搜索
      上传资料 赚现金
      点击图片退出全屏预览

      2022届高考数学沪教版一轮复习-讲义专题10数列的极限复习与检测

      • 550.05 KB
      • 2022-04-04 10:01:51
      • 241
      • 2
      • 花开之时
      加入资料篮
      立即下载
      2022届高考数学沪教版一轮复习-讲义专题10数列的极限复习与检测第1页
      点击全屏预览
      1/12
      2022届高考数学沪教版一轮复习-讲义专题10数列的极限复习与检测第2页
      点击全屏预览
      2/12
      2022届高考数学沪教版一轮复习-讲义专题10数列的极限复习与检测第3页
      点击全屏预览
      3/12
      还剩9页未读, 继续阅读

      2022届高考数学沪教版一轮复习-讲义专题10数列的极限复习与检测

      展开

      这是一份2022届高考数学沪教版一轮复习-讲义专题10数列的极限复习与检测,共12页。试卷主要包含了数列极限的概念,,数列极限的运算法则,,常用的数列极限公式,,无穷等比数列各项的和等内容,欢迎下载使用。

      学习目标
      1.数列极限的概念,
      2.数列极限的运算法则,
      3.常用的数列极限公式,
      4.无穷等比数列各项的和。知识梳理
      1无限增大的变化过程中,如果数列中的项无限趋向于某个常数,那么称为数列的极限,记作.换句话说,即:对于数列,如果存在一个常数,对于任意给定的,总存在自然数,当时,不等式恒成立,把叫做数列的极限,记为
      重点1
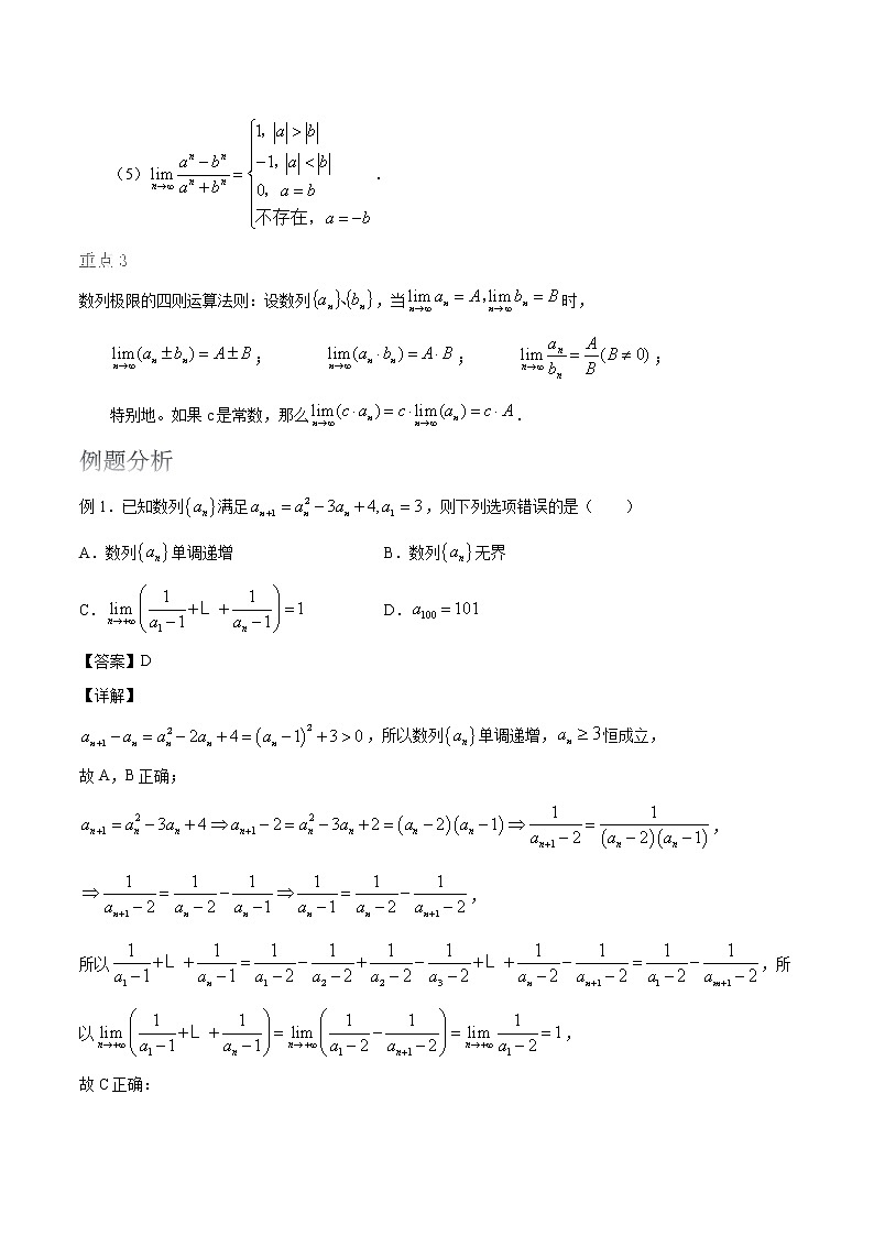
      几个常见的极限:1C=CC为常数);     2=0     3qn=0|q|1);4=kN*abcd∈Rc≠0);5重点2
      几个常见的极限:
      1C=CC为常数);     2=0     3qn=0|q|1);4=kN*abcd∈Rc≠0);5重点3
      数列极限的四则运算法则:设数列,当时,     特别地。如果c是常数,那么例题分析
