所属成套资源:新高考数学二轮专题《平面向量》系列练习(解析版+原卷版)
新高考数学二轮专题《平面向量》第5讲 矩形大法(2份打包,解析版+原卷版)
展开
这是一份新高考数学二轮专题《平面向量》第5讲 矩形大法(2份打包,解析版+原卷版),文件包含新高考数学二轮专题《平面向量》第5讲矩形大法解析版doc、新高考数学二轮专题《平面向量》第5讲矩形大法原卷版doc等2份试卷配套教学资源,其中试卷共6页, 欢迎下载使用。
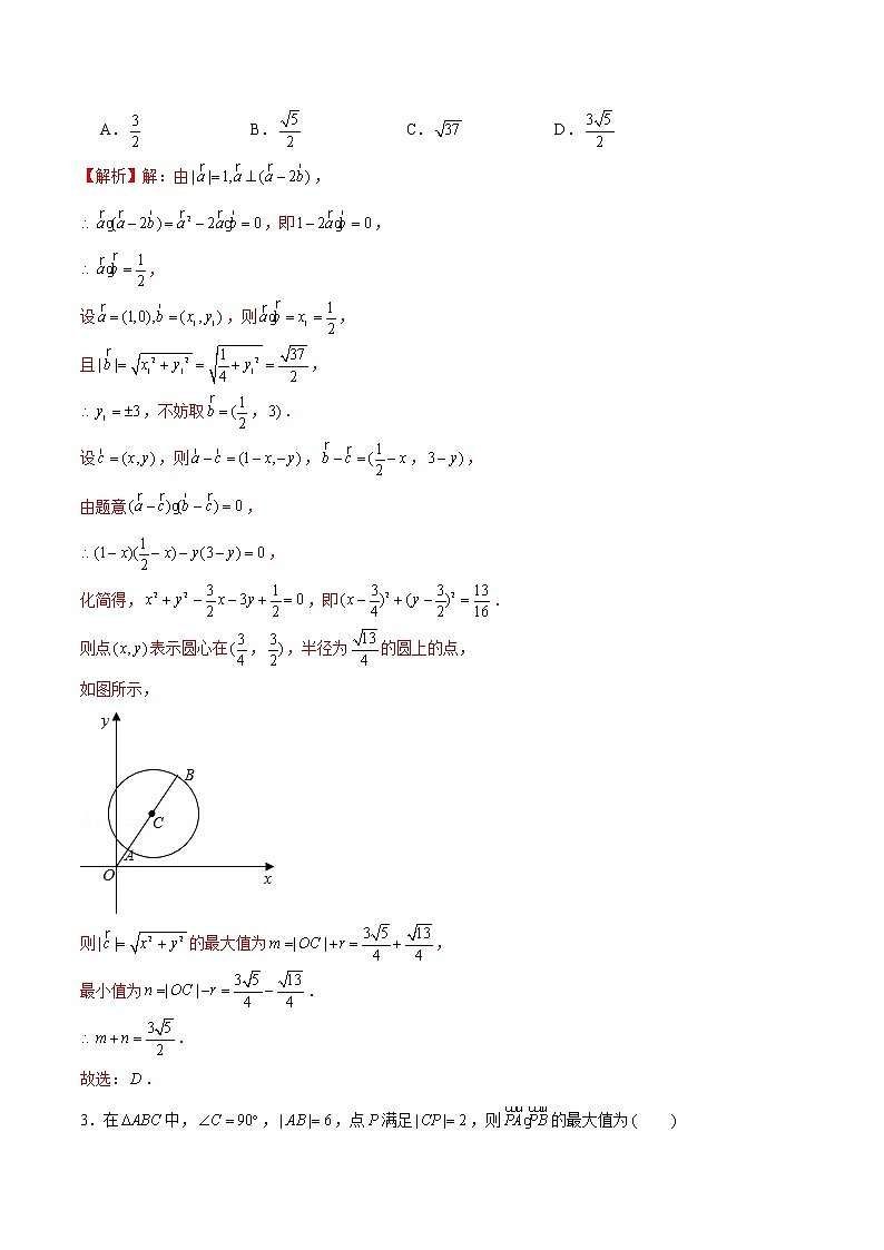
第5讲 矩形大法一.选择题(共6小题)1.已知,,,则的取值范围是 A., B. C. D.2.已知向量满足:,若,的最大值和最小值分别为,,则等于 A. B. C. D.3.在中,,,点满足,则的最大值为 A.9 B.16 C.18 D.254.已知为单位向量,且,向量满足,则的取值范围为 A. B. C. D.5.已知,为单位向量,且,向量满足,则的范围为 A., B., C. D.,6.已知向量,满足,,若,则的最小值是 A. B. C.1 D.2二.填空题(共1小题)7.已知,向量满足,则的最大值为 .
相关试卷
这是一份高考数学二轮复习专题 平面向量A卷(2份打包,解析版+原卷版),文件包含高考数学二轮复习专题平面向量A卷解析版doc、高考数学二轮复习专题平面向量A卷原卷版doc等2份试卷配套教学资源,其中试卷共37页, 欢迎下载使用。
这是一份新高考数学二轮专题《平面向量》第2讲 平面向量基本定理及三点共线定理(2份打包,解析版+原卷版),文件包含新高考数学二轮专题《平面向量》第2讲平面向量基本定理及三点共线定理解析版doc、新高考数学二轮专题《平面向量》第2讲平面向量基本定理及三点共线定理原卷版doc等2份试卷配套教学资源,其中试卷共12页, 欢迎下载使用。
这是一份新高考数学二轮专题《平面向量》第6讲 五心问题(2份打包,解析版+原卷版),文件包含新高考数学二轮专题《平面向量》第6讲五心问题奔驰定理解析版doc、新高考数学二轮专题《平面向量》第6讲五心问题奔驰定理原卷版doc等2份试卷配套教学资源,其中试卷共17页, 欢迎下载使用。

