人教版新课标A选修1-12.1椭圆教学课件ppt
展开生活中有椭圆,生活中用椭圆
平面内到两个定点F1、F2的距离的和等于常数(大于|F1F2 |)的点的轨迹叫椭圆这两个定点F1、F2叫做椭圆的焦点两焦点之间的距离叫做焦距
求动点的轨迹方程的基本步骤:
♦ 探讨建立平面直角坐标系的方案
建立平面直角坐标系通常遵循的原则:对称、“简洁”
解:以两定点F1、F2所在直线为x轴,线段F1F2的垂直平分线为y轴,建立平面直角坐标系(如图).
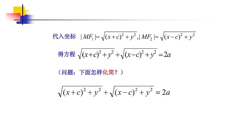
设M(x, y)是椭圆上任意一点,椭圆的焦距2c(c>0),M与F1和F2的距离的和等于正常数2a (2a>2c) ,则F1、F2的坐标分别是(c,0)、(c,0) .
由椭圆的定义得,限制条件:
(问题:下面怎样化简?)
总体印象:对称、简洁,“像”直线方程的截距式
|MF1|+|MF2|=2a (2a>2c>0)
共同点:椭圆的标准方程表示的一定是焦点在坐标轴上,中心在坐标原点的椭圆;方程的左边是平方和,右边是1.
例1、写出适合下列条件的椭圆的标准方程
两个焦点的坐标是( 0 ,-2)和( 0 ,2),并且经 过点P
解: 因为椭圆的焦点在y轴上, 设它的标准方程为
∵ c=2,且 c2= a2 - b2
∴ 4= a2 - b2 ……①
(法二) 因为椭圆的焦点在y轴上,所以设它的 标准方程为
所以所求椭圆的标准方程为
练习1.下列方程哪些表示椭圆?
若是,则判定其焦点在何轴?
练习2. 已知椭圆的方程为: ,请填空:(1) a=__,b=__,c=__,焦点坐标为___________,焦距等于__.(2)若C为椭圆上一点,F1、F2分别为椭圆的左、右焦点, 并且CF1=2,则CF2=___.
(-3,0)、(3,0)
练习3 、已知一个运油车上的贮油罐横截面的外轮廓线是一 个椭圆,它的焦距为2.4m,外轮廓线上的点到两个焦点距离的和为3m,求这个椭圆的标准方程.
小结:1、椭圆的标准方程是什么?
①定位:确定焦点所在的坐标轴; ②定量:求a, b的值.
2、求椭圆标准方程的步骤是什么?
布置作业:教科书习题2.3 A组第1、2题。
椭圆的方程及性质练习课件PPT: 这是一份椭圆的方程及性质练习课件PPT,共25页。
高考复习8.6 直线与椭圆课件PPT: 这是一份高考复习8.6 直线与椭圆课件PPT,共43页。PPT课件主要包含了答案A,答案B等内容,欢迎下载使用。
高中数学北师大版 (2019)选择性必修 第一册1.2 椭圆的简单几何性质获奖ppt课件: 这是一份高中数学北师大版 (2019)选择性必修 第一册1.2 椭圆的简单几何性质获奖ppt课件,共20页。

