高考数学二轮复习热点突破专题6函数与导数第3讲导数与函数的单调性极值最值问题课件
展开高考定位 利用导数研究函数的性质,能进行简单的计算,以含指数函数、对数函数、三次有理函数为载体,研究函数的单调性、极值、最值,并能解决简单的问题.
1.(2020·全国Ⅰ卷)函数f(x)=x4-2x3的图象在点(1,f(1))处的切线方程为( )
A.y=-2x-1 B.y=-2x+1C.y=2x-3 D.y=2x+1解析 f(1)=1-2=-1,切点坐标为(1,-1),又f′(x)=4x3-6x2,所以切线的斜率k=f′(1)=4×13-6×12=-2,切线方程为y+1=-2(x-1),即y=-2x+1.故选B.答案 B
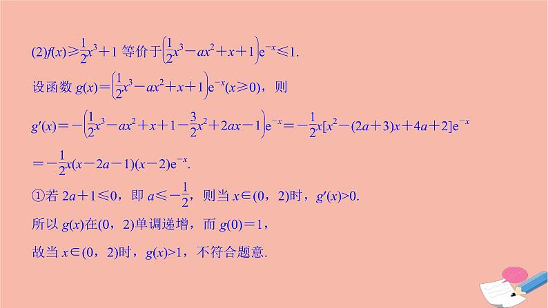
3.(2020·新高考山东、海南卷)已知函数f(x)=aex-1-ln x+ln a.
(1)当a=e时,求曲线y=f(x)在点(1,f(1))处的切线与两坐标轴围成的三角形的面积;(2)若f(x)≥1,求a的取值范围.
(1)当a=e时,f(x)=ex-ln x+1,f(1)=e+1,f′(1)=e-1,曲线y=f(x)在点(1,f(1))处的切线方程为y-(e+1)=(e-1)(x-1),即y=(e-1)x+2.
(2)当0<a<1时,f(1)=a+ln a<1.
当x∈(0,1)时,f′(x)<0;当x∈(1,+∞)时,f′(x)>0.所以当x=1时,f(x)取得最小值,最小值为f(1)=1,从而f(x)≥1.当a>1时,f(x)=aex-1-ln x+ln a>ex-1-ln x≥1.综上,a的取值范围是[1,+∞).
4.(2020·全国Ⅰ卷)已知函数f(x)=ex+ax2-x.
解 (1)当a=1时,f(x)=ex+x2-x,x∈R,f′(x)=ex+2x-1.故当x∈(-∞,0)时,f′(x)<0;当x∈(0,+∞)时,f′(x)>0.所以f(x)在(-∞,0)单调递减,在(0,+∞)单调递增.
函数f(x) 在x0处的导数是曲线f(x)在点P(x0,f(x0))处的切线的斜率,曲线f(x)在点P处的切线的斜率k=f′(x0),相应的切线方程为y-f(x0)=f′(x0)(x-x0).易错提醒 求曲线的切线方程时,要注意是在点P处的切线还是过点P的切线,前者点P为切点,后者点P不一定为切点.
3.利用导数研究函数的单调性
(1)导数与函数单调性的关系.①f′(x)>0是f(x)为增函数的充分不必要条件,如函数f(x)=x3在(-∞,+∞)上单调递增,但f′(x)≥0.②f′(x)≥0是f(x)为增函数的必要不充分条件,如果函数在某个区间内恒有f′(x)=0时,则f(x)为常数函数.(2)利用导数研究函数单调性的方法.①若求单调区间(或证明单调性),只要在函数定义域内解(或证明)不等式f′(x)>0或f′(x)<0.②若已知函数的单调性,则转化为不等式f′(x)≥0或f′(x)≤0在单调区间上恒成立问题来求解.
4.利用导数研究函数的极值、最值
(1)若在x0附近左侧f′(x)>0,右侧f′(x)<0,则f(x0)为函数f(x)的极大值;若在x0附近左侧f′(x)<0,右侧f′(x)>0,则f(x0)为函数f(x)的极小值.(2)设函数y=f(x)在[a,b]上连续,在(a,b)内可导,则f(x)在[a,b]上必有最大值和最小值且在极值点或端点处取得.易错提醒 若函数的导数存在,某点的导数等于零是函数在该点取得极值的必要不充分条件.
热点一 导数的几何意义【例1】 (1)(2019·全国Ⅲ卷)已知曲线y=aex+xln x在点(1,ae)处的切线方程为y=2x+b,则( )
A.a=e,b=-1 B.a=e,b=1C.a=e-1,b=1 D.a=e-1,b=-1
解析 (1)因为y′=aex+ln x+1,所以k=y′|x=1=ae+1,所以曲线在点(1,ae)处的切线方程为y-ae=(ae+1)(x-1),即y=(ae+1)x-1.
(2)直线y=2x的斜率为k=2,A中,若f(x)=2ex-2,则由f′(x)=2ex=2,得x=0,f(0)=0,因为点(0,0)在直线y=2x上,所以直线y=2x与曲线y=2ex-2相切.B中,若f(x)=2sin x,则由f′(x)=2cs x=2,得x=2kπ(k∈Z),f(2kπ)=0,因为点(0,0)在直线y=2x上,所以直线y=2x与曲线y=2sin x相切.
