数学必修 第二册6.1 余弦定理与正弦定理第3课时导学案
展开
这是一份数学必修 第二册6.1 余弦定理与正弦定理第3课时导学案,共10页。
实际问题中的有关术语
思考:1.方位角的范围是什么?
提示:[0°,360°)
2.若点B在点A的北偏东60°,那么点A在点B的哪个方向?
提示:南偏西60°.
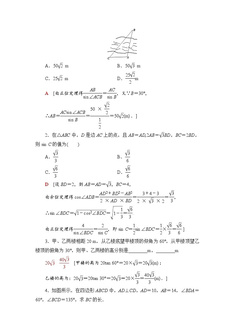
1.如图所示,设A,B两点在河的两岸,一测量者在A所在的同侧河岸边选定一点C,测出AC的距离为50 m,∠ACB=45°,∠CAB=105°后,由此可以计算出A,B两点的距离为( )
A.50eq \r(2) m B.50eq \r(3) m
C.25eq \r(2) mD.eq \f(25\r(2),2)m
A [由正弦定理得eq \f(AB,sin∠ACB)=eq \f(AC,sin B),又∵B=30°,
∴AB=eq \f(ACsin∠ACB,sin B)=eq \f(50×\f(\r(2),2),\f(1,2))=50eq \r(2)(m).]
2.在△ABC中,D是边AC上的点,且AB=AD,2AB=eq \r(3)BD,BC=2BD,则sin C的值为( )
A.eq \f(\r(3),3)B.eq \f(\r(3),6)
C.eq \f(\r(6),3)D.eq \f(\r(6),6)
D [设BD=2,则AB=AD=eq \r(3),BC=4,
由余弦定理得cs∠ADB=eq \f(AD2+BD2-AB2,2×AD×BD)=eq \f(3+4-3,2×\r(3)×2)=eq \f(\r(3),3),
∴sin∠BDC=eq \r(1-cs2∠BDC)=eq \r(1-\f(1,3))=eq \f(\r(6),3).
由正弦定理得eq \f(4,sin∠BDC)=eq \f(2,sin C),即sin C=eq \f(1,2)sin∠BDC=eq \f(1,2)×eq \f(\r(6),3)=eq \f(\r(6),6).]
3.甲、乙两楼相距20 m,从乙楼底望甲楼顶的仰角为60°,从甲楼顶望乙楼顶的俯角为30°,则甲、乙两楼的高分别是________m,________m.
20eq \r(3) eq \f(40\r(3),3) [甲楼的高为20tan 60°=20×eq \r(3)=20eq \r(3)(m);
乙楼的高为:20eq \r(3)-20tan 30°=20eq \r(3)-20×eq \f(\r(3),3)=eq \f(40\r(3),3)(m).]
4.如图所示,在四边形ABCD中,AD⊥CD,AD=10,AB=14,∠BDA=60°,∠BCD=135°,求BC的长.
[解] 在△ABD中,由余弦定理,得AB2=AD2+BD2-2AD·BD·cs∠ADB,
设BD=x,则有142=102+x2-2×10xcs 60°,
∴x2-10x-96=0,
∴x1=16,x2=-6(舍去),
∴BD=16.
在△BCD中,由正弦定理知,eq \f(BC,sin∠CDB)=eq \f(BD,sin∠BCD),
∴BC=eq \f(16,sin 135°)·sin 30°=8eq \r(2).
【例1】 在△ABC中,已知AB=eq \f(4\r(6),3),cs∠ABC=eq \f(\r(6),6),AC边上的中线BD=eq \r(5),求sin A的值.
[解] 如图所示,取BC的中点E,连接DE,则DE∥AB,且DE=eq \f(1,2)AB=eq \f(2\r(6),3).
∵cs∠ABC=eq \f(\r(6),6),
∴cs∠BED=-eq \f(\r(6),6).
设BE=x,在△BDE中,利用余弦定理,
可得BD2=BE2+ED2-2BE·ED·cs∠BED,即5=x2+eq \f(8,3)+2×eq \f(2\r(6),3)×eq \f(\r(6),6)x.
