲线中,当P与焦点同侧时|PF|≥c-a,异侧时|PF|≥c+a.类型一 借助焦点三角形求离心率例1 (1)以F1和F2为焦点的双曲线-=1(a>0,b>0)中,A和B是以O为圆心,|OF1|为半径的圆与该双曲线左支的两个交点,且△F2AB是等边三角形,则双曲线的离心率为________.(2)椭圆+=1(a>b>0)的左、右焦点分别是F1,F2,过F2作倾斜角为120°的直线与椭圆的一个交点为M,若MF1⊥MF2,则椭圆的离心率为( )A. B.-1C.2-3 D.2-答案 (1)+1 (2)B解析 (1)法一 如图,连接AF1,由△F2AB是等边三角形,知∠AF2F1=30°. 易知△AF1F2为直角三角形,则|AF1|=|F1F2|=c,|AF2|=c,∴2a=(-1)c,从而双曲线的离心率e==1+.法二 如图,连接AF1,易得∠F1AF2=90°,β=∠F1F2A=30°,α=∠F2F1A=60°,于是离心率e=====+1.(2)由题意知,在Rt△MF1F2中,|F1F2|=2c,∠F1F2M=60°,∴|MF2|=c,|MF1|=2c×=c,|MF1|+|MF2|=c+c=2a,∴e===-1.类型二 利用齐次方程求离心率例2 (1)已知双曲线E:-=1(a>0,b>0),若矩形ABCD的四个顶点在E上,AB,CD的中点为E的两个焦点,且2|AB|=3|BC|,则E的离心率是________.(2)已知椭圆+=1(a>b>0),A,B分别为椭圆的左顶点和上顶点,F为右焦点,且AB⊥BF,则椭圆的离心率为________.答案 (1)2 (2)解析 (1)如图,由题意知|AB|=,|BC|=2c. 又2|AB|=3|BC|,∴2·=3×2c,即2b2=3ac,∴2(c2-a2)=3ac,两边同除以a2并整理得2e2-3e-2=0,解得e=2(负值舍去).(2)在△ABF中,|AB|=,|BF|=a,|AF|=a+c.由AB⊥BF得|AB|2+|BF|2=|AF|2,将b2=a2-c2代入,得a2-ac-c2=0,即e2+e-1=0,解得e=.因为0<e<1,所以e=.类型三 求离心率的取值范围例3 (1)已知F1(-c,0),F2(c,0)为椭圆+=1(a>b>0)的两个焦点,P为椭圆上一点,且·=c2,则此椭圆离心率的取值范围是________.(2)椭圆M:+=1(a>b>0)的左、右焦点分别为F1,F2,P为椭圆M上任一点,且|PF1|·|PF2|的最大值的取值范围是[2c2,3c2],其中c=,则椭圆M的离心率e的取值范围是( )A. B.C. D.答案 (1) (2)A解析 (1)设P(x,y),则·=(-c-x,-y)·(c-x,-y)=x2-c2+y2=c2,将y2=b2-x2代入上式,解得x2==.又x2∈[0,a2],∴2c2≤a2≤3c2,∴e=∈.(2)由基本不等式,得(|PF1|+|PF2|)2≥4|PF1|·|PF2|.又|PF1|+|PF2|=2a,所以4a2≥4|PF1|·|PF2|,即|PF1|·|PF2|≤a2,所以(|PF1|·|PF2|)max=a2,此时|PF1|=|PF2|=a,所以2c2≤a2≤3c2,得2e2≤1≤3e2,所以≤e2≤.又0<e<1,所以≤e≤.
相关课件
这是一份【最新版】高中数学(新湘教版)习题+同步课件培优课 离心率的计算,文件包含培优课离心率的计算pptx、培优课离心率的计算DOCX等2份课件配套教学资源,其中PPT共12页, 欢迎下载使用。
这是一份【最新版】高中数学(新苏教版)习题+同步课件培优课 离心率问题,文件包含培优课离心率问题pptx、培优课离心率问题doc等2份课件配套教学资源,其中PPT共9页, 欢迎下载使用。
这是一份【最新版】高中数学(新人教B版)习题+同步课件培优课 最值与对称问题,文件包含培优课最值与对称问题pptx、培优课最值与对称问题DOCX等2份课件配套教学资源,其中PPT共20页, 欢迎下载使用。