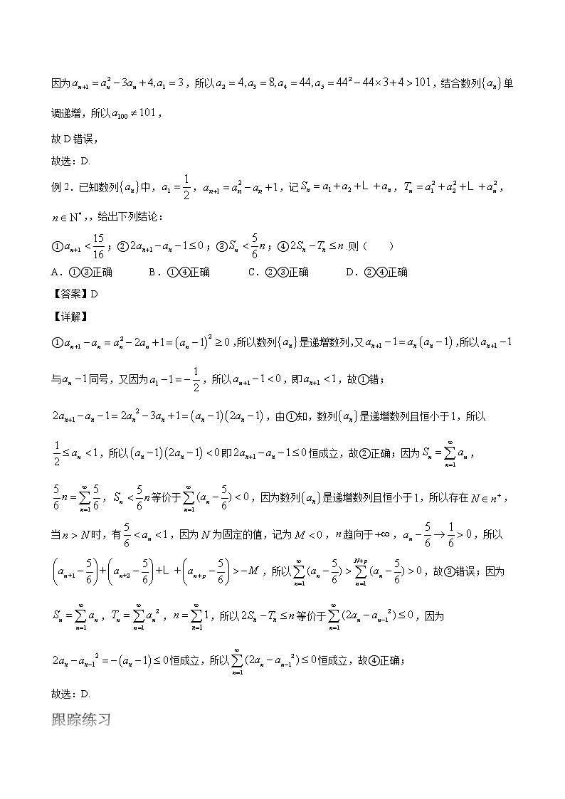
      1.已知数列满足,则下列选项错误的是(    A.数列单调递增 B.数列无界C D【答案】D【详解】,所以数列单调递增,恒成立,AB正确;所以,所以C正确:因为,所以,结合数列单调递增,所以D错误,故选:D.2.已知数列中,,记,,给出下列结论:.则(    A①③正确 B①④正确 C②③正确 D②④正确【答案】D【详解】,所以数列是递增数列,又,所以同号,又因为,所以,即,故错;,由知,数列是递增数列且恒小于,所以,所以恒成立,故正确;因为等价于,因为数列是递增数列且恒小于,所以存在,当时,有,因为为固定的值,记为趋向于,所以,所以,故错误;因为,所以等价于,因为恒成立,所以恒成立,故正确;故选:D.跟踪练习1.等差数列的前项和为,若,则    A B C D2.无穷等比数列中,,则首项的取值范围是(    A B C D3,则    A B4 C1 D4.无穷等比数列的各项和为(    A B C D5数列和数列极限都存在数列和数列极限都存在的(    )条件A.充分非必要 B.必要非充分 C.充分必要 D.非充分非必要6.若,数列是由数列中,由小到大(指下标)排序而成,则(    A BC不一定有极限 D的极限与有关7.将正奇数1357按上小下大、左小右大的原则排成如下的数阵,已知由上往下数,从第2行开始,每一行所有的正整数的个数都是上一行的2倍.设是位于这个数阵中第行(从上往下数)、第列(从左往右数)的数.1)设,求数列的通项公式;2)若,求的值;3)若记这个数阵中第行各数的和为,数列的前n项和为,求极限的值.8.已知无穷数列的首项为,其前项和为,且),其中为常数且1)设,求数列的通项公式,并求的值;2)设,是否存在正整数使得数列中的项成立?若存在,求出满足条件的所有值;若不存在,请说明理由.3)求证:数列中不同的两项之和仍为此数列中的某一项的充要条件为存在整数,使得9.设是公差为的等差数列,且是等比数列,其前项和为为坐标原点,向量,点列满足,其中.1)求:的通项公式;2)求:10.已知为等差数列的前项和,若1)求数列的通项公式;2)对于数列极限有如下常用结论:,设,用记号表示,试求的值.3)从(2)的数列中取出部分项按原来的前后顺序组成一个无穷等比数列,且满足它的各项和等于,试求出的通项公式.