解得x=1或x=-eq \f(7,3)(舍去),故BC=2.
在△ABC中,利用余弦定理,可得AC2=AB2+BC2-2AB·BC·cs∠ABC=eq \f(28,3),即AC=eq \f(2\r(21),3).
又sin∠ABC=eq \r(1-cs2∠ABC)=eq \f(\r(30),6),
∴eq \f(2,sin A)=eq \f(\f(2\r(21),3),\f(\r(30),6)),∴sin A=eq \f(\r(70),14).
解决此类问题的着眼点:1找出已知边长或角的三角形,从中筛选出可解三角形;2找要求线段或角所在的三角形,确定所需条件.
提醒:构造三角形时,要注意使构造的三角形含有尽量多个已知量,这样可以简化运算.
eq \([跟进训练])
1.设△ABC的内角A,B,C所对边的长分别为a,b,c,求其中线AD的长.
[解] 在△ACD中,由余弦定理,得eq \f(1,4)a2+AD2-a×AD×cs∠ADC=b2,
在△ABD中,由余弦定理,得eq \f(1,4)a2+AD2-a×AD×cs∠ADB=c2,
两式相加得,eq \f(1,2)a2+2AD2-a×AD(cs∠ADC+cs∠ADB)=b2+c2,
因为cs∠ADC+cs∠ADB=cseq (\a\vs4\al\c1(π-∠ADB))+cs∠ADB=-cs∠ADB+cs∠ADB=0,
所以eq \f(1,2)a2+2AD2=b2+c2,
所以AD=eq \f(1,2)eq \r(2b2+2c2-a2).
【例2】 如图,为了测量河对岸的塔高AB,有不同的方案,其中之一是选取与塔底B在同一水平面内的两个测点C和D,测得CD=200米,在C点和D点测得塔顶A的仰角分别是45°和30°,且∠CBD=30°,求塔高AB.
[思路点拨] 利用方程的思想,设AB=h.表示出BC=h,BD=eq \f(h,tan 30°)=eq \r(3)h,然后在△BCD中利用余弦定理求解.
[解] 在Rt△ABC中,∠ACB=45°,若设AB=h,则BC=h.在Rt△ABD中,∠ADB=30°,则BD=eq \r(3)h.
在△BCD中,由余弦定理可得
CD2=BC2+BD2-2·BC·BD·cs∠CBD,即2002=h2+(eq \r(3)h)2-2·h·eq \r(3)h·eq \f(\r(3),2),
所以h2=2002,解得h=200(h=-200舍去),
所以塔高AB=200米.
1.本题与立体几何有关,解决的关键是准确作出空间图形.
2.准确理解应用题中的有关名称、术语,如仰角、俯角等,建立相应的数学模型,将要求解的问题归结到一个或几个三角形中,通过合理运用正弦定理、余弦定理等有关知识求解.
eq \([跟进训练])
2.如图,从气球A上测得正前方的河流的两岸B,C的俯角分别为75°,30°,此时气球的高是60 m,则河流的宽度BC等于(参考数据:cs 15°=eq \f(\r(6)+\r(2),4))( )
A.240(eq \r(3)-1)m B.180(eq \r(2)-1)m
C.120(eq \r(3)-1)mD.30(eq \r(3)+1)m
C [由题意得∠BAC=45°,∠ABC=105°,∠C=30°,设AD⊥BC交CB的延长线于点D,
在直角△ACD中,AC=eq \f(AD,sin∠C)=eq \f(60,sin30°)=120,
在△ABC中,由正弦定理得
BC=eq \f(AC×sin∠BAC,sin∠ABC)=eq \f(120sin45°,cs15°)=eq \f(120×\f(\r(2),2),\f(\r(6)+\r(2),4))=120(eq \r(3)-1).]
【例3】 如图,在海岸A处发现北偏东45°方向,距A处(eq \r(3)-1)海里的B处有一艘走私船.在A处北偏西75°方向,距A处2海里的C处的我方缉私船奉命以10eq \r(3)海里/时的速度追截走私船,此时走私船正以10海里/时的速度,从B处向北偏东30°方向逃窜.问:缉私船应沿什么方向行驶才能最快截获走私船?并求出所需时间.
