高中数学人教版新课标A必修43.1 两角和与差的正弦、余弦和正切公式学案设计
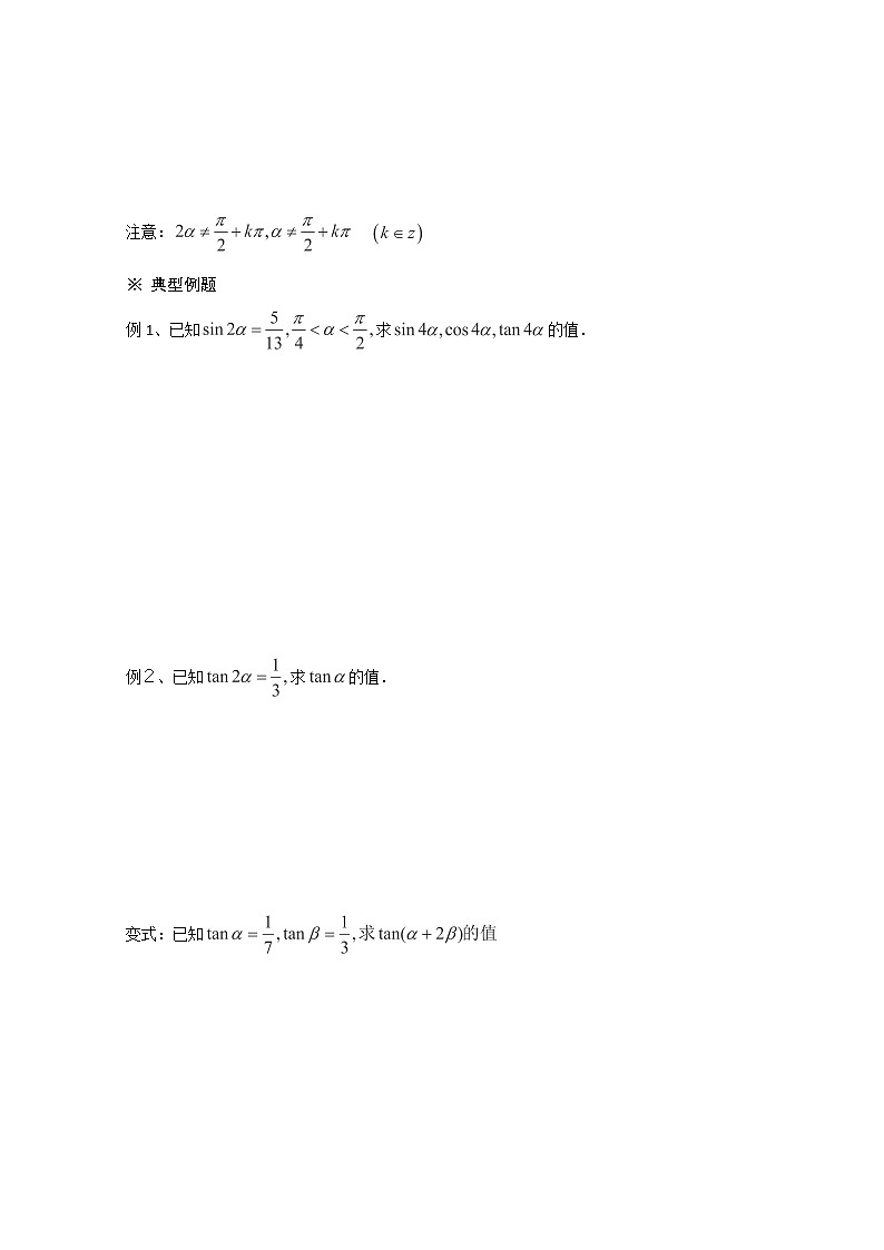
展开§3.1.3 二倍角的正弦、余弦和正切公式 学习目标1、以两角和的正弦、余弦和正切公式为基础,推导二倍角正弦、余弦和正切公式;2、二倍角的理解及其灵活运用. 学习过程一、课前准备(预习教材P132—P134)复习引入:请大家首先回顾一下两角和的正弦、余弦和正切公式: 。二、新课导学※ 探索新知问题:由两角和的正弦、余弦和正切公式能否得到的公式呢?探究1:推导sin2a,cos2asin2a= cos2a=思考:把上述关于的式子能否变成只含有或形式的式子呢?;cos2a=cos2a=探究2:推导tan2a注意: ※ 典型例题例1、已知求的值.例2、已知求的值.变式:已知例3、在△ABC中,,三、小结反思熟记二倍角的正弦、余弦和正切公式,在解题过程中要善于发现规律,学会灵活运用. 学习评价※ 自我评价 你完成本节导学案的情况为( ).A. 很好 B. 较好 C. 一般 D. 较差※ 当堂检测(时量:5分钟 满分:10分)计分:1、已知180°<2α<270°,化简=( ) A、-3cosα B、cosα C、-cosα D、sinα-cosα2、已知,化简+= ( ) A、-2cos B、2cos C、-2sin D、2sin3、已知sin=,cos=-,则角是 ( ) A、第一象限角 B 、第二象限角 C、第三象限角 D、第四象限角4、若tan = 3,求sin2 cos2 的值。5、已知,求sin2,cos2,tan2的值。 课后作业1、已知求的值。 2、已知,,求的值。
人教A版 (2019)必修 第一册第五章 三角函数5.5 三角恒等变换学案及答案: 这是一份人教A版 (2019)必修 第一册第五章 三角函数5.5 三角恒等变换学案及答案,共9页。
高中人教版新课标A2.4 平面向量的数量积学案设计: 这是一份高中人教版新课标A2.4 平面向量的数量积学案设计
高中数学人教版新课标A必修43.1 两角和与差的正弦、余弦和正切公式学案设计: 这是一份高中数学人教版新课标A必修43.1 两角和与差的正弦、余弦和正切公式学案设计