      参考答案1C【详解】因为所以解得.故选:C2B【详解】由题意,无穷等比数列中,可得,且,所以因为,所以.即首项的取值范围是.故选:B.3B【详解】时,极限不存在,所以所以,所以故选:B4C【详解】解:等比数列的公比为所以前项和为所以无穷等比数列的各项和为故选:C5C【详解】都存在,所以所以存在,故充分性成立;,则由题意,都存在,所以,所以都存在,故必要性成立,所以数列和数列极限都存在数列和数列极限都存在的充分必要条件.故选:C.6A【详解】根据数列极限的特点,一个数列若极限存在,则去掉前面有限项后,构成的新数列极限依然存在且与原数列的极限相等,所以.故选:A.7.(1;(2;(3【详解】1)由已知,这个数阵的第n行有个数,所以前行一共有个数2)令,满足不等式的最大整数为10解得所以3)由题意,所以所以8.(1);;(2)存在;的值为;(3)证明见解析.【详解】1)由得数列是以为首项、为公差的等差数列.);2是等差数列,,又因为所以所以),时,,不等式成立;时,不等式都不成立.所以满足条件的所有的的值为3先证必要性:任取等差数列中不同的两项),存在,使得,故存在使得使得再证:运用反证法.假设当时,不成立,恒成立.对于不同的两项,应存在使得,又因为是小于的整数,.所以假设不成立,再证充分性:当任取等差数列中不同的两项),因为所以综上①②可得,等差数列中不同的两项之和仍为此数列中的某一项的充要条件为存在整数,使得得证.9.(1;(2.【详解】1是公差为的等差数列,且又当时,,当时,符合的情况,2.10.(1;(2;(3.【详解】1)设公差为,则所以.时,,此时不存在()时,,故.2,故,设所以所以.3,设的公比,故所以,故,所以,故.


         

      相关试卷

      2022届高考数学沪教版一轮复习-讲义专题10数列的极限复习与检测:

      这是一份2022届高考数学沪教版一轮复习-讲义专题10数列的极限复习与检测,共12页。试卷主要包含了数列极限的概念,,数列极限的运算法则,,常用的数列极限公式,,无穷等比数列各项的和等内容,欢迎下载使用。

      2022届高考数学沪教版一轮复习-讲义专题20排列组合复习与检测:

      这是一份2022届高考数学沪教版一轮复习-讲义专题20排列组合复习与检测,共8页。试卷主要包含了掌握加法原理,掌握乘法原理,排列数公式,组合数公式等内容,欢迎下载使用。

      2022届高考数学沪教版一轮复习-讲义专题17复数复习与检测:

      这是一份2022届高考数学沪教版一轮复习-讲义专题17复数复习与检测,共9页。试卷主要包含了会利用1的平方根求复数的立方根,会求复数的模的最大值与最小值等内容,欢迎下载使用。

      资料下载及使用帮助
      版权申诉
      • 1.电子资料成功下载后不支持退换,如发现资料有内容错误问题请联系客服,如若属实,我们会补偿您的损失
      • 2.压缩包下载后请先用软件解压,再使用对应软件打开;软件版本较低时请及时更新
      • 3.资料下载成功后可在60天以内免费重复下载
      版权申诉
      若您为此资料的原创作者,认为该资料内容侵犯了您的知识产权,请扫码添加我们的相关工作人员,我们尽可能的保护您的合法权益。
      入驻教习网,可获得资源免费推广曝光,还可获得多重现金奖励,申请 精品资源制作, 工作室入驻。
      版权申诉二维码
      欢迎来到教习网
      • 900万优选资源,让备课更轻松
      • 600万优选试题,支持自由组卷
      • 高质量可编辑,日均更新2000+
      • 百万教师选择,专业更值得信赖
      微信扫码注册
      手机号注册
      手机号码

      手机号格式错误

      手机验证码 获取验证码 获取验证码

      手机验证码已经成功发送,5分钟内有效

      设置密码

      6-20个字符,数字、字母或符号

      注册即视为同意教习网「注册协议」sky星空娱乐
      QQ注册
      手机号注册
      微信注册

      注册成功

      返回
      顶部
      添加客服微信 获取1对1服务
      微信扫描添加客服
      Baidu
      map