[思路点拨] 结合图形将实际问题转化为解三角形问题,应用正、余弦定理求解.
[解] 设缉私船应沿CD方向行驶t小时,才能最快截获(在D点)走私船,则CD=10eq \r(3)t海里,BD=10t海里.
在△ABC中,由余弦定理,得BC2=AB2+AC2-2AB·AC·cs ∠BAC=(eq \r(3)-1)2+22-2(eq \r(3)-1)·2·cs 120°=6,
∴BC=eq \r(6)海里.又∵eq \f(BC,sin∠BAC)=eq \f(AC,sin∠ABC),
∴sin∠ABC=eq \f(AC·sin∠BAC,BC)=eq \f(2·sin 120°,\r(6))=eq \f(\r(2),2),
∴∠ABC=45°,∴B点在C点的正东方向上,
∴∠CBD=90°+30°=120°.
在△BCD中,由正弦定理,得eq \f(BD,sin∠BCD)=eq \f(CD,sin∠CBD),
∴sin∠BCD=eq \f(BD·sin∠CBD,CD)=eq \f(10t·sin 120°,10\r(3)t)=eq \f(1,2),
∴∠BCD=30°,
∴缉私船应沿北偏东60°的方向行驶.
又在△BCD中,∠CBD=120°,∠BCD=30°,
∴∠CDB=30°,∴BD=BC,即10t=eq \r(6),
∴t=eq \f(\r(6),10)小时≈15分钟.
∴缉私船应沿北偏东60°的方向行驶,才能最快截获走私船,大约需要15分钟.
1.假设在例3中,缉私船以最快的速度截获走私船(在D点),把走私船带到海岸A处进行处理,求∠ADB的正弦值.
[解] 由例3解答可知CD=3eq \r(2),CB=BD=eq \r(6),∠CBD=120°,所以∠BCD=∠BDC=30°,故∠ACB=15°,
则∠ACD=45°,在△ACD中,由余弦定理得
AD2=AC2+CD2-2×AC×CD×cs 45°=4+18-2×2×3eq \r(2)×eq \f(\r(2),2)=10,
故AD=eq \r(10),
在△ABD中,由正弦定理得eq \f(AD,sin∠ABD)=eq \f(AB,sin∠ADB),
即eq \f(\r(10),sin 165°)=eq \f(\r(3)-1,sin∠ADB),解得sin∠ADB=eq \f(2\r(5)-\r(15),10).
2.把例3中条件“走私船正以10海里/时的速度,从B处向北偏东30°方向逃窜”改为“走私船正以15海里/时的速度,从B处向正北方向逃窜”,则例3的结果应是什么?
[解] 由例3的解答可知BC=eq \r(6),设缉私船沿CD方向,才能最快截获(在D点)走私船(如图所示),
由题意知△CBD是直角三角形,且CD=10eq \r(3)t,BD=15t,
所以sin∠BCD=eq \f(BD,CD)=eq \f(15t,10\r(3)t)=eq \f(\r(3),2),
故∠BCD=60°,10eq \r(3)tcs 60°=eq \r(6),
所以t=eq \f(\r(2),5)(小时).
所以缉私船应沿北偏东30°的方向行驶,才能最快截获走私船,需要eq \f(\r(2),5)小时.
1.理解题意,作出正确的示意图是解决本题的关键.
2.测量两个点之间的距离问题,一般是把求距离问题转化为求三角形的边长问题,首先是明确题意,根据条件和图形特点寻找可解的三角形,然后利用正弦定理或余弦定理求解.
1.测量距离和高度问题都可以转化成利用正弦、余弦定理求解三角形边的问题.
2.正弦、余弦定理在实际测量中的应用的一般步骤
(1)分析题意,准确理解题意,分清已知与所求,尤其要理解题中的有关名词、术语.
(2)根据题意画出示意图,并将已知条件在图形中标出.
(3)将所求问题归结到一个或几个三角形中,通过合理运用正弦、余弦定理等有关知识正确求解.
