人教版新课标A必修42.2 平面向量的线性运算图片课件ppt
展开
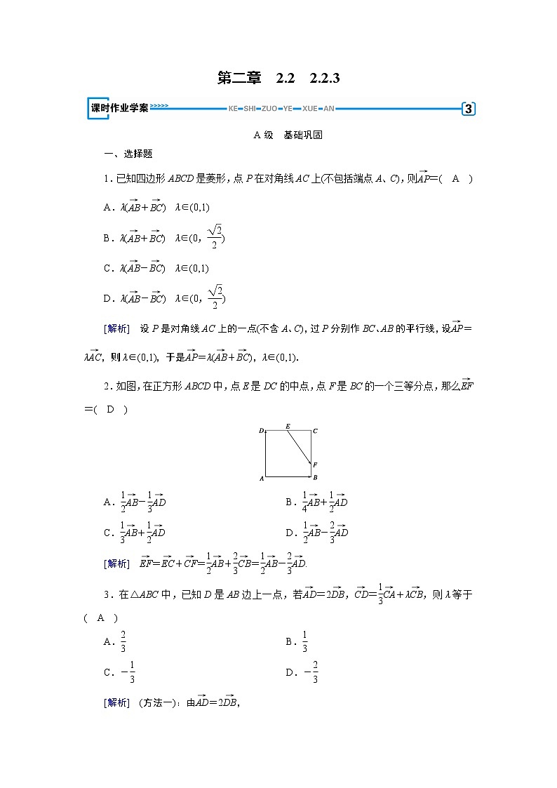
这是一份人教版新课标A必修42.2 平面向量的线性运算图片课件ppt,文件包含223ppt、223doc等2份课件配套教学资源,其中PPT共50页, 欢迎下载使用。
2.2 平面向量的线性运算
2.2.3 向量数乘运算及其几何意义
2.数乘的几何意义λa的几何意义就是把向量a沿着a的方向或反方向扩大或缩小|λ|倍.
3.向量数乘的运算律向量的数乘运算满足下列运算律:设λ、μ为实数,则(1)λ(μa)=______________;(2)(λ+μ)a=______________;(3)λ(a+b)=______________(分配律).特别地,我们有(-λ)a=______________=______________,λ(a-b)=______________.4.共线向量定理向量a(a≠0)与b共线,当且仅当有唯一一个实数λ,使____________.
5.向量的线性运算向量的______、______、________运算统称为向量的线性运算,对于任意向量a、b以及任意实数λ、μ1、μ2,恒有λ(μ1a±μ2b)=___________.
1.判断下列说法是否正确,正确的在后面的括号内打“√”,错误的打“×”.(1)对于任意向量a和任意实数λ,λa与a一定是共线向量.( )(2)向量λa与a的方向不是相同就是相反.( )(3)若向量a和b共线,则必有b=λa.( )(4)若向量a和b不共线,且λa=μb,则必有λ=μ=0.( )
2.已知非零向量a、b满足a=4b,则( )A.|a|=|b| B.4|a|=|b|C.a与b的方向相同D.a与b的方向相反[解析] ∵a=4b,4>0,∴|a|=4|b|.∵4b与b的方向相同,∴a与b的方向相同.
命题方向1 ⇨向量的线性运算
『规律总结』 向量的线性运算类似于代数多项式的运算,实数运算中去括号、移项、合并同类项、提取公因式等变形手段在向量线性运算中也可以使用,但是在这里的“同类项”“公因式”指向量,实数看作是向量的系数.
设两个非零向量a与b不共线,
命题方向2 ⇨共线向量定理及其应用
(2)∵ka+b与a+kb共线,∴存在实数λ,使ka+b=λ(a+kb)即ka+b=λa+λkb,∴(k-λ)a=(λk-1)b,∵a、b是不共线的两个非零向量,∴k-λ=λk-1=0,∴k2-1=0.∴k=±1.
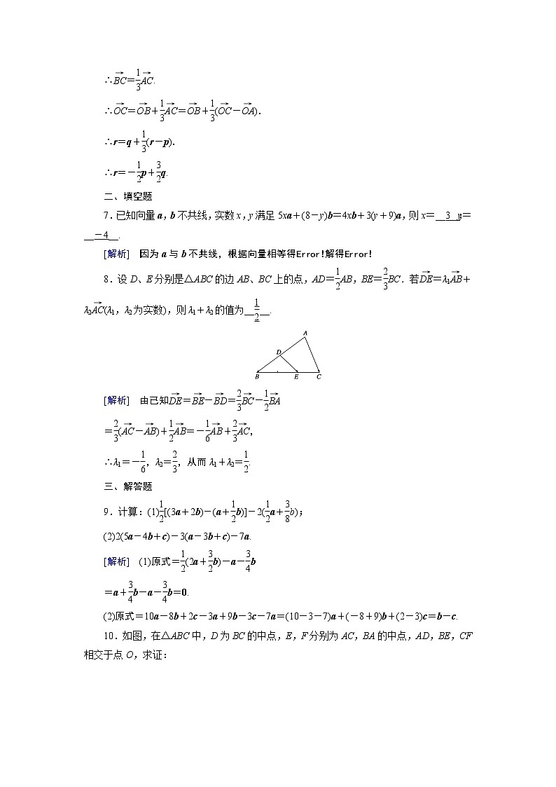
『规律总结』 用向量法证明三点共线时,关键是能否找到一个实数λ,使得b=λa(a、b为这三点构成的其中任意两个向量).证明步骤是先证明向量共线,然后再由两向量有公共点,证得三点共线.
命题方向3 ⇨用向量的线性运算表示未知向量
『规律总结』 解决此类问题的思路一般是将所表示向量置于某一个三角形内,用减法法则表示,然后逐步用已知向量代换表示.
命题方向4 ⇨三角形内心在向量形式下的判断
进行向量的线性运算时忽略图形的性质
[误区警示] 在根据平面几何图形进行化简、证明时,要准确应用平面几何图形的性质.应根据题意判断所给图形是否是特殊图形,不能盲目运用特殊图形的性质进行求解.
2.已知λ、μ∈R,下面式子正确的是( )A.λa与a同向B.0·a=0C.(λ+μ)a=λa+μaD.若b=λa,则|b|=λ|a|[解析] 对A,当λ>0时正确,否则错误;对B,0·a是向量而非数0;对D,若b=λa,则|b|=|λa|.
4.已知向量a=e1+λe2,b=2e1,λ∈R,且λ≠0,若a∥b,则( )A.λ=0B.e2=0C.e1∥e2D.e1∥e2或e1=0[解析] 当e1=0时,显然有a∥b;当e1≠0时,b=2e1≠0,又a∥b,∴存在实数μ,使a=μb,即e1+λe2=2μe1,∴λe2=(2μ-1)e1,又λ≠0,∴e1∥e2.
相关课件
这是一份高中数学人教A版 (2019)必修 第二册6.2 平面向量的运算教课ppt课件,共1页。
这是一份高中数学人教版新课标A必修42.2 平面向量的线性运算课文内容课件ppt,文件包含221ppt、221doc等2份课件配套教学资源,其中PPT共47页, 欢迎下载使用。
这是一份高中数学人教版新课标A必修42.3 平面向量的基本定理及坐标表示教学演示课件ppt

