1.10本章小结(作业)-【上好课】2020-2021学年高一数学同步备课系列(北师大版2019必修第二册) 试卷练习
展开
这是一份1.10本章小结(作业)-【上好课】2020-2021学年高一数学同步备课系列(北师大版2019必修第二册),文件包含110本章小结作业原卷版-上好课2020-2021学年高一数学同步备课系列北师大版2019必修第二册docx、110本章小结作业解析版-上好课2020-2021学年高一数学同步备课系列北师大版2019必修第二册docx等2份试卷配套教学资源,其中试卷共20页, 欢迎下载使用。
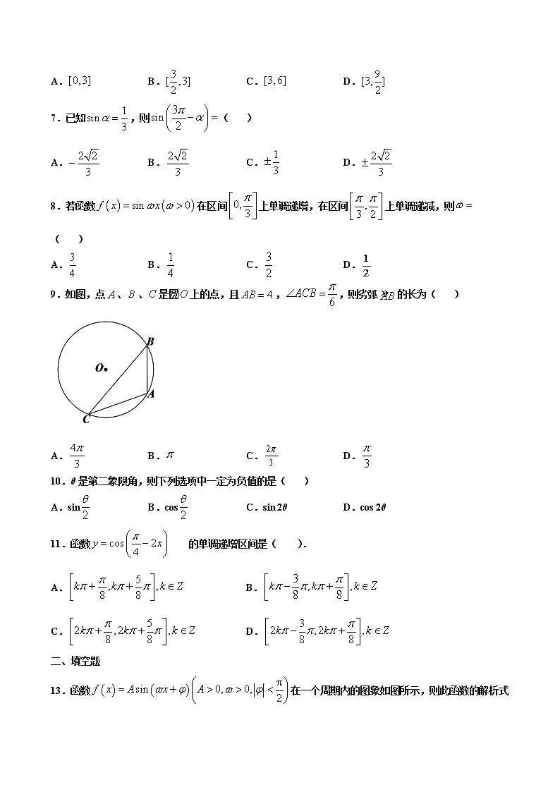
1.10 本章小结1.若角满足条件,则的终边在( )A.第一象限 B.第二象限 C.第三象限 D.第四象限2.已知扇形的圆心角为150°,其弧长为,则这个扇形的面积为( )A. B. C. D.3.为了得到函数的图象,只需把函数的图象上所有的点( )A.向左平行移动个单位长度 B.向右平行移动个单位长度C.向左平行移动个单位长度 D.向右平行移动个单位长度4.己知函数(,),其图象相邻两条对称轴之间的距离为,且函数是偶函数.关于函数给出下列命题:①函数的图象关于直线轴对称;②函数的图象关于点中心对称;③函数在上单调递减;④把函数的图象上所有点的横坐标变为原来的,然后再将所得的图象向左平移个单位长度,即可得到函数的图象.其中真命题共有( )个A.1 B.2 C.0 D.45.( )A. B. C. D.6.已知函数(,)的图像与直线()的三个相邻交点的横坐标依次是1、2、4,下列区间是函数单调递增区间的是( )A. B. C. D.7.已知,则( )A. B. C. D.8.若函数在区间上单调递增,在区间上单调递减,则( )A. B. C. D.9.如图,点、、是圆上的点,且,,则劣弧的长为( )A. B. C. D.10.θ是第二象限角,则下列选项中一定为负值的是( )A.sin B.cos C.sin 2θ D.cos 2θ11.函数的单调递增区间是( ).A. B.C. D.二、填空题13.函数在一个周期内的图象如图所示,则此函数的解析式______.14.函数,的最小正周期为______.15.已知角的顶点为坐标原点,始边为轴的正半轴,终边经过点,则___________.16.已知函数f(x)的图象上每一点的纵坐标保持不变,横坐标扩大到原来的2倍,然后把所得的图象沿x轴向左平移个单位长度,这样得到的图象与y=sin x的图象相同,则f(x)的解析式为________.三、解答题17.已知函数.(1)当时,求的值域和单调减区间;(2)若关于对称,且,求的值.18.在平面直角坐标系中,已知角的顶点与坐标原点重合,始边与x轴的非负半轴垂合,它的终边过点.(1)求,的值:(2)若函数的图象关于直线对称,求函数的单调增区间.19.已知(1)若为第三象限角,且,求的值.(2)若,且,求函数的最小值,并求出此时对应的x的值.20.已知,且lg(cos α)有意义.(1)试判断角α所在的象限;(2)若角α的终边与单位圆相交于点M(,m),求m的值及sin α的值.21.己知函数,其部分图象如图所示.(1)求和的值;(2)求函数在的单调增区间.22.已知角以为始边,的终边经过点,求下列各式的值.(1);(2).

