所属成套资源:新高考数学二轮专题《平面向量》系列练习(解析版+原卷版)
新高考数学二轮专题《平面向量》第2讲 平面向量基本定理及三点共线定理(2份打包,解析版+原卷版)
展开
这是一份新高考数学二轮专题《平面向量》第2讲 平面向量基本定理及三点共线定理(2份打包,解析版+原卷版),文件包含新高考数学二轮专题《平面向量》第2讲平面向量基本定理及三点共线定理解析版doc、新高考数学二轮专题《平面向量》第2讲平面向量基本定理及三点共线定理原卷版doc等2份试卷配套教学资源,其中试卷共12页, 欢迎下载使用。
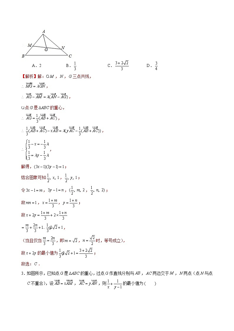
第2讲 平面向量基本定理及三点共线定理一.选择题(共4小题)1.如图所示,已知点是的重心,过点作直线与,两边分别交于,两点,且,,则的最小值为 A.2 B. C. D.2.如图所示,已知点是的重心,过点作直线与,两边分别交于,两点,且,,则的最小值为 A.2 B. C. D.3.如图所示,已知点是的重心,过点作直线分别与,两边交于,两点(点与点不重合),设,,则的最小值为 A.2 B. C. D.4.已知是三角形的重心,过的直线分别交直线,于,两点,,,,都是正数),的最小值是 A.2 B.3 C.1 D.二.填空题(共5小题)5.如图,在中,是线段上的一点,且,过点的直线分别交直线,于点,,若,,则的最小值是 .6.在中,,分别在,上,且,,交于点,若,则 , .7.如图所示,已知点是的重心,过作直线与、两边分别交于、两点,且,则的值为 .8.已知点为的重心,过作直线与,两边分别交于,两点,且,,,则的最小值为 .9.点是的重心,过作直线与、两边分别交于、两点,且,.若,则 ,若,则 .三.解答题(共3小题)10.已知点为的重心,过点作直线与、两边分别交于、两点,且,求的值.11.若点是所在平面内一点,且满足:.(1)求与的面积之比.(2)若为中点,与交于点,设,求,的值.12.在中,(Ⅰ)求与的面积之比(Ⅱ)若为中点,与交于点且,求的值.
相关试卷
这是一份高中数学人教A版 (2019)必修 第二册6.3 平面向量基本定理及坐标表示精练,文件包含人教A版高中数学必修第二册同步讲义第07讲平面向量基本定理原卷版doc、人教A版高中数学必修第二册同步讲义第07讲平面向量基本定理含解析doc等2份试卷配套教学资源,其中试卷共39页, 欢迎下载使用。
这是一份专题22 平面向量共线定理-(原卷版),文件包含三角函数及解三角形大题专题练习卷参考答案doc、三角函数及解三角形专题卷docx等2份试卷配套教学资源,其中试卷共21页, 欢迎下载使用。
这是一份(新高考)高考数学一轮复习讲练测 第6章 第2讲 平面向量基本定理及坐标表示 (2份打包,原卷版+教师版),文件包含新高考高考数学一轮复习讲练测第6章第2讲平面向量基本定理及坐标表示原卷版doc、新高考高考数学一轮复习讲练测第6章第2讲平面向量基本定理及坐标表示原卷版pdf、新高考高考数学一轮复习讲练测第6章第2讲平面向量基本定理及坐标表示教师版doc、新高考高考数学一轮复习讲练测第6章第2讲平面向量基本定理及坐标表示教师版pdf等4份试卷配套教学资源,其中试卷共46页, 欢迎下载使用。

