还剩18页未读,
继续阅读
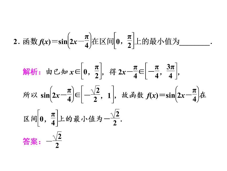
高考数学(文数)一轮复习课件 第三章 三角函数、解三角形 第三节 三角函数的图象与性质(含详解)
展开
这是一份高考数学(文数)一轮复习课件 第三章 三角函数、解三角形 第三节 三角函数的图象与性质(含详解)
相关课件
高考数学(文数)一轮复习课件 第三章 三角函数、解三角形 第七节 正弦定理和余弦定理(含详解):
这是一份高考数学(文数)一轮复习课件 第三章 三角函数、解三角形 第七节 正弦定理和余弦定理(含详解)
高考数学(文数)一轮复习课件 第三章 三角函数、解三角形 第六节 简单的三角恒等变换(含详解):
这是一份高考数学(文数)一轮复习课件 第三章 三角函数、解三角形 第六节 简单的三角恒等变换(含详解)
高考数学(文数)一轮复习课件 第三章 三角函数、解三角形 第二节 同角三角函数的基本关系与诱导公式(含详解):
这是一份高考数学(文数)一轮复习课件 第三章 三角函数、解三角形 第二节 同角三角函数的基本关系与诱导公式(含详解)