D中,若f(x)=x3-x-2,则由f′(x)=3x2-1=2,得x=±1,f(1)=-2,f(-1)=-2,其中(-1,-2)在直线y=2x上,所以直线y=2x与曲线y=x3-x-2相切.故选ABD.答案 (1)D (2)ABD
探究提高 利用导数的几何意义解题,主要是利用导数、切点坐标、切线斜率之间的关系来进行转化,其中关键是确定切点的坐标.
【训练1】 (1)(2019·江苏卷)在平面直角坐标系xOy中,点A在曲线y=ln x上,且该曲线在点A处的切线经过点(-e,-1)(e为自然对数的底数),则点A的坐标是________.
(2)(2020·全国Ⅰ卷)曲线y=ln x+x+1的一条切线的斜率为2,则该切线的方程为________.
答案 (1)(e,1) (2)2x-y=0
热点二 利用导数研究函数的单调性角度1 讨论函数的单调性(区间)【例2】 (2020·全国Ⅱ卷)已知函数f(x)=2ln x+1.
(1)当0
取c=-1得h(x)=2ln x-2x+2,h(1)=0,则由(1)知,当x≠1时,h(x)<0,即1-x+ln x<0.
所以g(x)在区间(0,a),(a,+∞)单调递减.
答案 (1)C (2)(0,1)∪(2,3)
探究提高 1.求函数的单调区间,只需在函数的定义域内解(证)不等式f′(x)>0或f′(x)<0.2.(1)已知函数的单调性,求参数的取值范围,应用条件f′(x)≥0(或f′(x)≤0),x∈(a,b)恒成立,解出参数的取值范围(一般可用不等式恒成立的理论求解),应注意参数的取值是f′(x)不恒等于0的参数的范围.(2)若函数y=f(x)在区间(a,b)上不单调,则转化为f′(x)=0在(a,b)上有解(需验证解的两侧导数是否异号).
【训练2】 (2020·百师联盟考试)已知函数f(x)=axex-x2-2x.
(1)讨论函数f(x)的单调性;(2)当x>0时,f(x)>0,求正实数a的取值范围.解 (1)f′(x)=a(x+1)ex-2x-2=(x+1)(aex-2).①当a≤0时,由f′(x)>0,得x<-1;由f′(x)<0,得x>-1.∴f(x)在(-∞,-1)上单调递增,f(x)在(-1,+∞)上单调递减.②当a=2e时,f′(x)≥0,即f(x)在R上单调递增,
(2)当a≥2e时,由第(1)问知f(x)在(0,+∞)上是增函数,∴f(x)>f(0)=0,满足题意.当0<a<2e时,由(1)知:
综上可知,实数a的取值范围是[2,+∞).
热点三 利用导数研究函数的极值和最值【例4】 设函数f(x)=e2x-aln x.
(2)证明 由(1),可设f′(x)在(0,+∞)上的唯一零点为x0,当x∈(0,x0)时,f′(x)<0;当x∈(x0,+∞)时,f′(x)>0.故f(x)在(0,x0)上单调递减,在(x0,+∞)上单调递增,所以当x=x0时,f(x)取得最小值,最小值为f(x0).
探究提高 (1)运用导数证明不等式,常转化为求函数的最值问题.(2)利用导数解决不等式恒成立问题:一般先转化为我们熟悉的函数,利用导数研究单调性,求出最值,解答相应的参数不等式,如果易分离参数,可先分离变量,构造函数,直接转化为函数的最值问题,避免参数的讨论.
【训练3】 (2020·江南十校联考)已知f(x)=mx2-x+ln x.
(1)当m=0时,求函数f(x)在区间[t,t+1](t>0)上的最大值M(t);(2)当m=1时,若存在正数x1,x2满足f(x1)+f(x2)=1-ln 2,求证:x1+x2≥2.
当x∈(0,1)时,f′(x)>0,函数单调递增;当x∈(1,+∞)时,f′(x)<0,函数单调递减.当t≥1时,f(x)在[t,t+1]上单调递减,f(x)的最大值为f(t)=ln t-t;当0<t<1时,f(x)在区间(t,1)上单调递增,在区间(1,t+1)上单调递减,f(x)的最大值为f(1)=-1.
高考数学二轮专题复习课件第2部分 专题6 第3讲 导数与函数的单调性、极值、最值(含解析): 这是一份高考数学二轮专题复习课件第2部分 专题6 第3讲 导数与函数的单调性、极值、最值(含解析),共60页。
2023届高考数学二轮复习专题一函数与导数第4讲导数与函数的单调性、极值、最值课件: 这是一份2023届高考数学二轮复习专题一函数与导数第4讲导数与函数的单调性、极值、最值课件,共27页。PPT课件主要包含了答案1,答案1A,答案1D,答案1B,答案1C等内容,欢迎下载使用。
高考数学二轮复习2.3导数在函数中的应用1导数与函数的单调性极值最值课件: 这是一份高考数学二轮复习2.3导数在函数中的应用1导数与函数的单调性极值最值课件,共31页。PPT课件主要包含了-2-,-4-,命题热点一,命题热点二,命题热点三,-5-,-6-,-7-,-8-,-9-等内容,欢迎下载使用。

