


所属成套资源:【最新版】高中数学(新人教A版选择性必修第一册)教案+同步课件+习题【全册】
【最新版】高中数学(新人教A版)习题+同步课件限时小练11 用向量求解空间距离问题
展开
这是一份【最新版】高中数学(新人教A版)习题+同步课件限时小练11 用向量求解空间距离问题,文件包含限时小练11用向量求解空间距离问题pptx、限时小练11用向量求解空间距离问题DOCX等2份课件配套教学资源,其中PPT共7页, 欢迎下载使用。
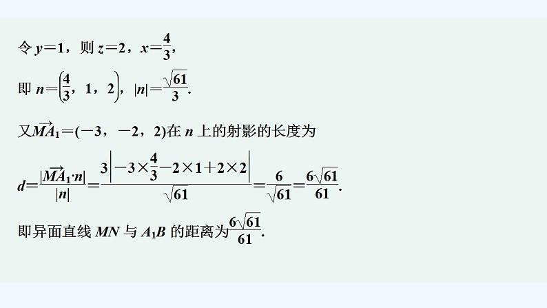
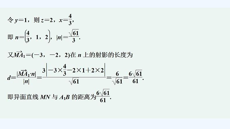
限时小练11 用向量求解空间距离问题1.在长方体ABCD-A1B1C1D1中,AB=4,AD=3,AA1=2,M,N分别为CD,BB1的中点,求异面直线MN与A1B的距离.解 以A为原点,以AD,AB,AA1为坐标轴,建立空间直角坐标系,如图.则M(3,2,0),N(0,4,1),A1(0,0,2),B(0,4,0),即=(-3,2,1),=(0,4,-2).设MN,A1B公垂线的方向向量为n=(x,y,z),则有⇒令y=1,则z=2,x=,即n=,|n|=.又=(-3,-2,2)在n上的射影的长度为d====.即异面直线MN与A1B的距离为.2.如图,在梯形ABCD中,AD∥BC,∠ABC=,AB=BC=AD=a,PA⊥平面ABCD,且PA=a,点F在AD上,且CF⊥PC.(1)求点A到平面PCF的距离;(2)求AD到平面PBC的距离.解 (1)由题意知AP,AB,AD两两垂直,建立空间直角坐标系,如图.则A(0,0,0),B(a,0,0),C(a,a,0),D(0,3a,0),P(0,0,a).设F(0,m,0),则=(-a,m-a,0),=(-a,-a,a).∵PC⊥CF,∴⊥,∴·=(-a)·(-a)+(m-a)·(-a)+0·a=a2-a(m-a)=0,∴m=2a,即F(0,2a,0).设平面PCF的法向量为n=(x,y,z),则解得取x=1,得n=(1,1,2).设点A到平面PCF的距离为d,由=(a,a,0),得d===a.(2)由于=(-a,0,a),=(0,a,0),=(0,0,a).设平面PBC的法向量为n1=(x0,y0,z0),由得取x0=1,得n1=(1,0,1).设点A到平面PBC的距离为h,∵AD∥BC,AD⊄平面PBC,∴AD∥平面PBC,∴h为AD到平面PBC的距离,∴h===a.
相关课件
这是一份【最新版】高中数学(新人教B版)习题+同步课件限时小练18 距离问题,文件包含限时小练18距离问题pptx、限时小练18距离问题DOCX等2份课件配套教学资源,其中PPT共5页, 欢迎下载使用。
这是一份【最新版】高中数学(新人教B版)习题+同步课件限时小练10 空间距离,文件包含限时小练10空间距离pptx、限时小练10空间距离DOCX等2份课件配套教学资源,其中PPT共7页, 欢迎下载使用。
这是一份【最新版】高中数学(新人教A版)习题+同步课件限时小练4 用基底表示空间向量,文件包含限时小练4用基底表示空间向量pptx、限时小练4用基底表示空间向量DOCX等2份课件配套教学资源,其中PPT共6页, 欢迎下载使用。
