- 2022届高考数学理一轮复习新人教版课件:第三章三角函数解三角形第五节函数y=Asinωx+φ的图象性质及应用 课件 3 次下载
- 2022届高考数学理一轮复习新人教版课件:第三章三角函数解三角形第六节正弦定理和余弦定理及解三角形 课件 4 次下载
- 2022届高考数学理一轮复习新人教版课件:第四章平面向量数系的扩充与复数的引入第一节平面向量的概念及线性运算 课件 3 次下载
- 2022届高考数学理一轮复习新人教版课件:第四章平面向量数系的扩充与复数的引入第二节平面向量的数量积及应用举例 课件 4 次下载
- 2022届高考数学理一轮复习新人教版课件:第四章平面向量数系的扩充与复数的引入第三节数系的扩充与复数的引入 课件 3 次下载
2022届高考数学理一轮复习新人教版课件:第三章三角函数解三角形素养专题三“三角”部分从“解题”到“解决问题”的能力培养
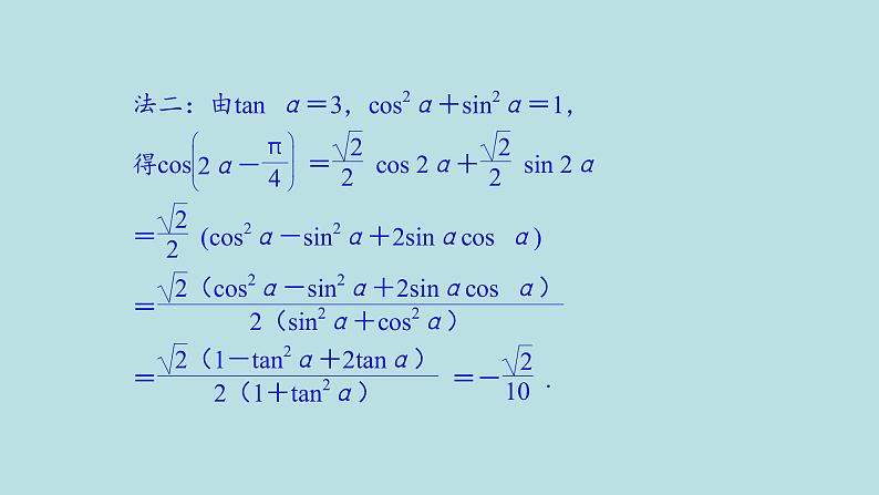
展开[点评] “弦化切”的解题方法体现了思维的深刻性,减少了计算量,增加了思维量.
[点评] 函数图象识别问题一般从以下几个角度入手:一、奇偶性;二、单调性;三、局部有界性,比如局部函数值域的取值范围;四、周期性;五、取特殊值检验;六、图象的变化趋势,如陡峭程度.
[点评] 接入引题是关键.
高考 一轮复习核心素养培养二 三角函数与平面向量课件PPT: 这是一份高考 一轮复习核心素养培养二 三角函数与平面向量课件PPT,共35页。
2022届高考数学理一轮复习新人教版课件:第三章三角函数解三角形第六节正弦定理和余弦定理及解三角形: 这是一份2022届高考数学理一轮复习新人教版课件:第三章三角函数解三角形第六节正弦定理和余弦定理及解三角形,共60页。PPT课件主要包含了a2+b2=c2,答案等腰三角形,2+∞等内容,欢迎下载使用。
2022届高考数学理一轮复习新人教版课件:第三章三角函数解三角形第五节函数y=Asinωx+φ的图象性质及应用: 这是一份2022届高考数学理一轮复习新人教版课件:第三章三角函数解三角形第五节函数y=Asinωx+φ的图象性质及应用,共60页。PPT课件主要包含了答案A等内容,欢迎下载使用。

