人教A版 (2019)选择性必修 第二册5.2 导数的运算评课ppt课件
展开
这是一份人教A版 (2019)选择性必修 第二册5.2 导数的运算评课ppt课件,共17页。PPT课件主要包含了复合函数,复合函数的导数法则,课本P81等内容,欢迎下载使用。
复习:函数的加、减、乘、除的导数运算法则:
思考 如何求函数y=ln(2x-1)的导数?
一般地,对于两个函数y=f(u)和u=g(x),如果通过中间变量u,y可以表示成x的函数,那么称这个函数为函数y=f(u)和u=g(x)的复合函数. 记作:y=f(g(x)).
函数y= ln(2x-1)不是由基本初等函数通过加、减、乘、除运算得到的, 所以无法用现有的方法求它的导数. 下面, 我们先分析这个函数的结构特点.
把y与u的关系记作y=f(u),u与x的关系记作u=g(x),那么这个“复合”过程可表示为 y=f(u)=f(g(x))= ln(2x-1).
例如,函数y=sin2x是由y=sinu和u=2x复合而成.
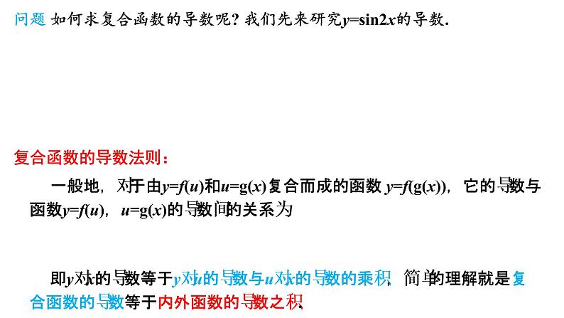
一般地,对于由y=f(u)和u=g(x)复合而成的函数 y=f(g(x)),它的导数与函数y=f(u),u=g(x)的导数间的关系为
即y对x的导数等于y对u的导数与u对x的导数的乘积,简单的理解就是复合函数的导数等于内外函数的导数之积.
问题 如何求复合函数的导数呢? 我们先来研究y=sin2x的导数.
相关课件
这是一份高中数学5.2 导数的运算课文内容课件ppt,共22页。PPT课件主要包含了创设情境揭示课题,阅读精要研讨新知,例题研讨,学习例题的正规表达,小组互动,探索与发现思考与感悟,归纳小结回顾重点,作业布置精炼双基等内容,欢迎下载使用。
这是一份人教A版 (2019)选择性必修 第二册5.2 导数的运算教学课件ppt,文件包含523简单复合函数的导数课件-2022-2023学年高二上学期数学人教A版2019选择性必修第二册pptx、523简单复合函数的导数教学设计-2022-2023学年高二上学期数学人教A版2019选择性必修第二册docx等2份课件配套教学资源,其中PPT共22页, 欢迎下载使用。
这是一份高中数学人教A版 (2019)选择性必修 第二册5.2 导数的运算示范课课件ppt,共21页。PPT课件主要包含了答案××等内容,欢迎下载使用。

