高中数学人教A版 (2019)选择性必修 第二册5.2 导数的运算示范课ppt课件
展开【激趣诱思】高铁是一种非常受欢迎的交通工具,既低碳又快捷.设一高铁走过的路程s(单位:m)关于时间t(单位:s)的函数s=f(t)=2t2,求它的瞬时速度,即求f(t)的导数.根据导数的定义,就是求当Δt→0时, 所趋近的那个定值,运算比较复杂,而且,有的函数如y=sin x,y=ln x等很难运用定义求导数.是否有更简便的求导数的方法呢?
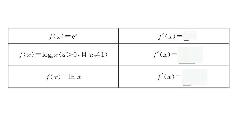
一、几个常用函数的导数
微练习已知f(x)=x2,则f[f'(-2)]的值等于 ;若f'(x0)=8,则x0= .
二、基本初等函数的导数公式
微练习求下列函数的导数:(1)f(x)=x-4;(2)f(x)= ;(3)f(x)=2-x;(4)f(x)=sin π.
三、导数的四则运算法则1.[f(x)±g(x)]'= f'(x)±g'(x) .2.[f(x)·g(x)]'= f'(x)g(x)+f(x)g'(x) ,特别地,[cf(x)]'= cf'(x) .名师点析 两个函数和与差的导数运算法则可以推广到若干个函数和与差的情形:[f1(x)±f2(x)±…±fn(x)]'=f1'(x)±f2'(x)±…±fn'(x).
例1求下列函数的导数:(4)y=(x+1)(x-1)(x2+1).分析根据每个函数的解析式的构成特点,利用求导公式和运算法则进行求解.
例2求下列函数的导数:
方法技巧求复杂函数的导数的方法求函数的导数时,一般要遵循“先化简再求导”的原则,这样一方面可以简化求导的过程,另一方面可以解决有些函数根本没法直接运用公式和法则求导的问题.尤其是当函数解析式中含有三角函数时,更需要先运用相关的三角函数公式对解析式进行化简与整理,最后再套用公式求导.
延伸探究 1(变条件)把例2(4)的函数换成“y=xtan x”,求其导数.
角度1 解析式中含f'(a)的导数问题例3(2021陕西延安黄陵中学高三期中)已知函数f(x)的导函数是f'(x),且满足f(x)=2xf'(1)+ln ,则f(1)=( )A.-eB.2C.-2D.e
变式训练 2(2021武汉外国语学校高二期末)已知f(x)=x2-xf'(0)-1,则f(2)的值为( )A.1B.-1C.3D.-3
角度2 利用导数公式及函数性质解题例4已知f1(x)=sin x+cs x,fn+1(x)是fn(x)的导函数,即f2(x)=f'1(x),f3(x)=f'2(x),…,fn+1(x)=f'n(x),n∈N*,则f2 021(x)=( )A.sin x+cs x B.sin x-cs x C.-sin x+cs xD.-sin x-cs x
角度3 逆用导数公式及运算法则求函数解析式
变式训练 3已知函数y=f(x)的导函数f'(x)= ,写出f(x)的一个解析式: .
例6已知函数f(x)=x3+x-16.(1)求曲线y=f(x)在点(2,-6)处的切线的方程;(2)直线l为曲线y=f(x)的切线,且经过原点,求直线l的方程及切点的坐标.分析利用导数的几何意义求解,但要注意(2)中切线经过原点,而原点不在曲线上,故应另设切点.
函数解析式中含多个因式的积的导数的求法典例 (多选)(2021江苏宿迁高二期中)若定义n!=1×2×3×…×n(n∈N*),已知f(x)=x(x-1)(x-2)…(x-20),下列结论正确的是( )A.f'(0)=20!B.f'(1)=19!C.f'(19)=-19!D.f'(20)=-20!
方法点睛函数解析式中含多个因式的积的导数的求解应将多项式的乘法看作是二项式乘法,结合积的导数法则求解;另外对于虽是多项,但是项数较少的也可以将多项式展开后求导.
变式训练 设函数f(x)=x(x+k)(x+2k)(x-3k),且f'(0)=6,则k=( )A.0B.-1C.3D.-6
2.(2020四川双流中学高二月考)下列结论不正确的是( )A.若f(x)=0,则f'(x)=0B.若f(x)=cs x,则f'(x)=sin x
4.已知函数y=xln x,则这个函数的导数y'= ;这个函数的图象在点x=e处的切线方程的一般式为 .
数学选择性必修 第二册5.2 导数的运算背景图课件ppt: 这是一份数学选择性必修 第二册5.2 导数的运算背景图课件ppt,共25页。
人教A版 (2019)选择性必修 第二册5.2 导数的运算示范课ppt课件: 这是一份人教A版 (2019)选择性必修 第二册5.2 导数的运算示范课ppt课件,共27页。
高中数学人教A版 (2019)选择性必修 第二册5.2 导数的运算试讲课课件ppt: 这是一份高中数学人教A版 (2019)选择性必修 第二册5.2 导数的运算试讲课课件ppt

