所属成套资源:【最新版】高中数学(新人教A版选择性必修第一册)教案+同步课件+习题【全册】
【最新版】高中数学(新人教A版)习题+同步课件限时小练28 利用椭圆性质求解最值或范围问题
展开
这是一份【最新版】高中数学(新人教A版)习题+同步课件限时小练28 利用椭圆性质求解最值或范围问题,文件包含限时小练28利用椭圆性质求解最值或范围问题pptx、限时小练28利用椭圆性质求解最值或范围问题DOCX等2份课件配套教学资源,其中PPT共7页, 欢迎下载使用。
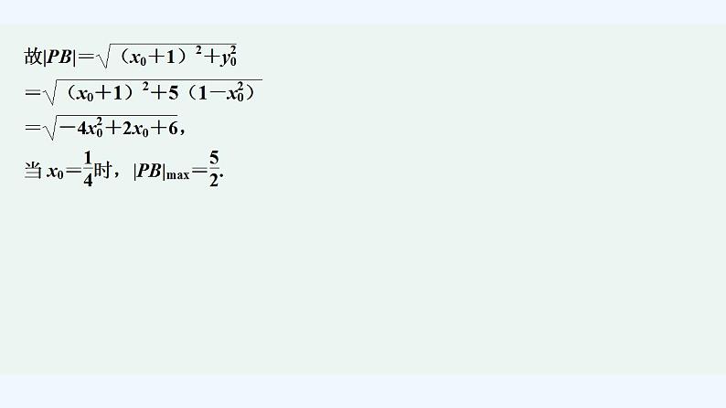
限时小练28 利用椭圆性质求解最值或范围问题1.已知椭圆+x2=1(a>1)的离心率e=,P为椭圆上的一个动点,若定点B(-1,0),则|PB|的最大值为( )A. B.2 C. D.3答案 C解析 由题意可得:e2==,据此可得:a2=5,椭圆方程为+x2=1,设P点的坐标为(x0,y0),则y=5(1-x),故|PB|===,当x0=时,|PB|max=.2.以椭圆上一点和两个焦点为顶点的三角形的面积的最大值为2,则椭圆长轴长的最小值为________.答案 4解析 由题意知,当椭圆上的点为短轴端点时,三角形面积有最大值,即bc=2.∴a2=b2+c2≥2bc=4,∴a≥2,当且仅当b=c=时等号成立.∴2a≥4,即椭圆长轴长的最小值为4,故答案为4.3.已知椭圆+=1(a>b>0)的两个焦点分别为F1,F2,斜率为k的直线l过左焦点F1且与椭圆的交点为A,B,与y轴的交点为C,且B为线段CF1的中点,若|k|≤,求椭圆离心率e的取值范围.解 依题意得F1(-c,0),直线l:y=k(x+c),则C(0,kc).因为点B为CF1的中点,所以B(-,).因为点B在椭圆上,所以+=1,即+=1.所以+=1.所以k2=.由|k|≤,得k2≤,即≤,所以2e4-17e2+8≤0.解得≤e2≤8.因为0<e<1,所以≤e2<1,即≤e<1.
相关课件
这是一份【最新版】高中数学(新湘教版)习题+同步课件限时小练28 椭圆的标准方程,文件包含限时小练28椭圆的标准方程pptx、限时小练28椭圆的标准方程DOCX等2份课件配套教学资源,其中PPT共6页, 欢迎下载使用。
这是一份【最新版】高中数学(新人教B版)习题+同步课件限时小练26 椭圆的标准方程及几何性质的应用,文件包含限时小练26椭圆的标准方程及几何性质的应用pptx、限时小练26椭圆的标准方程及几何性质的应用DOCX等2份课件配套教学资源,其中PPT共7页, 欢迎下载使用。
这是一份【最新版】高中数学(新人教B版)习题+同步课件限时小练25 椭圆的几何性质,文件包含限时小练25椭圆的几何性质pptx、限时小练25椭圆的几何性质DOCX等2份课件配套教学资源,其中PPT共6页, 欢迎下载使用。