(4)检验解出的结果是否具有实际意义,对结果进行取舍,得出正确答案.
1.思考辨析(正确的画“√”,错误的画“×”)
(1)俯角是铅垂线与视线所成角,其范围是eq \b\lc\[\rc\](\a\vs4\al\c1(0,\f(π,2))).( )
(2)在O点测得点A在其北偏西30°,则在O点测得点A的方位角是30°.
( )
(3)方位角与方向角的实质一样,均是确定观察点与目标点之间的位置关系.( )
[答案] (1)× (2)× (3)√
2.为了测量某塔AB的高度,在一幢与塔AB相距20 m的楼顶处测得塔顶A的仰角为30°,测得塔基B的俯角为45°,那么塔AB的高度是( )
A.20eq \b\lc\(\rc\)(\a\vs4\al\c1(1+\f(\r(3),3))) m B.20eq \b\lc\(\rc\)(\a\vs4\al\c1(1+\f(\r(3),2))) m
C.20(1+eq \r(3)) mD.30 m
A [如图所示,∠BDC=45°,∠ADC=30°,又BH=20 m,
∴AC=CDtan 30°=eq \f(20,3)eq \r(3).BC=CD=20.
因此AB=AC+BC=20eq \b\lc\(\rc\)(\a\vs4\al\c1(1+\f(\r(3),3))).]
3.一蜘蛛沿东北方向爬行x cm捕捉到一只小虫,然后向右转105°,爬行10 cm捕捉到另一只小虫,这时它向右转135°爬行回它的出发点,则x=________ cm.
eq \f(10\r(6),3) [如图所示,
设蜘蛛原来在O点,先爬行到A点,再爬行到B点,
则在△AOB中,AB=10 cm,∠OAB=75°,∠ABO=45°,则∠AOB=60°,由正弦定理知x=eq \f(AB·sin∠ABO,sin∠AOB)=eq \f(10×sin 45°,sin 60°)=eq \f(10\r(6),3)(cm).]
4.已知AB⊥BD,AC⊥CD,AC=1,AB=2,∠BAC=120°,求BD的长.
[解] 如图,连接BC,
BC=
eq \r(22+12-2×2×1×cs 120°)=eq \r(7),
在△ABC中,由正弦定理知,eq \f(2,sin∠ACB)=eq \f(\r(7),sin 120°),
∴sin∠ACB=eq \f(\r(21),7).
又∵∠ACD=90°,
∴cs∠BCD=eq \f(\r(21),7),sin∠BCD=eq \f(2\r(7),7),
由AB⊥BD,AC⊥CD,∠BAC=120°,得∠BDC=60°.
由正弦定理,得BD=eq \f(BC·sin∠BCD,sin 60°)=eq \f(\r(7)×\f(2\r(7),7),\f(\r(3),2))=eq \f(4\r(3),3).
学 习 目 标
核 心 素 养
1.掌握测量距离、高度、角度等问题中正、余弦定理的应用.(重点)
2.了解测量的方法和意义.(难点)
3.提高应用数学知识解决实际问题的能力.(难点)
通过余弦定理与正弦定理的应用,培养数学运算与数学建模素养.
名称
定义
图示
仰角与
俯角
在视线和水平线所成角中,视线在水平线上方的角叫仰角,在水平线下方的角叫俯角
方位角
从指北方向顺时针转到目标方向线所成的角,如图,B点的方位角为α
方向角
从指定方向线到目标方向线所成的小于90°的水平角,如南偏西60°,指以正南方向为始边,顺时针方向向西旋转60°.如图,∠ABC
为北偏东60°或东偏北30°
三角形中的几何计算
测量高度问题
测量距离问题
相关学案
这是一份高中数学人教A版 (2019)必修 第二册6.4 平面向量的应用第1课时导学案,共7页。
这是一份北师大版 (2019)必修 第二册6.1 余弦定理与正弦定理第2课时导学案
这是一份北师大版 (2019)必修 第二册6.1 余弦定理与正弦定理第1课时导学案,共7页。

